You can boost your JEE 2026 exam preparation with this MET Mock Test - 4 (available with detailed solutions).. This mock test has been designed with the analysis of important topics, recent trends of the exam, and previous year questions of the last 3-years. All the questions have been designed to mirror the official pattern of JEE 2026 exam, helping you build speed, accuracy as per the actual exam.
Mock Test Highlights:
Sign up on EduRev for free and get access to these mock tests, get your All India Rank, and identify your weak areas to improve your marks & rank in the actual exam.
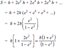
A particle falls from a height 'h' on a fixed horizontal plane and rebounds. If 'e' is the coefficient of restitution, the total distance travelled by the particle before it stops is
Detailed Solution: Question 1
A stone of mass m is attached to one end of a wire of cross-sectional area A and Young's Modulus Y. The stone is revolved in a horizontal circle at speed so that the wire makes an angle θ with the vertical, the strain produced in the wire is
Detailed Solution: Question 2
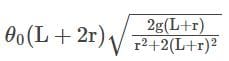
A disc of radius r is connected to a string of length L. The string is tied to a point on the circumference of the disc. This system is made to oscillate in vertical plane of the disc with a small angular amplitude θ0. Find the speed of the lowest point of the disc at the moment the string become vertical.

Detailed Solution: Question 3
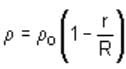
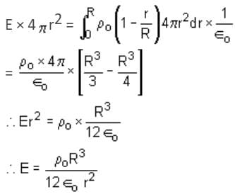
A solid ball of radius R has a charge density ρ given by
for 0 ≤ r ≤ R. The electric field outside the ball is:
Detailed Solution: Question 4
If
and
are two vectors satisfying the relation
. Then the value of
will be:
Detailed Solution: Question 5
Unpolarized light of intensity I is incident on a system of two polarizers, A followed by B. The intensity of emergent light is I/2. If a third polarizer C is placed between A and B, the intensity of emergent light is reduced to I/3. The angle between polarizers A and C is θ. Then,
Detailed Solution: Question 6
A small block of mass M moves on a frictionless surface of an inclined plane, as shown in figure. The angle of the incline suddenly changes from 60° to 30° at point B. The block is initially at least at A. Assume that collisions between the block and the incline are totally inelastic. (g = 10 m/s2)

If collision between the block and the incline is completely elastic, then the vertical (upward) component of the velocity of the block at point B, immediately after it strikes the second incline, is
Detailed Solution: Question 7
The focal length of a thin biconvex lens is 20 cm. When an object is moved from a distance of 25 cm in front of it to 50 cm, the magnification of its image changes from m25 to m50. The ratio is m50 / m25 is
(Round off upto 2 decimal places)
Detailed Solution: Question 8
The figure below shows a conducting rod of negligible resistance that can slide on smooth U-shaped rail made of wire of resistance 2 Ω/m. The position of the conducting rod at t = 0 is shown. A time-dependent magnetic field B = 4t T is switched on at t = 0.

The rod moves towards right at 10 cm/s. The current (in A) in the loop at t = 3 s due to induced emf is
(Round off up to 2 decimal places)
Detailed Solution: Question 9
The product acetal is produced by reacting alcohol in the presence of dry HCl with
The substances which act as emulsifiers in lipid metabolism are
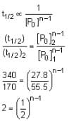
At 345 K, the half life for the decomposition of a sample of a gaseous compound initially at 55.5 kPa was 340 s. When the pressure was 27.8 kPa, the half life was found to be 170 s. The order of the reaction is ________. [integer answer]
Detailed Solution: Question 17
The electrode potential for the given half cell reaction at pH = 5 will be - ____.

(R = 8.314 J mol–1 K–1; Temp. = 298 K; Oxygen under std. atm. pressure of 1 bar)
(answer upto 2 decimal places)
Detailed Solution: Question 18
Detailed Solution: Question 19
If | z1 − 1 | < 1 , | z2 − 2 | < 2 , | z3 − 3 | < 3 then | z1 + z2 + z3 |
The order of the differential equation y(dy/dx)=x/(dy/dx)+(dy/dx)3 is
Detailed Solution: Question 22
The number of solutions of the equation log(x + 1) (2x2 + 7x + 5) + log(2x + 5) (x + 1)2 - 4 = 0, x > 0, is ________.
Detailed Solution: Question 24
Improve the sentence by choosing best alternative for capitalised part of the sentence.
Despite his old age, his movements were as spirited as A YOUNG MAN
Choose the alternative which best expresses the meaning of the idiom/phrase.
To be under a cloud
Improve the sentence by choosing best alternative for capitalised part of the sentence.
He has very good command ON English.
10 tests |