You can prepare effectively for Engineering Mathematics Engineering Mathematics with this dedicated MCQ Practice Test (available with solutions) on the important topic of "Test: Euler's Equation". These 10 questions have been designed by the experts with the latest curriculum of Engineering Mathematics 2026, to help you master the concept.
Test Highlights:
Sign up on EduRev for free to attempt this test and track your preparation progress.
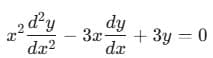
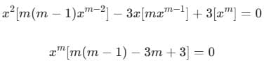
Detailed Solution: Question 1
The general solution of the differential equation x2 y'' + 3x y' + 5y = 0 is:
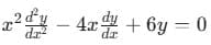
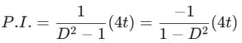
Detailed Solution: Question 2
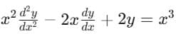
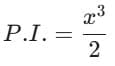
The Particular Integral (P.I.) of the differential equation
is:
Detailed Solution: Question 3
The Particular Integral of the differential equation x2 y'' + x y' - y = 4 ln x is:
Detailed Solution: Question 4
Detailed Solution: Question 5
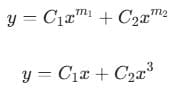
The general solution of the differential equation x2 y'' + x y' = 0 is:
Detailed Solution: Question 6
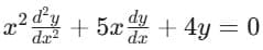
Consider the differential equation:

The general solution y(x) for x > 0 is:
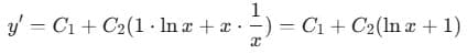
Detailed Solution: Question 7
The general solution of the differential equation x2 y'' + x y' + y = 0 is:
Detailed Solution: Question 8
Solve the differential equation
subject to the initial conditions y(1) = 1 and y'(1) = 2.
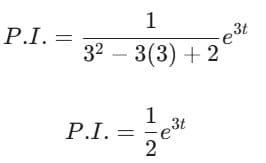
Detailed Solution: Question 9
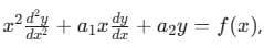
To solve the Cauchy-Euler equation
, the independent variable x is transformed to t using the substitution:
Detailed Solution: Question 10
71 videos|135 docs|94 tests |