CTET & State TET Exam  >  CTET & State TET Test  >  Mathematics & Pedagogy Paper 2 for CTET & TET Exams  >  Mathematics Paper 2 (Algebra - I) - CTET & State TET MCQ

Mathematics Paper 2 (Algebra - I) Free MCQ Test with solutions for CTET


MCQ Practice Test & Solutions: Mathematics Paper 2 (Algebra - I) (10 Questions)

You can prepare effectively for CTET & State TET Mathematics & Pedagogy Paper 2 for CTET & TET Exams with this dedicated MCQ Practice Test (available with solutions) on the important topic of "Mathematics Paper 2 (Algebra - I)". These 10 questions have been designed by the experts with the latest curriculum of CTET & State TET 2026, to help you master the concept.

Test Highlights:

  • - Format: Multiple Choice Questions (MCQ)
  • - Duration: 10 minutes
  • - Number of Questions: 10

Sign up on EduRev for free to attempt this test and track your preparation progress.

Mathematics Paper 2 (Algebra - I) - Question 1

What is the value of (27x3 - 58x2y + 31xy2 - 8y3), when x = -5 and y = -7?

Detailed Solution: Question 1

Calculation:

(3x - 2y)3 = (3x)3 - (2y)3 - 3 × (3x)2 × (2y) + 3 × 3x × (2y)2

⇒ 27x3 - 8y3 - 54x2y - 4x2y + 36 xy2 - 5xy2 = (3x - 2y)3 - 4x2y - 5xy2

⇒ 27x3 - 58x2y + 31xy2 - 8y3 = (3x - 2y)3 - 4x2y - 5xy2

Now we put the value of x = - 5 and y = - 7

(3x - 2y)3 - 4x2y - 5xy2

⇒ {3 × (- 5) - 2 × (- 7)}3 - 4 × (- 5)2 × (- 7) - 5 × (- 5) × (- 7)2

 {- 15 + 14}3 + 4 × 25 × 7 + 25 × 49

⇒ (-1)3 + 700 + 1225

⇒ 1925 - 1 = 1924

∴ The correct answer is 1924.

Mathematics Paper 2 (Algebra - I) - Question 2

Simplify,

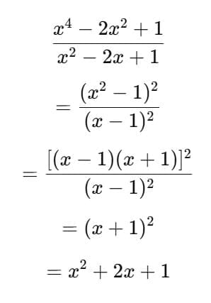
x42x2+1x22x+1

Detailed Solution: Question 2

Formula used:

(a - b)2 = a2 + b2 - 2ab

(a2 - b2) = (a + b) × (a - b)

(a + b)2 = a2 + b2 + 2ab

Calculation:

Mathematics Paper 2 (Algebra - I) - Question 3

Simplify the given expression. 

Detailed Solution: Question 3

Given:

Concept used:

(a + b)3 = a3 + b3 + 3ab (a + b)

(a - b)3 = a3 - b3 - 3ab (a - b)

Calculation:

According to the question,

The expression is =  

We know,

( x + 3)2 = x3 + 33 + 3 × (x) × 3 (x + 3)

⇒ ( x + 3)2 = x3 + 27 + 9x(x + 3)

⇒( x + 3)2 = x3 + 27 + 9x2 + 27x

⇒( x + 3)2 = x3 + 9x2 + 27x + 27                    ---------(1)

Similarly,

( x - 3)2 = x3 - 33 - 3 × (x) × 3 (x - 3)

⇒ (x - 3)2 = x3 - 27 - 9x(x - 3)

⇒( x - 3)2 = x3 - 27 - 9x2 + 27x

⇒( x - 3)2 = x3 - 9x2 + 27x - 27                        ---------(2)

Put the value of eq. (1) and eq. (2) in given expression

Mathematics Paper 2 (Algebra - I) - Question 4

Simplify the expression: 

(c + d)2 - (c - d)2

Detailed Solution: Question 4

Formula Used :

x- y2 = (x + y) (x - y)

Calculation:

⇒ (c + d)2 - (c - d)2

⇒ (c + d + c - d) (c + d -(c - d))

⇒ 2c × (c + d - c + d)

⇒ 2c × 2d = 4cd

∴ The simplified value is 4cd.

