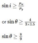
Figure shows, a glass prism ABC (refractive index 1.5), immersed in water (refractive index 43). A ray of light incident normally on face AB. If it is totally reflected at face AC then

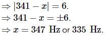
When a tuning fork of frequency 341 Hz is sounded with another tuning fork, six beats per second are heard. When the second tuning fork is loaded with wax and sounded with the first tuning fork, the number of beats is two per second. The natural frequency of the second tuning fork is
A charge Q is placed at a distance a/2 above the centre of a square surface of side length a. The electric flux through the square surface due to the charge would be?

The second overtone of an open pipe A and a closed pipe B have the same frequencies at a given temperature. Both the pipes contain air. The ratio of fundamental frequency of A to that of B is,
When a thin transparent plate of thickness t and refractive index m is placed in the path of one of the two interfering waves of light, then the path difference changes by
In the figure, the blocks A, B and C each of mass m have acceleration a1, a2 and a3, respectively. F1 and F2 are external forces of magnitude 2mg and mg respectively. Then

A cricket ball of mass 200 gms moving with a velocity of 20 m/sec is brought to rest by a player in 0.1 sec. The average force applied by the player is
The rate, at which a substance reacts at constant temperature, depends upon its
Standard enthalpy and standard entropy changes for the oxidation of ammonia at 298 K are - 382.64 kJ mol-1 and - 145.6 JK-1 mol-1 respectively. The standard Gibbs energy change for the same reaction 298 K is
25 grams of water vaporises at 373 K against a constant external pressure of 1 atm. The molar enthalpy of vaporisation is 9.72 kcal/mol. If steam obeys perfect gas laws, then work done against the atmosphere and change of internal energy in the above process, respectively, are
Which of the following ingredients is not used in sun burn creams?
Statements:
(i) Zirconium, Alizarin-s dye is used for testing fluoride ions in water
(ii) Ozone layer is present in mesosphere
(iii) The poisonous gas present in the exhaust fumes of automobiles is CO
(iv) Taj Mahal is affected by CO2 gas
The correct statements are
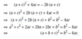
If the roots of the equation ax2 + bx + c = 0 are of the form
then the value of (a + b + c)2 is
The differential equation which represents the family of plane curves y=exp. (cx) is
The volume of parallelopiped whose edges are -12i+λk, 3i-k, 2i+j-15k respectively is 546, then λ=
If a2+2b=7, b2+4c=−7 and c2+6a=−14 , then the value of (a2+b2+c2) is
\'A\' draws two cards with replacement from a pack of 52 cards and \'B\' throws a pair of dice. What is the chance that \'A\' gets both cards of same suit and \'B\' gets total of 6?
How many words can be formed from the letters of the word MATHEMATICS?
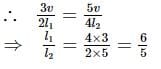
If m1, m2 are slopes of the two tangents that are drawn from (2, 3) to the parabola y2 = 4x, then the value of [(1/m1) + (1/m2)] is
In L.P.P., the constraints 5x+4y≥20, x≤6, y≤4 and x,y ≥ 0 form
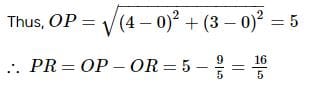
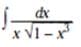
The area of the triangle formed by the tangents from the point (4, 3) to the circle x2+y2=9 and the line joining their points of contact is
Suppose ω is an imaginary cube root of unity. If (1+ω2)m = (1+ω4)m, then the least positive integral value of m is
Let S={1,2,3,….9}. For k=1,2,…5, let Nk be the number of subsets of S, each containing five elements out of which exactly k are odd. Then N1 + N2 + N3 + N4 + N5 =