You can boost your JEE 2026 exam preparation with this MET Mock Test - 5 (available with detailed solutions).. This mock test has been designed with the analysis of important topics, recent trends of the exam, and previous year questions of the last 3-years. All the questions have been designed to mirror the official pattern of JEE 2026 exam, helping you build speed, accuracy as per the actual exam.
Mock Test Highlights:
Sign up on EduRev for free and get access to these mock tests, get your All India Rank, and identify your weak areas to improve your marks & rank in the actual exam.
The value of tension in a long thin metal wire has been changed from T1 to T2. The lengths of the metal wire at two different values of tension T1 and T2 are I1 and I2, respectively. The actual length of the metal wire is
Detailed Solution: Question 1
The pressure acting on a submarine is 3 × 105 Pa at a certain depth. If the depth is doubled, the percentage increase in the pressure acting on the submarine would be: (Assume that atmospheric pressure is 1 × 105 Pa, density of water is 103 kg m-3, g = 10 ms-2)
Detailed Solution: Question 2
The velocity-displacement graph describing the motion of a bicycle is shown in the figure.

The acceleration-displacement graph of the bicycle's motion is best described by:
Detailed Solution: Question 3
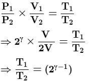
Two ideal Carnot engines operate in cascade (all heat given up by one engine is used by the other engine to produce work) between temperatures, T1 and T2. The temperature of the hot reservoir of the first engine is T1 and the temperature of the cold reservoir of the second engine is T2. T is temperature of the sink of first engine which is also the source for the second engine. How is T related to T1 and T2, if both the engines perform equal amount of work?
Detailed Solution: Question 4
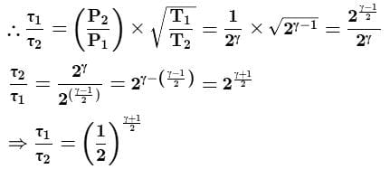
Under an adiabatic process, the volume of an ideal gas gets doubled. Consequently, the mean collision time between the gas molecule changes from τ1 to τ2. If
for this gas. Then a good estimate for τ1 / τ2 is given by:
Detailed Solution: Question 5
An electron (of mass m) and a photon have the same energy E in the range of a few eV. The ratio of de-Broglie wavelength associated with the electron and the wavelength of the photon is:
(c = speed of light in vacuum)
Detailed Solution: Question 6
A particle is projected with a velocity v, so that its range on a horizontal plane is twice the greatest height attained. If g is acceleration due to gravity, then its range is
Detailed Solution: Question 7
If the magnetic field in a plane electromagnetic wave is given by
= 3 × 10-8 sin (1.6 × 103x + 48 × 1010t)
T, then what will be the expression for electric field?
Detailed Solution: Question 8
Match List-I with List-II.

Choose the correct answer from the options given below:-
Detailed Solution: Question 9
In a spring gun having spring constant 100 N/m, a small ball 'B' of mass 100 g is put in its barrel (as shown in figure) by compressing the spring through 0.05 m. There should be a box placed at a distance 'd' on the ground so that the ball falls in it. If the ball leaves the gun horizontally at a height of 2 m above the ground, the value of d is _______________ m. (g = 10 m/s2)

Detailed Solution: Question 10
In Carius method, halogen containing organic compound is heated with fuming nitric acid in the presence of:
Detailed Solution: Question 11
A metal in a compound can be displaced by another metal in the uncombined state. Which metal is a better reducing agent in such a case?
Detailed Solution: Question 12
Given below are two statements.
Statement I: The presence of weaker π-bonds make alkenes less stable than alkanes.
Statement II: The strength of the double bond is greater than that of carbon-carbon single bond.
In the light of the above statements, choose the correct answer from the options given below.
Detailed Solution: Question 13
Detailed Solution: Question 14
Detailed Solution: Question 15
Detailed Solution: Question 16
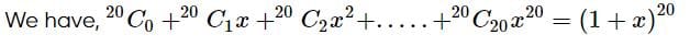
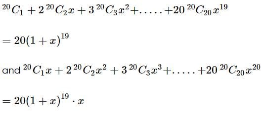
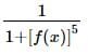
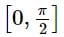
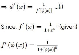
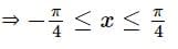
If f(x) = sinx + cosx and g(x) = x2 − 1, then g(f(x)) is invertible in the domain
Detailed Solution: Question 17
Detailed Solution: Question 18
Directions: The following question has four choices, out of which ONLY ONE is correct.
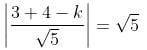
Find the approximate value of where [ ] denotes g.i.f.
Detailed Solution: Question 19
The Governing Council of an institute has fifteen members and they want to hold an annual meeting. In how many ways can the Council be seated around a round table, if the Chairman and the Vice-Chairman are never seated together?
Detailed Solution: Question 20
Detailed Solution: Question 21
In a sequence of number P, Q, R, S, T, U, V, ..., Z, the value of each subsequent number is 3 more than the product of previous and 3. If it is known that T is equal to 21, what is the value of P + Q?
Detailed Solution: Question 22
An object is moving in clockwise direction around the unit circle x2 + y2 = 1. As it passes through the point (1/2, √3/2), its y-coordinate is decreasing at the rate of 3 units per second. The rate at which the x-coordinate changes at this point is (in units per second)
Detailed Solution: Question 23
If the sum of the squares of the intercepts on the axes cut off by the tangent to the curve x1/3 + y1/3 = a1/3 (a > 0) at (a/8, a/8) is 2, then the value of 'a' is
Detailed Solution: Question 24
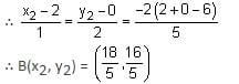
Let P1 be a parabola with vertex (3, 2) and focus (4, 4) and P2 be its mirror image with respect to the line x + 2y = 6. Then the directrix of P2 is x + 2y = _______. (In integers)
Detailed Solution: Question 25
Let S
and let Tn = {A ∈ S : An(n + 1) = I}. Then the number of elements in
is _______. (In integers)
Detailed Solution: Question 26
Out of the given alternatives, choose the one which can be substituted for the given capitalised word.
The old man CUT TO THE QUICK when his rich son refused to recognise him.
Improve the sentence by choosing best alternative for capitalised part of the sentence.
After a few minutes the unconscious boxer began to come OUT.
Fill in the blank with appropriate word.
Waking at three o'clock, I heard the........of thunder
10 tests |