Alternate Method

Formula Used :

(x + y)2 = x2 + y2 + 2xy

(x - y)2 = x2 + y2 - 2xy

Calculation:

⇒ (c + d)2 - (c - d)2

⇒ c+ d+ 2cd - (c2 + d2 - 2cd)

⇒ c2 + d2 + 2cd - c2 - d2 + 2cd

⇒ 4cd

∴ The simplified value is 4cd.

Mathematics Paper 2 (Algebra - I) - Question 5

If (p - q) = 8, then what is the value of q3 - p3 + 24pq?

Detailed Solution: Question 5

Given:

(p - q) = 8,

Formula used:

(a - b)3 = a3 - b3 - 3ab(a - b)

Calculation:

According to the question,

⇒ (p - q) = 8

Take cube on both sides,

⇒ (p - q)3 = 83

⇒ p3 - q3 - 3pq(p - q)= 83

⇒ p3 - q3 - 3pq(8) = 512

⇒ p3 - q3 - 24pq = 512

It can be written as:

⇒ q3 - p3 + 24pq = -512

Therefore, "-512" is the required answer.

Mathematics Paper 2 (Algebra - I) - Question 6

The square of the difference between two given natural numbers is 324, while the product of these two given numbers is 144. Find the positive difference between the squares of these two given numbers.

Detailed Solution: Question 6

Given:

The square of the difference between two given natural numbers is 324, while the product of these two given numbers is 144.

Calculation:

Let the numbers are x and y

(x - y)2 = 324

So, x - y = 18, xy = 144

(x + y)2 = (18)2 + 4× 144

⇒ 900

⇒ x + y = 30

Then, x is (30 + 18) / 2 = 24 and y = 6

So , x2 - y2 = 242 - 62

⇒ 576 - 36 = 540

∴ The correct option is 2

Mathematics Paper 2 (Algebra - I) - Question 7

Find the value of x:

Detailed Solution: Question 7

Given:

Concept used:

BODMAS rule

Calculation:

We know from BODMAS the rule that,

Addition is solved first

Then subtraction is solved.

According to the BODMAS rule  -

 = 479

 = 479

  = 479

On solving for x, we get,

x = 4790

Therefore, the correct option is 3 that is 4790.

Mathematics Paper 2 (Algebra - I) - Question 8

If  then what is (x + y) equal to?

Detailed Solution: Question 8

Calculation:

⇒ 

⇒ 

⇒ 6x - 9y + 3 = 2x + 8y + 16

⇒ 4x - 17y = 13 ------(1)

⇒ 

⇒ 10x - 15y + 5 = 8x - 14y + 4

⇒ (2x - y = -1) × 2

⇒ 4x - 2y = -2 -------(2)

Subtracting equation (1) & (2), we get

⇒ 15y = -15

⇒ y = -1

By putting the value of y in equation (2), we get

⇒ x = -1

⇒ x + y = -1 + (-1) = -2

∴ The correct answer is -2.

Mathematics Paper 2 (Algebra - I) - Question 9

Simplify the expression  provided (s + t + u) ≠ 0.

Detailed Solution: Question 9

Calculation:

∴ The correct option is 1.

Mathematics Paper 2 (Algebra - I) - Question 10

If (d + e + f) = 14, (d2 + e2 + f2) = 96, then find the value of (de + ef + fd).

Detailed Solution: Question 10

Given:

(d + e + f) = 14

(d2 + e2 + f2) = 96

Formula Used:

(a + b + c)2 = 2 × (ab + bc + ca) + a2 + b2 + c2

Calculation:

⇒ (d + e + f)2 = 2 × (de + ef + fd) + d2 + e2 + f2

⇒ ( 14)2 = 2× (de + ef + fd) + 96

⇒ 2 × (de + ef + fd) = 196 - 96 = 100

⇒ (de + ef + fd) = 100/2 = 50

∴ The value of (de + ef + fd) is 50.

83 videos|266 docs|69 tests
Information about Mathematics Paper 2 (Algebra - I) Page
In this test you can find the Exam questions for Mathematics Paper 2 (Algebra - I) solved & explained in the simplest way possible. Besides giving Questions and answers for Mathematics Paper 2 (Algebra - I), EduRev gives you an ample number of Online tests for practice
Download as PDF