JEE Exam  >  JEE Test  >  TS EAMCET Mock Test Series  >  TS EAMCET Mock Test - 8 - JEE MCQ

JEE TS EAMCET Mock Test - 8 Free Online Test 2026


Test Description

30 Questions MCQ Test TS EAMCET Mock Test Series - TS EAMCET Mock Test - 8

TS EAMCET Mock Test - 8 for JEE 2026 is part of TS EAMCET Mock Test Series preparation. The TS EAMCET Mock Test - 8 questions and answers have been prepared according to the JEE exam syllabus.The TS EAMCET Mock Test - 8 MCQs are made for JEE 2026 Exam. Find important definitions, questions, notes, meanings, examples, exercises, MCQs and online tests for TS EAMCET Mock Test - 8 below.
Solutions of TS EAMCET Mock Test - 8 questions in English are available as part of our TS EAMCET Mock Test Series for JEE & TS EAMCET Mock Test - 8 solutions in Hindi for TS EAMCET Mock Test Series course. Download more important topics, notes, lectures and mock test series for JEE Exam by signing up for free. Attempt TS EAMCET Mock Test - 8 | 160 questions in 180 minutes | Mock test for JEE preparation | Free important questions MCQ to study TS EAMCET Mock Test Series for JEE Exam | Download free PDF with solutions
TS EAMCET Mock Test - 8 - Question 1

The radionuclide 56Mn is being produced in a cyclotron at a constant rate P by bombarding a manganese target with deutrons. 56Mn has a half life of 2.5 hours and the target contains large number of only the stable manganese isotope 55Mn. The reaction that produces 56Mn is:

55Mn+d→56Mn+P

After being bombarded for a long time, the activity of 56Mn becomes constant equal to 13.86×10s−1. (Use ln2 = 0.693; Avogadro number = 6×1023 atomic weight of 56Mn = 56gm/mole)

Q. After a long time bombardment, number of 56Mn nuclei present in the target depends upon 
(a) The number of 56Mn nuclei present at the start of the process 
(b) Half life of the 56Mn
(c) The constant rate of production P

TS EAMCET Mock Test - 8 - Question 2

The first atomic reactor was constructed by

TS EAMCET Mock Test - 8 - Question 3

A body is projected at such an angle that the horizontal range is three times the greatest height. The angle of projection is

TS EAMCET Mock Test - 8 - Question 4
The de-Broglie wavelength is proportional to
TS EAMCET Mock Test - 8 - Question 5

Two uncharged identical capacitors A and B, each of capacitance C, and an inductor of inductance L are arranged as shown in the adjacent figure. At t = 0, the switch S1 is closed while switch S2 remains open. At time t = t0=√LCπ/2, switch S2 is closed while switch S1 is opened. 

Q. The charge on capacitor A after time t0 is

TS EAMCET Mock Test - 8 - Question 6
For a transistor amplifier, the voltage gain
TS EAMCET Mock Test - 8 - Question 7

In the following question, a Statement of Assertion (A) is given followed by a corresponding Reason (R) just below it. Read the Statements carefully and mark the correct answer-
Assertion(A):Two bodies 1 and 2 exerting forces on each other.Force exerted on the body 1 by body 2 is F 12 and that exerted on the body 2 (by body 1) is F 21 . Then F 12 = − F 21 .
Reason(R):Force F 12 is of action and force F 21 is of reaction.

Detailed Solution for TS EAMCET Mock Test - 8 - Question 7

Assertion is true as acc to Newton second law Fab=-Fba i.e every action has an equal and opposite reaction. Since force is a Vector quantity opposite direction is to be indicated by negative sign. So in question assertion is true but in reason the force of reaction is not in opposite direction because negative sign is not there. So reason is false.

TS EAMCET Mock Test - 8 - Question 8
In a fission of U235 nucleus on average ----- neutrons are released.
Detailed Solution for TS EAMCET Mock Test - 8 - Question 8
When U235 is bombarded by a neutron, it splits into barium,
Krypton and 2 or 3, so average 2.5 neutrons per fission
TS EAMCET Mock Test - 8 - Question 9
A 5 μF capacitor is fully charged across a 12V battery. It is then disconnected from the battery and connected to an uncharged capacitor. If the voltage across the capacitor becomes 3V, the capacitance of the uncharged capacitor is
Detailed Solution for TS EAMCET Mock Test - 8 - Question 9
C1 * V1 = Q1. [Eq. 1]
Where, C1 = 5uF, V1= 12V.
This means capacitor 1 is able to gather up to 60uC of charge; before the circuit reaches voltage equilibrium and no more current flow is possible.
Now we transfer this bank of charge to another circuit with an uncharged capacitor, C2, which absorbs enough charge and leaves the circuit in equilibrium at 3V.
i.e. V2 = 3V
At 3V C1 can retain a charge of 15uC [using Eq. 1]. This means C2 most possess the remaining 45uC[Q2] of charge; at 3V[V2].
C2 = Q2/V2
C2= 45uC/3V
C2= 15uF
TS EAMCET Mock Test - 8 - Question 10
A bullet of mass 50 gram is fired from a 5 kg gun with a velocity of 1 km/sec. The speed of recoil of the gun is
TS EAMCET Mock Test - 8 - Question 11
Bright colours exihibited by spider's web exposed to sun light are due to
TS EAMCET Mock Test - 8 - Question 12

If a ball of 80 kg mass hits an ice cube and temperature of ball is 100oC, how much ice becomes water? Specific heat of ball is 0.2 cal/gram.

