Karnataka Police Exam  >  Karnataka Police Test  >   SI (KSP SI) Mock Test Series 2026  >  Karnataka Police SI (KSP SI) Mock Test - 3 - Karnataka Police MCQ

Karnataka Police SI (KSP SI) Mock Test - 3 Free Online Test 2026


Full Mock Test & Solutions: Karnataka Police SI (KSP SI) Mock Test - 3 (100 Questions)

You can boost your Karnataka Police 2026 exam preparation with this Karnataka Police SI (KSP SI) Mock Test - 3 (available with detailed solutions).. This mock test has been designed with the analysis of important topics, recent trends of the exam, and previous year questions of the last 3-years. All the questions have been designed to mirror the official pattern of Karnataka Police 2026 exam, helping you build speed, accuracy as per the actual exam.

Mock Test Highlights:

  • - Format: Multiple Choice Questions (MCQ)
  • - Duration: 90 minutes
  • - Total Questions: 100
  • - Analysis: Detailed Solutions & Performance Insights

Sign up on EduRev for free and get access to these mock tests, get your All India Rank, and identify your weak areas to improve your marks & rank in the actual exam.

Karnataka Police SI (KSP SI) Mock Test - 3 - Question 1

Ali travels a distance of 300 m in 2 minutes and 30 seconds.What is his speed in kmph?

Detailed Solution: Question 1

Distance= 300m

Distance=0.3km

Time=2 minutes 30 seconds

time=150 seconds

Time=

Speed=

Speed=7.2 km/hr

Karnataka Police SI (KSP SI) Mock Test - 3 - Question 2

Ram and Rahim standing at a distance of 680m run towards each other at a speed of 8 m/sec and 9m/sec respectively. After how long will they meet?

Detailed Solution: Question 2

Relative speed=

Time when they will meet = =40sec

Karnataka Police SI (KSP SI) Mock Test - 3 - Question 3

Three bottles of equal capacity contain mixture of milk and water in ratio 2:3,3:5 and 4:5 respectively. These three bottles are emptied into a large bottle. What is the ratio of milk and water respectively in the large bottle?

Detailed Solution: Question 3

Quantity of milk in 1st bottle = 2/5

And quantity of water in 1st bottle= 3/5

Quantity of milk in 2nd bottle= 3/8

And quantity of water in 2nd bottle = 5/8

Quantity of milk in 3rd bottle = 4/9

And the quantity of water in 3rd bottle = 5/9

Then the quantity of milk in large bottle =

And the quantity of water in large bottle =

Ratio=439:641

Karnataka Police SI (KSP SI) Mock Test - 3 - Question 4

If  of the wall is painted blue,  is painted yellow and remaining 3 m is painted white, what is the length of the wall?

Detailed Solution: Question 4

Let the total length of the wall = 4x unit

Blue painted length = th of 4x=x unit

is painted yellow= th of 4x=2x

unit Remaining length =4x – 2x – x

⇒x=3m

the total length of the wall =4x=4×3=12

Karnataka Police SI (KSP SI) Mock Test - 3 - Question 5

Which of the following Price Indices of India is considered for measuring Headline Inflation?

Detailed Solution: Question 5

The WPI is a weighted average of the prices of most goods produced in the economy, with the weights being their shares in domestic output and their prices those prevailing in wholesale markets. It is closer to a producer price index, reflecting more what producers charge their immediate buyers, rather than the prices that prevail at the end of the trading chain, in retail markets. Internationally consumer price indices rather than producer price indices are the standard for measuring inflation, since they reflect the prices that ordinary citizens face and pay.

Karnataka Police SI (KSP SI) Mock Test - 3 - Question 6

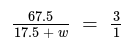
85 kg of a mixture contains milk and water in the ratio 27: 7 How much more water is to be added to get a new mixture containing milk and water in the ratio 3:1 ?

Detailed Solution: Question 6

Milk : water = 27:7

85kg = 27x + 7x

85 = 34x

x=

x = 2.5

milk = 27x = 27 × 2.5 =67.5kg

water = 7x = 7 × 2.5 = 17.5kg

67.5 = 52.5+3w

3w =15 => w= 5

so 5 kg of water is required

Karnataka Police SI (KSP SI) Mock Test - 3 - Question 7

In which state would you find the tribe called kani ?

