You can boost your JEE 2026 exam preparation with this JEE Main Mock Test - 3 (available with detailed solutions).. This mock test has been designed with the analysis of important topics, recent trends of the exam, and previous year questions of the last 3-years. All the questions have been designed to mirror the official pattern of JEE 2026 exam, helping you build speed, accuracy as per the actual exam.
Mock Test Highlights:
Sign up on EduRev for free and get access to these mock tests, get your All India Rank, and identify your weak areas to improve your marks & rank in the actual exam.
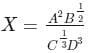
In an experiment, the percentage of error occurred in the measurement of physical quantities A, B, C and D are 1%, 2%, 3% and 4%, respectively. Then the maximum percentage of error in the measurement X, where
will be
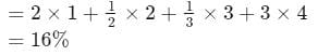
Detailed Solution: Question 1
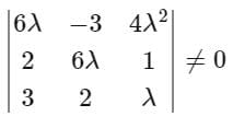
In an electromagnetic wave in free space the root mean square value of the electric field is Erms = 6 V/m.
The peak value of the magnetic field is:-
Detailed Solution: Question 2
The position of the direct image obtained at O, when a monochromatic beam of light is passed through a plane transmission grating at normal incidence is shown in figure. The diffracted images A, B and C correspond to the first, second and third order diffraction. When the source is replaced by another source of shorter wavelength

Detailed Solution: Question 3
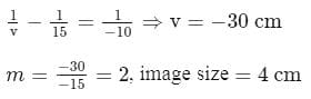
A 2.0 cm object is placed 15 cm in front of a concave mirror of focal length 10 cm. What is the size and nature of the image?
Detailed Solution: Question 4
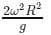
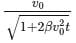
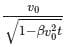
The engine of a motorboat is switched off when its speed is v0. If motorboat experiences variable acceleration as dv/dt = −βv3, where β is a positive constant and v instantaneous speed, then the speed of motorboat after t second (t = 0 when switch is off) is
Detailed Solution: Question 5
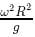
In a photodiode, the conductivity increases when the material is exposed to light. It is found that conductivity changes only if the wavelength is less than 600 nm. What is the bandgap?
Detailed Solution: Question 6
If the magnetic dipole moment of an atom of diamagnetic material, paramagnetic material and ferromagnetic material is denoted by μd, μp and μf respectively, then
Detailed Solution: Question 7
Which of the following will pair up to produce stationary wave?
(1) Z1 = A cos(kx − ωt)
(2) Z2 = A cos(kx + ωt)
(3) Z3 = A cos(ky − ωt)
(4) Z4 = A cos(kz + ωt)
Detailed Solution: Question 8
A particle is undergoing SHM. Displacement vs time curve is as shown in the figure.

The correct statement is
Detailed Solution: Question 9
Match List - I (Electromagnetic wave type) with List - II (Its association/application) and select the correct option from the choices given below the lists :

Detailed Solution: Question 10
Figure shows a cyclic process ABCDBEA performed on an ideal cycle. If PA = 2 atm, PB = 5 atm and PC = 6 atm, VE – VA = 20 litre, find the work done (in KJ) by the gas in the complete process. (1 atm. pressure = 1 × 105 Pa)

Detailed Solution: Question 11
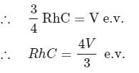
If first excitation potential of a hydrogen like atom is V electron volt, then the ionization energy of this atom will be:
Detailed Solution: Question 12
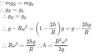
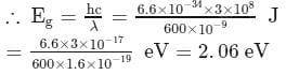
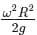
Let ω is the angular velocity of the earth's rotation about its own axis and acceleration due to gravity on the earth's surface at the poles is g. An object weighed by a spring balance gives the same reading at the equator, as well as at a height h above the poles (h ≪ R). What is the value of h ?
Detailed Solution: Question 13
A charge particle having charge Q is placed at the centre of hollow hemispherical sphere whose a portion is removed as shown. If the radius of the hollow sphere is R, then flux through the remaining surface is equal to Q/xε0. The value of x is?

