You can boost your JEE 2026 exam preparation with this MET Mock Test - 3 (available with detailed solutions).. This mock test has been designed with the analysis of important topics, recent trends of the exam, and previous year questions of the last 3-years. All the questions have been designed to mirror the official pattern of JEE 2026 exam, helping you build speed, accuracy as per the actual exam.
Mock Test Highlights:
Sign up on EduRev for free and get access to these mock tests, get your All India Rank, and identify your weak areas to improve your marks & rank in the actual exam.
Detailed Solution: Question 1
A body is projected at such an angle that the horizontal range is three times the greatest height. The angle of projection is
Detailed Solution: Question 2
In the following question, a Statement of Assertion (A) is given followed by a corresponding Reason (R) just below it. Read the Statements carefully and mark the correct answer-
Assertion(A):Two bodies 1 and 2 exerting forces on each other.Force exerted on the body 1 by body 2 is F → 12 and that exerted on the body 2 (by body 1) is F → 21 . Then F → 12 = − F → 21 .
Reason(R):Force F → 12 is of action and force F → 21 is of reaction.
Detailed Solution: Question 3
The M.I. of a body about the given axis is 1.2 kg x m2 initially the body is at rest. In order to produce a rotational kinetic energy of 1500 joule an angular acceleration of 25 rad/sec2 must be applied about that axis for a duration of
Detailed Solution: Question 4
Detailed Solution: Question 5
Detailed Solution: Question 6
Detailed Solution: Question 7
The radionuclide 56Mn is being produced in a cyclotron at a constant rate P by bombarding a manganese target with deutrons. 56Mn has a half life of 2.5 hours and the target contains large number of only the stable manganese isotope 55Mn. The reaction that produces 56Mn is:
55Mn+d→56Mn+P
After being bombarded for a long time, the activity of 56Mn becomes constant equal to 13.86×10s−1. (Use ln2 = 0.693; Avogadro number = 6×1023 atomic weight of 56Mn = 56gm/mole)
Q. After a long time bombardment, number of 56Mn nuclei present in the target depends upon
(a) The number of 56Mn nuclei present at the start of the process
(b) Half life of the 56Mn
(c) The constant rate of production P
Detailed Solution: Question 8
A biconvex thin lens is prepared from glass of refractive index µ2 = 3/2. The two converging surface have equal radii of 20cm each. One of the surface is silvered from outside to make it reflecting. It is placed in a medium of refractive index µ1 = 5/3. This system will behave as concave mirror of focal length f, find value of |f| in cm.
Detailed Solution: Question 9
One of the circuits for the measurement of resistance by potentiometer is shown. The galvanometer is connected at point A and zero deflection is observed at length PJ = 30 cm. In second case the secondary cell is changed. Take ES = 10 V and r = 1Ω in 1st reading and ES = 5V and r = 2Ω in 2nd reading. In second case, the zero deflection is observed at length PJ = 10 cm. What is the resistance R (in ohm)?

Detailed Solution: Question 10
A uniform triangular plate of triangular area 1m2, base length 60 cm and thickness 10 mm (prism like shape) is lying vertically on a smooth ground as shown in figure. Find maximum value of cotθ for which it does not topple.

Detailed Solution: Question 11
Vinegar made from cane sugar, now-a-days synthetically contains
Detailed Solution: Question 12
The rate, at which a substance reacts at constant temperature, depends upon its
Detailed Solution: Question 13
Detailed Solution: Question 14
Which of the following ingredients is not used in sun burn creams?
Detailed Solution: Question 15
What is the molecular weight of the final product in the following reaction sequence

6.84 gm Al2(SO4)3 is needed to coagulate 2.5 L of As2S3 sol completely in 2.0 hrs. The coagulation value of Al2(SO4)3 in terms of millimoles per litre is :
[Atomic mass : Al = 27, S = 32].
Detailed Solution: Question 17
The sum of Number of unpaired electrons in
[COCl6]–3, [Cr(NH3)6]+3 , [Zn(NH3)4]+2 →
Detailed Solution: Question 18
Detailed Solution: Question 19
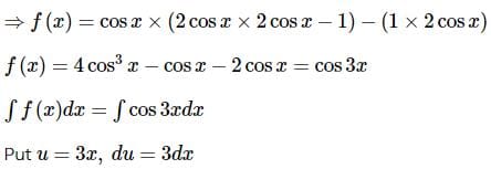
The area (in sq. units) of the region bounded by y ≤ x2 + 3x, 0 ≤ y ≤ 4 and 0 ≤ x ≤ 3 is
Detailed Solution: Question 20
There are 8 seats in row, where 4 persons are to be seated. Then the probability of making them sit so that each person has exactly one neighbour, is
Detailed Solution: Question 21
Detailed Solution: Question 22
Let A={1, 2, 3, 4, 5, 6} and B={1, 2, 3, 4} be two sets, then the number of functions that can be defined from A to B
such that the element 2 in B has exactly 3 pre-images in A, is equal to
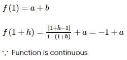
Detailed Solution: Question 23
Detailed Solution: Question 24
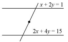
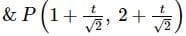
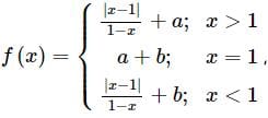
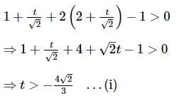
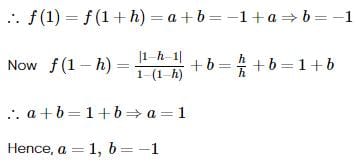
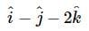
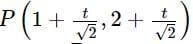
If
be any point on a line, then the range of the values of t for which the point P lies between the parallel lines x+2y=1 and 2x+4y=15 is
Detailed Solution: Question 25
Detailed Solution: Question 26
If (x1 – x2)2 + (y1 – y2)2 = a2 ;
(x2 – x3)2 + (y2 – y3)2 = b2 ;
(x3 – x1)2 + (y3 – y1)2 = c2 and
= (a + b + c)(b + c – a)(c + a – b)(a + b – c)
Then the value of k is :-
Detailed Solution: Question 27
In the following questions, four groups of words are given. In each group, one word is misspelt. Find the misspelt word.
Detailed Solution: Question 28
Rahul walks 8 km towards West, then turn to his left and walks 6 km. Rahul is how far (shortest distance) and in which direction from starting point?
Detailed Solution: Question 29
Consider the given statement to be true and decide which of the following conclusion logically follow from the statement?
Statement: Weight is also a Force.
Conclusions:
1. The unit of weight is Newton.
2. The unit of weight is kilograms.
Detailed Solution: Question 30
10 tests |