Electrical Engineering (EE) Exam  >  Electrical Engineering (EE) Test  >  Electrical Machines for Electrical Engg.  >  Test: Three phase Induction Motor Speed Control - Electrical Engineering (EE) MCQ

Three phase Induction Motor Speed Control - GATE EE Electrical Machines


MCQ Practice Test & Solutions: Test: Three phase Induction Motor Speed Control (10 Questions)

You can prepare effectively for Electrical Engineering (EE) Electrical Machines for Electrical Engg. with this dedicated MCQ Practice Test (available with solutions) on the important topic of "Test: Three phase Induction Motor Speed Control". These 10 questions have been designed by the experts with the latest curriculum of Electrical Engineering (EE) 2026, to help you master the concept.

Test Highlights:

  • - Format: Multiple Choice Questions (MCQ)
  • - Duration: 20 minutes
  • - Number of Questions: 10

Sign up on EduRev for free to attempt this test and track your preparation progress.

Test: Three phase Induction Motor Speed Control - Question 1

In a three-phase induction motor regenerative braking occurs when:

Detailed Solution: Question 1

Regenerative Braking:

  • Regenerative braking of an induction motor can only take place if the speed of the motor is greater than its synchronous speed, both rotating in the same direction
  • When the load is reduced then there is a possibility for higher speeds and regenerative breaking.
  • In regenerative braking, induction motor works as an induction generator, and power is fed back to the source
  • This enhances the energy efficiency of the motor and improves the operating power factor the machine
  • The main advantage of regenerative braking is that the generated power is fully used

Regenerative braking is used to control the speed of motors driving loads such as in electric locomotives, elevators, cranes, and hoists

Regenerative braking cannot be used for stopping the motor; It is only used for controlling the speed above the no-load speed of the motor

Test: Three phase Induction Motor Speed Control - Question 2

A 4-pole induction motor (main) and a 6-pole motor (auxiliary) are connected in cumulative cascade. Frequency in the secondary winding of the auxiliary motor is observed to be 1 Hz. For a supply frequency of 50 Hz the speed of the cascade set is:

Detailed Solution: Question 2

Speed of cascade set 

Test: Three phase Induction Motor Speed Control - Question 3

The rotor of an induction motor cannot run with synchronous speed because

Detailed Solution: Question 3

  • In an induction motor when Voltage is applied to the stator of the induction motor, the current will flow through the winding, resulting in a magnetic field flux around the free space across the stator.
  • The rotor is placed in such a way that this magnetic field induces a current in the rotor. This induced current will flow through the rotor winding causing another flux in the rotor.
  • This flux in the rotor will lag stator flux.
  • Due to this difference in flux, the rotor will experience a torque and will start to rotate at a speed less than synchronous speed due to lagging.

∴ Theoretically, the Induction motor can never run at synchronous speed. However, if by some external force, or system fault such as voltage surge, somehow speed of induction motor becomes equal to the synchronous speed, then there will be no more lagging between both the fluxes and no more current will be induced in the rotor winding. This will result in no torque on the rotor, and it will stop moving due to this.

Test: Three phase Induction Motor Speed Control - Question 4

Under no load condition if the applied voltage to an induction motor is reduced from the rated voltage to half the rated value,

Detailed Solution: Question 4

In an induction motor,

For same torque, s ∝ 1/V2

Therefore, the speed will decrease with a decrease in voltage to half the rated value.

When an induction motor is on no-load and it is operating at rated frequency but at less than the rated voltage,

  • Air gap flux will be less than rated flux as ϕ ∝ V/f
  • Both Iμ and Iw decreases and hence the no-load current also decreases
  • Iron losses decrease as these are directly proportional to the square of the voltage
  • Mechanical losses remain constant.
  • Constant losses will decrease
  • No-load stator copper loses will decrease
  • No-load power factor will increase
  • Both starting torque and maximum torque are proportional to the square of the voltage and they will decrease.

Test: Three phase Induction Motor Speed Control - Question 5

During plugging of a three-phase induction motor:

Detailed Solution: Question 5

Concept of Plugging:

  • Due to the reversal of the phase sequence of the stator voltage, the direction of the rotating magnetic field gets reversed.
  • This produces a torque in the reverse direction and the motor tries to rotate in the opposite direction.
  • This opposite flux acts as a brake and it slows down the motor. During plugging the slip is (2 - s), if the original slip of the running motor is s.
  • This method is the quickest way of braking, but during the plugging operation very high I²R losses occur in the form of heat. This heat is more than produced when the rotor is normally locked.
  • So, we cannot apply plugging frequently due to the high heat produced rotor which can damage or melt the rotor bars and even may overheat the stator as well.

Therefore, Plugging of a three-phase induction motor is done by interchanging connections of any two phases of the stator supply terminals for obtaining quick braking.

Test: Three phase Induction Motor Speed Control - Question 6

A constant V/f controlled induction motor is fed from a variable voltage variable frequency three phase voltage source inverter. The motor is operated within the base speed. Which of the following is true in torque-speed characteristics of this motor?