Detailed Solution: Question 7

Kani is a tribe living in the Western Ghats area of Kerala, India. Their use of the forest plant arogyapacha (trichopus zeylanicus) as a key ingredient in a herbal remedy called Jeevani was noted by visiting scientists in the 1980s.

Karnataka Police SI (KSP SI) Mock Test - 3 - Question 8

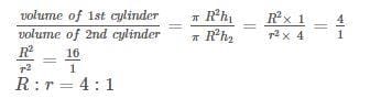
If the ratio of the volumes of two cylinders is 4:1 and the ratio of their heights is 1:4 , then what is the ratio of their radii?

Detailed Solution: Question 8

Let the radius of 1st cylinder= R cm

the radius of 2nd cylinder =r cm


Karnataka Police SI (KSP SI) Mock Test - 3 - Question 9

Andromeda is a

Detailed Solution: Question 9

The Andromeda Galaxy , also known as Messier is a spiral galaxy approximately 780 kiloparsecs (2.5 million light-years) from Earth, and the nearest major galaxy to the Milky Way. Its name stems from the area of the sky in which it appears, the constellation of Andromeda.

Karnataka Police SI (KSP SI) Mock Test - 3 - Question 10

The market in which loans of money can be obtained is called:

Detailed Solution: Question 10

The market in which loans of money can be obtained is called Money market.

Karnataka Police SI (KSP SI) Mock Test - 3 - Question 11

Our body has many organs, Which of the following organs is the largest?

Detailed Solution: Question 11

The largest organ in the human body is the skin. The skin is considered an organ because it has some very specific functions — like maintaining body temperature and protecting the other organs from bacteria — that require some specialized tissues

Karnataka Police SI (KSP SI) Mock Test - 3 - Question 12

Number 45789 is divisible by which number:

Detailed Solution: Question 12

Number 45789 is divisible by number only 3

Karnataka Police SI (KSP SI) Mock Test - 3 - Question 13

The difference between the compound interest and simple interest on Rs x at 8.5% per annum for 2 years is Rs 28.90. The value of x is:

Detailed Solution: Question 13

D=p

28.90=x()2

x==4000

Karnataka Police SI (KSP SI) Mock Test - 3 - Question 14

A expend 34% of total monthly income on domestic uses , 26% on education, 14% on entertainment, and he saves 25610 Rs . Monthly income of A is :

Detailed Solution: Question 14

A expend 34% of total monthly income on domestic uses , 26% on education, 14% on entertainment, and he saves 25610 Rs .

Total Income= 100%

Remaining =100-34-26-14=26%

26%=25610

1%=25610/26=985

100%=98500

Karnataka Police SI (KSP SI) Mock Test - 3 - Question 15

Vice-President of India is also ex-officio chairman of ________.

Detailed Solution: Question 15

Article 63 of Indian Constitution states that "There shall be a Vice President of India."

Vice-President of India is also ex-officio chairman of Rajya Sabha

Karnataka Police SI (KSP SI) Mock Test - 3 - Question 16

Which of the following observations helps us to determine whether a chemical reaction has taken place?

Detailed Solution: Question 16

a)A color change indicates the formation of a chemical change. This means a chemical reaction is occurring.

The chemical reaction between potassium iodide solution and lead nitrate solution.

b) Some chemical changes produce a gas as a product of a reaction. The electrolysis of water, for example.

c) Change in state also determines a chemical reaction. The combustion reaction of candle wax shows the change of state is a chemical reaction.

Karnataka Police SI (KSP SI) Mock Test - 3 - Question 17

In ____ allotrope, carbon atoms are arranged in the shape of a football.

Detailed Solution: Question 17

The C60 molecule has the shape of a football (soccer ball).

C60 is a molecule that consists of 60 carbon atoms, arranged as 12 pentagons and 20 hexagons.

A Soccer-Ball Shaped Molecule Fullerenes are closed cage structures.

Karnataka Police SI (KSP SI) Mock Test - 3 - Question 18

A distributor gives discount of 12%. if the selling price is Rs 924. Discount is :

Detailed Solution: Question 18

A distributor gives discount of 12%.

if the selling price is Rs 924.

Selling Price = 88 %=924

1%=10.5

Marked price 100%=1050

Discount =12%of 1050=126

Karnataka Police SI (KSP SI) Mock Test - 3 - Question 19

How much area of Bhutan is approximately covered with forest?

Detailed Solution: Question 19

Bhutan has a total of 2,730,889 hectare forest cover, which is equal to 71 percent of the total geographical area of the country. Bhutan is the only country in the world that is carbon negative, which means it produces more oxygen than it consumes.

