You can boost your JEE 2026 exam preparation with this MET Mock Test - 8 (available with detailed solutions).. This mock test has been designed with the analysis of important topics, recent trends of the exam, and previous year questions of the last 3-years. All the questions have been designed to mirror the official pattern of JEE 2026 exam, helping you build speed, accuracy as per the actual exam.
Mock Test Highlights:
Sign up on EduRev for free and get access to these mock tests, get your All India Rank, and identify your weak areas to improve your marks & rank in the actual exam.
A circular steel wire 2.00 m long must stretch no more than 0.25 cm when a tensile force of 400 N is applied to each end of the wire. What minimum diameter is required for the wire? Young's modulus for steel: E = 20 × 1010 Pa .
Detailed Solution: Question 1
2 moles of an ideal gas with CP/CV = 5/3 are mixed with 3 moles of another ideal gas with CP/CV = 4/3. The value of CP/CV for the mixture is? (Answer upto 2 decimal places)
Detailed Solution: Question 2
Effective capacitance of parallel combination of two capacitors C1 and C2 is 10 μF. When these capacitors are individually connected to a voltage source of 1 V, the energy stored in the capacitor C2 is 4 times that of C1. If these capacitors are connected in series, their effective capacitance will be:
Detailed Solution: Question 3
A 60 HP electric motor lifts an elevator having a maximum total load capacity of 2,000 kg. If the frictional force on the elevator is 4,000 N, then the speed of the elevator at full load is close to
(1 HP = 746 W, g = 10 ms-2)
Detailed Solution: Question 4
A 60 HP electric motor lifts an elevator having a maximum total load capacity of 2,000 kg. If the frictional force on the elevator is 4,000 N, then the speed of the elevator at full load is close to
(1 HP = 746 W, g = 10 ms-2)
Detailed Solution: Question 5
Two liquids of densities
are filled up behind a square wall of side 10 m as shown in figure. Each liquid has a height of 5 m. The ratio of the forces due to these liquids exerted on upper part MN to that at the lower part NO is: (Assume that the liquids are not mixing)

Detailed Solution: Question 6
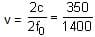
A stationary observer receives sound from two identical tuning forks, one of which approaches and the other one recedes with the same speed (much less than the speed of sound). The observer hears 2 beats/sec. The oscillation frequency of each tuning fork is v0 = 1400 Hz and the velocity of sound in air is 350 m/s. The speed of each tuning fork is close to:
Detailed Solution: Question 7
A solid metal cube of edge length 2 cm is moving in a positive y direction at a constant speed of 6 m/s. There is a uniform magnetic field of 0.1 T in the positive z-direction. The potential difference between the two faces of the cube perpendicular to the x-axis, is _____mV.
Detailed Solution: Question 8
A ball of mass 100 g is dropped from a height h = 10 cm on a platform fixed at the top of a vertical spring (as shown in figure). The ball stays on the platform and the platform is depressed by a distance h/2. The spring constant is ______ Nm-1. (Use g = 10 ms-2)(In Integers)

Detailed Solution: Question 9
After the switch is closed, the work done by the cell is constant over the time. C (in μF) is

Detailed Solution: Question 10
In an experiment to verify Newton's law of cooling, a graph is plotted between the temperature difference (ΔT) of the water and surroundings and time as shown in figure. The initial temperature of water is taken as 80°C. The value of t2 as mentioned in the graph will be ______. (In integers)

Detailed Solution: Question 11
Outermost electronic configuration of a group 13 element, E, is 4s2, 4p1. The electronic configuration of an element of p-block period-five placed diagonally to element E is:
Detailed Solution: Question 12
As per Hardy-Schulze formulation, the flocculation values of the following for ferric hydroxide sol are in the order:
Detailed Solution: Question 13
Which is the most suitable reagent for the following transformation?

