You can boost your JEE 2026 exam preparation with this MET Mock Test - 9 (available with detailed solutions).. This mock test has been designed with the analysis of important topics, recent trends of the exam, and previous year questions of the last 3-years. All the questions have been designed to mirror the official pattern of JEE 2026 exam, helping you build speed, accuracy as per the actual exam.
Mock Test Highlights:
Sign up on EduRev for free and get access to these mock tests, get your All India Rank, and identify your weak areas to improve your marks & rank in the actual exam.
A refrigerator is to maintain the eatables, kept inside it, at 9°C. The coefficient of performance of the refrigerator, if the room temperature is 36°C, is
Detailed Solution: Question 1
For network shown in figure, determine V0 and ID. (Where, ID = Current flowing in the diodes)

Detailed Solution: Question 2
In a large building, there are 15 bulbs of 40 W, 5 bulbs of 100 W, 5 fans of 80 W and 1 heater of 1kW. The voltage of the electric mains is 220 V. The minimum capacity of the main fuse of the building will be
Detailed Solution: Question 3
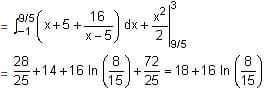
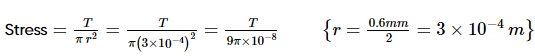
An iron wire AB of length 3 m at 0°C is stretched between the opposite walls of a brass casing at 0°C0°C as shown in the figure below. The diameter of the wire is m0.6 mm. What extra tension will be set up in the wire when the temperature of the system is raised to 40°C?
Given αbrass = 18 × 10−6 K−1, αiron= 12 × 10−6 K−1, Yiron = 21 × 1010 N m−2

Detailed Solution: Question 4
A butterfly is flying with a velocity of 4√2m/s in North-East direction. Wind is slowly blowing at 1 m/s from North to South. The resultant displacement of the butterfly in 3 seconds is
Detailed Solution: Question 5
For z = a2x3 y1/2,where 'a' is a constant. If percentage error in measurement of 'x' and 'y' are 4% and 12%, respectively, then the percentage error for 'z' will be _______ %.
Detailed Solution: Question 6
When light of frequency twice the threshold frequency is incident on the metal plate, the maximum velocity of emitted electron is v1. When the frequency of incident radiation is increased to five times the threshold value, the maximum velocity of emitted electron becomes v2. If v2 = xv1, the value of x will be ________. (In Integers)
Detailed Solution: Question 7
The highest industrial consumption of molecular hydrogen is to produce compounds of element:
Detailed Solution: Question 8
Detailed Solution: Question 9
Which of the following chemical reactions represents Hall-Heroult Process?
The correct order of electron gain enthalpies of Cl, F, Te and Po is
Detailed Solution: Question 11
Metals generally melt at very high temperature. Amongst the following, the metal with the highest melting point will be
Detailed Solution: Question 12
Detailed Solution: Question 13
Detailed Solution: Question 14
Manganese (VI) has ability to disproportionate in acidic solution. The difference in oxidation states of two ions it forms in acidic solution is _____. (In integers)
Detailed Solution: Question 15
Detailed Solution: Question 16
A rigid nitrogen tank stored inside a laboratory has a pressure of 30 atm at 06:00 am when the temperature is 27°C. At 03:00 pm, when the temperature is 45°C, the pressure in the tank will be _______ atm. [nearest integer]
Detailed Solution: Question 17
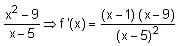
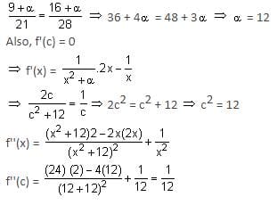
If c is a point at which Rolle's theorem holds for the function f(x) = loge
in the interval [3, 4], where α ∈ R, then f''(c) is equal to
Detailed Solution: Question 18
The mean and the standard deviation (s.d.) of 10 observations are 20 and 2, respectively. Each of these 10 observations is multiplied by p and then reduced by q, where p ≠ 0 and q ≠ 0. If the new mean and new s.d. become half of their original values, then q is equal to
Detailed Solution: Question 19
The number of choices for
such that (p Δ q) ⇒ ((p Δ ~q) v ((~p) Δ q)) is a tautology, is
Detailed Solution: Question 20
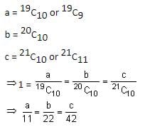
If a, b and c are the greatest values of 19Cp, 20Cq and 21Cr respectively, then
Detailed Solution: Question 21
Detailed Solution: Question 22
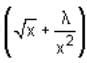
The positive value of λ for which the co-efficient of x2 in the expression x2
is 720, is______.
Detailed Solution: Question 23
For a natural number n, let an = 19n - 12n. Then, the value of
is
Detailed Solution: Question 24
The number of values of x in the interval
for which 14cosec2x - 2sin2x = 21 - 4cos2x holds, is _________
Detailed Solution: Question 25
Fill in the blank with appropriate word.
I.......missed the train this morning as I got up late
Improve the sentence by choosing best alternative for capitalised part of the sentence.
Let's buy a new sari with the annual bonus, CAN WE ?
Fill in the blank with appropriate word.
The twins are so alike that I cannot.......one from the other.
Out of the given alternatives, choose the one which can be substituted for the given capitalised word.
The old man CUT TO THE QUICK when his rich son refused to recognise him.
10 tests |