Detailed Solution: Question 14
A tuning fork and uniform string of length 100 cm give 4 beats /s. The string is made shorter without any change in tension and the mode of oscillation, until its frequency becomes equal to that of the fork. If now the length of the string is 99 cm, and the frequency of the fork is 100nHz, find the value of n.
Detailed Solution: Question 15
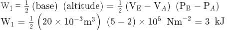
An ionization chamber with parallel conducting plates as anode and cathode has 5 × 107 electrons and the same number of singly-charged positive ions per cm3. The electrons are moving at 0.4 m s−1. The current density from anode to cathode is 4 μA m−2. The velocity of positive ions moving towards cathode is V, find 100V in m/s.
Detailed Solution: Question 16
Three identical hollow sphere, each of mass 2kg and radius 10cm are placed as shown in diagram.Consider an axis XX′ which is touching to two shells and passing through diameter of third shell. Calculate Moment of inertia of the system consisting of these three spherical shells XX′ axis in g m2?

Detailed Solution: Question 17
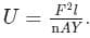
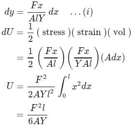
A uniform rod of length l is acted upon by a force F in a gravity-free region, as shown in the figure. If the area of cross-section of the rod is A and it's Young's modulus is Y, then the elastic potential energy stored in the rod due to elongation is
. Then find the value of n?

Detailed Solution: Question 18
Identify the pair of elements with the highest and lowest electronegativity respectively
Detailed Solution: Question 19
Which of the following facts regarding boron and silicon is not true?
Detailed Solution: Question 20
Electrolysis of dilute aqueous NaCl solution was carried out by passing 10 mA current. The time required to liberate 0.01 mol of H2 gas at the cathode is (1 F = 96500C mol−1)
Detailed Solution: Question 21
An oxide of nitrogen is reddish brown and paramagnetic at room temperature but it decolourises and also loses its paramagnetism on freezing it. The oxide at room temperature is
Detailed Solution: Question 22
T is a point on the tangent to a parabola y2 = 4ax at its point P. TL and TN are the perpendiculars on the focal radius SP and the directrix of the parabola respectively. Then
Detailed Solution: Question 23
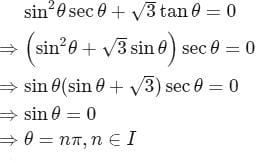
Detailed Solution: Question 24
The fundamental period of the function f(x) = e{4{x}+3}, where {⋅} denotes the fractional part function is
Detailed Solution: Question 25
In the figure, AB, DE and GF are parallel to each other and AD, BG and EF are parallel to each other. If CD : CE = CG : CB = 2 : 1, then the value of area (△AEG): area (ΔABD) is equal to

Detailed Solution: Question 26
Let p, q, r be three statements, then (p → (q → r)) ↔ ((p ∧ q) → r), is a
Detailed Solution: Question 27
A bag contains six balls of different colours. Two balls are drawn in succession with replacement. The probability that both the balls are of the same colour is p. Next four balls are drawn in succession with replacement and the probability that exactly three balls are of the same colour is q. If p: q = m : n, where m and n are coprime, then m + n is equal to:
Detailed Solution: Question 28
If the mean and variance of four numbers 3, 7, x and y(x > y) be 5 and 10 respectively, then the mean of four numbers 3 + 2x, 7 + 2y, x + y and x - y is ______.
Detailed Solution: Question 29
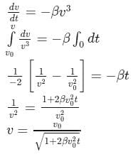
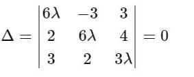
Let S be the set of values of λ, for which the system of equations
6λx - 3y + 3z = 4λ2,
2x - 6λy + 4z = 1,
3x + 2y + 3λz = λ has no solution. Then
is equal to ___________.
Detailed Solution: Question 30
360 docs|100 tests |