Detailed Solution: Question 6

(V / f) control or frequency control method: 

It is basically frequency control but to maintain Bmax constant

The frequency variations should be done by keeping the (V / f) ratio constant.

Formula:

The synchronous speed of the induction motor in rpm is

NS ∝ f

NS = Synchronous speed

f = Frequency

P = No. of poles

The torque produced in the motor is

The Torque - Speed characteristics:

From the above graph, we can conclude that starting torque increases and maximum torque remains constant.

Test: Three phase Induction Motor Speed Control - Question 7

The speed of an induction motor is increased by increasing the frequency by 20%. If the magnetising current of the machine is to remain constant, then

Detailed Solution: Question 7

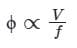
Voltage of 3 - ϕ induction motor is given by

V = 4.44 ϕ f N

N remains constant for the same motor, then

also ϕ ∝ Im

Where ϕ = Air gap flux in Weber

V = Terminal voltage in volt

N = Number of turns

f = Supply frequency in Hz

Im =  Magnetising current

So that to keep air gap flux constant, voltage and frequency must be increased and decreased in the same proportion.

Solution:

For magnetising current to remain constant, we need to maintain the V/f ratio constant.

Given that the supply frequency is increased by 20%.

Hence the supply voltage must be increased by 20%

Test: Three phase Induction Motor Speed Control - Question 8

When single phasing occurs in a three phase induction motor under running conditions, it 

Detailed Solution: Question 8

Single phasing:

  • A three-phase motor must be connected to the rated load voltage and load for proper working. If due to some reason, one phase of the motor gets disconnected, the motor will continue to run from the active 2-phase supply. This is called single phasing.
  • The motor will continue to run with vibration and reduced speed. However, depending upon the loading condition, the motor may/may not start on two phases.
  • It will work satisfactorily if the motor carrying the load not more than 0.5 times rated load
  • Single phasing is not desirable for the proper operation of the induction motors and appropriate measures should be taken to protect the machine.

Causes of single phasing:

  • One of the three back up fuses blow (or fuse melts)
  • One of the conductors of the motor is open-circuited.
  • Wrong setting of the protection device provided on the motor.
  • Relay contacts may be damaged or broken.

Effect of single phasing:

  • Motor runs with reduced speed.
  • It operates with uneven torque and produces a humming noise.
  • Due to loss of current from one phase the current flowing through the remaining two phases increases. The winding insulation, at times, may not be designed to withstand the increased current and heat thereby damaging the insulation and causing short-circuited between the winding and the motor burns out.
  • It may cause an overloading of the Generator.
  • If the motor is arranged for stand by and automatic starting than the motor will not start and if the over relay provided fails to function the motor may burn.

Test: Three phase Induction Motor Speed Control - Question 9

Which of the following methods of speed control of induction motor can be only used for wound rotor type induction motor? 

Detailed Solution: Question 9

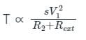
Rotor resistance method of speed control:

Where

Rext  = extenal resistance added

  • In this method, some external resistance is added in series with the rotor winding under load conditions.
  • Here voltage kept constant. To maintain load torque is constant so that slip increases.
  • By inserting resistance, the slip of the induction machine increases for constant torque hence the speed reduces.
  • By using this method also speeds below the rated value can be achieved.
  • During the rotor resistance method of speed control of the induction motor, the motor acts as a constant torque variable power drive.
  • Rotor resistance control method of speed control can be only used for wound rotor type induction motor.

Disadvantages:

  • Due to the presence of additional resistance, copper loss increases leads to a reduction in efficiency of the machines.
  • As copper losses increasing heat rise will happen so this method is not suitable for long-duration speed control.

Test: Three phase Induction Motor Speed Control - Question 10

What is the condition to achieve regenerative braking of induction motor?

Detailed Solution: Question 10

Regenerative Braking:

  • Regenerative braking of an induction motor can only take place if the speed of the motor is greater than its synchronous speed, both rotating in the same direction
  • When the load is reduced then there is a possibility for higher speeds and regenerative breaking.
  • In regenerative braking, induction motor works as an induction generator, and power is fed back to the source
  • This enhances the energy efficiency of the motor and improves the operating power factor the machine
  • The main advantage of regenerative braking is that the generated power is fully used

Regenerative braking is used to control the speed of motor driving loads such as in electric locomotives, elevators, cranes, and hoists

Regenerative braking cannot be used for stopping the motor; It is only used for controlling the speed above the no-load speed of the motor.

Explanation:

The condition to achieve regenerative braking of the induction motor is when the synchronous speed should be a little lower than the rotor speed.

35 videos|96 docs|42 tests
Information about Test: Three phase Induction Motor Speed Control Page
In this test you can find the Exam questions for Test: Three phase Induction Motor Speed Control solved & explained in the simplest way possible. Besides giving Questions and answers for Test: Three phase Induction Motor Speed Control, EduRev gives you an ample number of Online tests for practice
Download as PDF