TS EAMCET Mock Test - 8 - Question 13

Pentene-1 with HCl gives

TS EAMCET Mock Test - 8 - Question 14

The synthetic product which closely resembles with the natural musk in odour is

TS EAMCET Mock Test - 8 - Question 15

The correct order of the mobility of the alkali metal ions in aqueous solution is

TS EAMCET Mock Test - 8 - Question 16

Which amino acid has no assymmetric carbon atom?

TS EAMCET Mock Test - 8 - Question 17

The product acetal is produced by reacting alcohol in the presence of dry HCl with

TS EAMCET Mock Test - 8 - Question 18

Mild oxidation of glycerol with H₂O₂/FeSO₄ gives

TS EAMCET Mock Test - 8 - Question 19

When propanamide reacts with Br₂ and NaOH then which of the following compounds is formed ?

TS EAMCET Mock Test - 8 - Question 20

TS EAMCET Mock Test - 8 - Question 21

( d/dx )(x2 + cos x)4 =

Detailed Solution for TS EAMCET Mock Test - 8 - Question 21

d/dx(x2 + cos x)4

= 4.(x2 + cos x)3 x d/dx (x2 + cos x)
= 4(x2 + cos x)3 x (2x - sin x)

TS EAMCET Mock Test - 8 - Question 22

If one of the roots of the quadratic question x2 − x = k be square of the other, then k =

Detailed Solution for TS EAMCET Mock Test - 8 - Question 22

Let the roots be a, a2

Also a ⋅ a2 = −k ⇒ k = −a3 = 2 ± √5

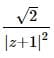
TS EAMCET Mock Test - 8 - Question 23

Detailed Solution for TS EAMCET Mock Test - 8 - Question 23

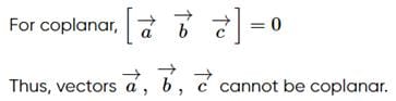
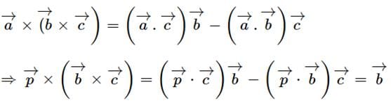
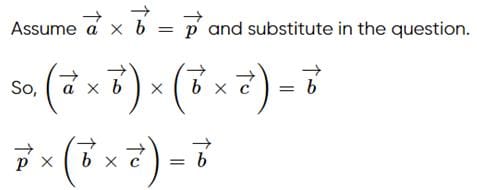
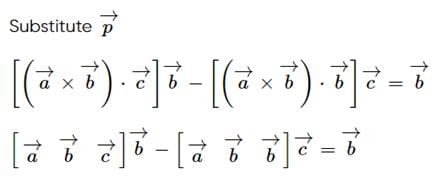
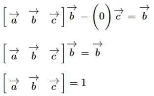
TS EAMCET Mock Test - 8 - Question 24

 are non zero vectors, then:

Detailed Solution for TS EAMCET Mock Test - 8 - Question 24


Applying vector triple product,


The value of scalar triple product is zero, if any two vectors are same.

TS EAMCET Mock Test - 8 - Question 25

In the expansion of , the constant term is

Detailed Solution for TS EAMCET Mock Test - 8 - Question 25

Let (r + 1)th term be the constant term in the expansion of .
Then, Tr + 1 = 15Cr (x3)15 - r . (-1/x2)r is independent of x.
Or Tr + 1 = 15Cr x45 - 5r (-1)r is independent of x.
 45 - 5r = 0  r = 9
Thus, the tenth term is independent of x and is given by:
T10 = 15C9 (-1)9 = – 15C9

TS EAMCET Mock Test - 8 - Question 26

The angle between the lines 2x=3y=-z and 6x=-y=-4z, is

Detailed Solution for TS EAMCET Mock Test - 8 - Question 26

TS EAMCET Mock Test - 8 - Question 27

The equations of two lines are 3y - 4x = 5 and 4y + 6 = 3x. What is the relation between these lines?

Detailed Solution for TS EAMCET Mock Test - 8 - Question 27

The slope of the first line is 4/3 and the slope of the second line is 3/4.
Clearly, these slopes are neither negative reciprocal of each other nor equal.
Hence, they are neither parallel nor perpendicular.

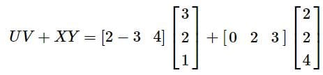
TS EAMCET Mock Test - 8 - Question 28

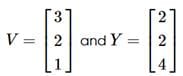
If U = [2 −3 4], X = [0  2  3],  , then UV + XY

Detailed Solution for TS EAMCET Mock Test - 8 - Question 28

= [6 − 6 + 4] + [0 + 4 + 12] = [4] + [16] = [20]

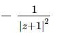
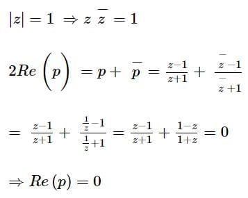
TS EAMCET Mock Test - 8 - Question 29

 then Re(p) equals -

Detailed Solution for TS EAMCET Mock Test - 8 - Question 29

We have,

TS EAMCET Mock Test - 8 - Question 30

If e and e′ are the respective eccentricities of hyperbolas , then

Detailed Solution for TS EAMCET Mock Test - 8 - Question 30

View more questions
10 tests
Information about TS EAMCET Mock Test - 8 Page
In this test you can find the Exam questions for TS EAMCET Mock Test - 8 solved & explained in the simplest way possible. Besides giving Questions and answers for TS EAMCET Mock Test - 8, EduRev gives you an ample number of Online tests for practice
Download as PDF