Transverse wave of amplitude 10 cm is generated at one end (x = 0) of a long string by a tuning fork of frequency 500 Hz. At a certain instant of time, the displacement of a particle A at x = 100 cm is -5 cm and of particle B at x = 200 cm is +5 cm. What is the wavelength of the wave?
A radioactive sample S1 having an activity of 5 μCi has twice the number of nuclei as another sample S2, which has an activity of 10μCi The half lives of S1 and S2 can be
A heater is designed to operate with a power of 1000 W in a 100 V line. It is connected in combination with a resistance of 10 Ω and a resistance R to a 100 V line as shown in the figure. What should be the value of R so that the heater operates with a power of 62.5 W?

A machine gun fires six bullets per second into a target. The mass of each bullet is 3 g and the speed 500 m s−1. The power delivered to the bullets is
Which of the following device works on the principle that the charge between the two flow if they are connected by a conducting wire:
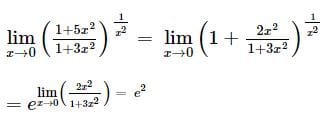
In a biprism experiment with sodium light, bands of width 0.0195 cm are observed at 100 cm from slit. On introducing a convex lens 30 cm away from the slit between biprism and screen, two images of the slit are seen 0.7 cm apart at 100 cm distance from the slit. Calculate the wavelength of sodium light.
Two masses of M and 4M are moving with equal kinetic energy. The ratio of their linear momentum is
Two circular coils mounted parallel to each other on the same axis carry steady currents. If an observer between the coils reports that one coil is carrying a clockwise current i, while the other is carrying a counter clockwise current i, between the two coils, then there is
A block of mass, m = 2 kg is attached to two unstretched springs of force constant, k1 = 100 N m−1 and k2 = 125 N m−1. The block is displaced towards the left through a distance of 10 cm and released. Find the speed of the block as it passes through the mean position.

Assertion: string can never remain horizontal, when loaded at the middle, howsoever large the tension may be.
Reason: For horizontal string, angle with vertical, 
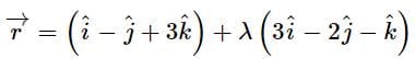
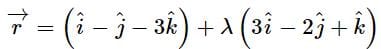
The differential equation, representing a family of circles, touching the y-axis at the origin (y-axis being a tangent to the circle) is
A problem in statistics is given to three students whose chances of solving it are 1/2, 1/3 and 1/4. The probability that the problem is solved is
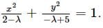
A parabola is drawn with focus at one of the foci of the ellipse
where a > b, and directrix passing through the other focus and perpendicular to the major axis of the ellipse. If the latus rectum of the ellipse and that of the parabola are same, then the eccentricity of the ellipse is:
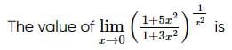
The radius of a cylinder is increasing at the rate of 3 m/s and its altitude is decreasing at the rate of 4 m/s. What is the rate of change of volume when radius is 4 m and altitude is 6 m?
A seven digit number is of the form abcdefg (g,f,e, etc. are distinct digits at units, tens, hundred place etc.) where a<b<c<d>e>f>g. The number of such numbers are
The number of integral values of 'a' for which the equation cos 2x + a sin x = 2a – 7 possesses possible solutions is
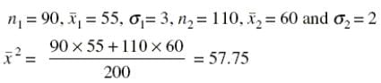
A sample of 90 values has mean 55 and standard deviation 3. A second sample of 110 values has mean 60 and standard deviation 2. The combined variance (upto two decimal places) is equal to
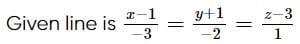
The number of common tangents to the circles x2 + y2 + 2x + 8y − 25 = 0 and x2 + y2 − 4x − 10y + 19 = 0 is
The largest value of 2x3 - 3x2 - 12x + 5 for -2 ≤ x ≤ 2 occurs when x is equal to