A soap film of refractive index 4/3 is illuminated by white light incident at an angle of 45°. The transmitted light is examined in a spectroscope and a bright band is found to be at 6000
. Find the thickness of the film.
The standard oxidation no. of the most electronegative element in the products of the reaction BaO2 and dil. H2SO4 is-
tert-Butyl methyl ether on heating with HI of one molar concentration gives
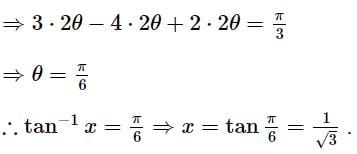
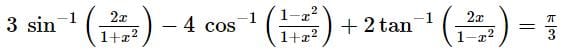
If tan-1 x + tan-1 y + tan-1 z = π/2 , then 1 - xy - yz - zx =
The eccentricity of the hyperbola in the standard form passing through (3, 0) and (3√2, 2) is
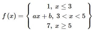
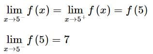
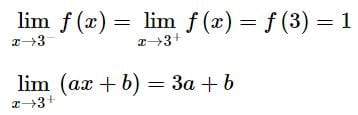
If the function 
is continuous, then find the values of constants a and b.
The equation of a parabola which passes through the intersection of a straight line x + y = 0 and the circle x2 + y2 + 4y = 0 is
The number of tangents to the circle x2 + y2 - 2x + 4y = 0 through the point (-1, 2) is
A and B are square matrices of the same order. Which is correct?
The chance of throwing a total of 7 or 12 with 2 dice, is
The differential equation of all non-vertical lines in a plane is
In the expansion of (1 + x)n,coefficients of 2nd ,3rd and 4th terms are in A.P.Then n is equal to
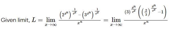
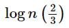
If e1 and e2 are eccentricities of conics xy = 2001 and xy = (1001)2 then e1 − e2 =