Detailed Solution: Question 14
Detailed Solution: Question 15
Which one of the following is an example of artificial sweetener?
Detailed Solution: Question 16
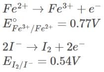
In a cell, the following reactions take place:

The standard electrode potential for the spontaneous reaction in the cell is X × 10-2 V at 298 K. The value of x is ______________. (Nearest Integer)
Detailed Solution: Question 17
The resistance of a conductivity cell containing 0.01 M KCl solution at 298 K is 1750 Ω. If the conductivity of 0.01 M KCl solution at 298 K is 0.152 × 10-3 S cm-1, then the cell constant of the conductivity cell is _______ × 10-3 cm-1. (In integers)
Detailed Solution: Question 18
(a) Baryte, (b) Galena, (c) Zinc blende and (d) Copper pyrites.
How many of these minerals are sulphide based? (In integers)
Detailed Solution: Question 19
If sum of the first 21 terms of the series
where x > 0, is 504, then x is equal to:
Detailed Solution: Question 20
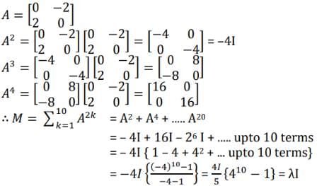
Let A =
. If M and N are two matrices given by M =
and N =
then MN2 is
Detailed Solution: Question 21
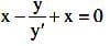
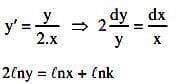
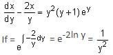
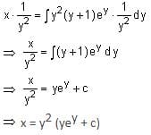
If x = x(y) is the solution of the differential equation ydy/dx = 2x + y3 (y + 1)ey, x(1) = 0; then x(e) is equal to:
Detailed Solution: Question 22
A particle is moving in the xy-plane along a curve C passing through the point (3, 3). The tangent to the curve C at point P meets the x-axis at Q. If the y-axis bisects the segment PQ, then C is a parabola with
Detailed Solution: Question 23
Let the line y = mx and the ellipse 2x2 + y2 = 1 intersect at a point P in the first quadrant. If the normal to this ellipse at P meets the co-ordinate axes at
and (0, β), then β is equal to
Detailed Solution: Question 24
Let a circle C in complex plane pass through the points z1 = 3 + 4i, z2 = 4 + 3i and z3 = 5i. If z(≠ z1) is a point on C such that the line through z and z1 is perpendicular to the line through z2 and z3, then arg(z) is equal to:
Detailed Solution: Question 25
If two tangents drawn from a point (α, β) lying on the ellipse 25x2 + 4y2 = 1 to the parabola y2 = 4x are such that the slope of one tangent is four times the other, then the value of (10α + 5)2 + (16β2 + 50)2 equals ___________. (in integer)
Detailed Solution: Question 26
In a certain code, if DOG is written as 4157, then what will MAT be written as?
Detailed Solution: Question 27
In the following question, select the related number from the given alternatives:
145 : 10 :: 243 : ?
Detailed Solution: Question 28
In the question below is given a passage followed by several inferences. You have to examine each inference separately in the context of the passage and decide upon its degree of truth or falsity.
Investors today have more investment options than were available just a couple of years ago. Choice in any decision-making is good in so far it gives variety, differentiation and bench-marking. It could also, however, at times lead to confusion and "noise" if the options are mostly alike and similar. To make sense of this choice problem, it is crucial for an investor to define intention - both returns and absorbable risk and then recognise the possible options. The investor also must select the combination and frequently monitor that objectives and investment outcomes remain aligned. Sounds simple, but can present the foremost confounding situation which multiplies with the quantum of wealth.
In the past, investor were generally guided by the fund managers.
Detailed Solution: Question 29
Directions: Four alternative summaries are given below the underneath text. Choose the option that best captures the essence of the text.
Great people are thought to be admirable and we emulate them because they did something more than what other people did. "He who does anything because it is the custom, makes no choice" according to John Stuart Mill. Actually, it is your originality which matters most. Even if you do the same thing as people do, you should have a different approach, a different way of carrying it out. It will give you great satisfaction. You should, however, have a well-defined purpose. It will keep you from wasting your time and energy.
Detailed Solution: Question 30
10 tests |