Karnataka Police SI (KSP SI) Mock Test - 3 - Question 20

The Taj Mahal is on the bank of the river ___________.

Detailed Solution: Question 20

The Taj Mahal, a spectacle in white marble, unparalleled in grandeur that depicts the sheer opulence of an era. The awesome structure, the monument of love that Mughal Emperor Shah Jahan gave to the world, stands as a testimony of his intense love for his wife Mumtaz Mahal. The Taj Mahal stands magnificently on the banks of River Yamuna at Agra.

Karnataka Police SI (KSP SI) Mock Test - 3 - Question 21

Who assumed the charge of Chairmanship of Association of World Election Bodies recently?

Detailed Solution: Question 21

Chief Election Commissioner (CEC) Sunil Arora assumed the Chairmanship of ‘Association of World Election Bodies’ (AWEB) on September 3, 2019, Arora will serve the post during 2019-21. His appointment came after India took over the Chair of AWEB from Romania.

Karnataka Police SI (KSP SI) Mock Test - 3 - Question 22

Which word does NOT belong with the others?

Detailed Solution: Question 22

Parsley, basil, and dill are types of herbs. Mayonnaise is not an herb.

Karnataka Police SI (KSP SI) Mock Test - 3 - Question 23

Arrange the words given below in a meaningful sequence.

1. Police

2. Punishment

3. Crime

4. Judge

5. Judgement

Detailed Solution: Question 23

The correct order is :

Karnataka Police SI (KSP SI) Mock Test - 3 - Question 24

Which city is hosting the 28th edition of India-Thailand Coordinated Patrol exercise?

Detailed Solution: Question 24

The 28th edition of India-Thailand Coordinated Patrol is being conducted between the Indian Navy (IN) and the Royal Thai Navy (RTN) during 5 – 15 September 2019 in Bangkok, Thailand. For this purpose, IN Dornier arrived at Bangkok along with aircrew.

Karnataka Police SI (KSP SI) Mock Test - 3 - Question 25

The Lok Sabha has passed a bill to regularise the unauthorised colonies of which city?

Detailed Solution: Question 25

The Lok Sabha on November 28, 2019 passed the bill to regularise property of residents living in unauthorised colonies in Delhi by securing the rights of ownership.

Karnataka Police SI (KSP SI) Mock Test - 3 - Question 26

What will come at the place of question mark ?

120, 99, 80, 63, 48, ?

Detailed Solution: Question 26

The pattern is - 21, - 19, - 17, - 15,.....

So, missing term = 48 - 13 = 35.

Karnataka Police SI (KSP SI) Mock Test - 3 - Question 27

Exercise Yudh Abhyas 2019 began recently between India and which country?

Detailed Solution: Question 27

Exercise Yudh Abhyas 2019, a joint military training exercise, will begin on September 5, 2019 between India and the United States in Washington, USA. The exercise will conclude on September 18, 2019.

Karnataka Police SI (KSP SI) Mock Test - 3 - Question 28

How many matches in international cricket Mithali Raj has won as Indian women team’s captain?

Detailed Solution: Question 28

Mithali Raj has achieved this feat after winning the ODI series 3–0 against South Africa. Mithali Raj has captained 167 matches. She is only the second female captain to win 100 matches in women's cricket after England's Charlett Edwards.

Karnataka Police SI (KSP SI) Mock Test - 3 - Question 29

Which PSU company has announced to launch an initiative to turn plastic into bitumen?

Detailed Solution: Question 29

The Public Sector Undertaking (PSU) Indian Oil has announced to start a venture that can transform plastic into bitumen. The company said that bitumen will be used commercially for road construction. The first short patch of bitumen road was constructed at Faridabad under this initiative.

Karnataka Police SI (KSP SI) Mock Test - 3 - Question 30

Which word does NOT belong with the others ?

Detailed Solution: Question 30

Tulip, rose, and daisy are all types of flowers. A bud is not.

View more questions
10 tests
Information about Karnataka Police SI (KSP SI) Mock Test - 3 Page
In this test you can find the Exam questions for Karnataka Police SI (KSP SI) Mock Test - 3 solved & explained in the simplest way possible. Besides giving Questions and answers for Karnataka Police SI (KSP SI) Mock Test - 3, EduRev gives you an ample number of Online tests for practice
Download as PDF