You can boost your JEE 2026 exam preparation with this MET Mock Test - 10 (available with detailed solutions).. This mock test has been designed with the analysis of important topics, recent trends of the exam, and previous year questions of the last 3-years. All the questions have been designed to mirror the official pattern of JEE 2026 exam, helping you build speed, accuracy as per the actual exam.
Mock Test Highlights:
Sign up on EduRev for free and get access to these mock tests, get your All India Rank, and identify your weak areas to improve your marks & rank in the actual exam.
An observer is moving with half the speed of light towards a stationary microwave source emitting waves at frequency 10 GHz. What is the frequency of the microwave measured by the observer?
(Speed of light = 3 × 108 ms–1)
Detailed Solution: Question 1
Two metallic plates form a parallel plate capacitor. The distance between the plates is 'd'. A metal sheet of thickness d/2 and of area equal to the area of each plate is introduced between the plates. What will be the ratio of the new capacitance to the original capacitance of the capacitor?
Detailed Solution: Question 2
The equations of two waves are given by:
y1 = 5 sin 2π(x - vt) cm
y2 = 3 sin 2π(x - vt + 1.5) cm
These waves simultaneously pass through a string. The amplitude of the resulting wave is:
Detailed Solution: Question 3
A uniform chain of 6 m length is placed on a table such that a part of its length is hanging over the edge of the table. The system is at rest. The coefficient of static friction between the chain and the surface of the table is 0.5, the maximum length of the chain hanging from the table is _________ m.
Detailed Solution: Question 4
The total current supplied to the circuit as shown in figure by the 5 V battery is __________ A.

Detailed Solution: Question 5
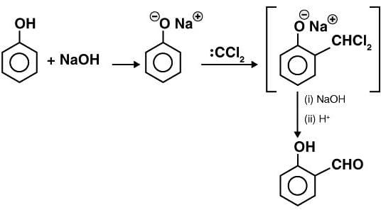
A polysaccharide 'X' on boiling with dil. H2SO4 at 393 K under 2-3 atm pressure yields 'Y'. 'Y' on treatment with bromine water gives gluconic acid. 'X' contains β-glycosidic linkages only. Compound 'X' is
Detailed Solution: Question 6
The metal ion (in gaseous state) with lowest spin-only magnetic moment value is
Detailed Solution: Question 7
Detailed Solution: Question 8
In the following structures, which one is having staggered conformation with maximum dihedral angle?
Detailed Solution: Question 9
Atoms of element X form hcp lattice and those of element Y occupy 2/3 of its tetrahedral voids. The percentage of element X in the lattice is _______%. (Nearest integer)
Detailed Solution: Question 10
The magnitude of work done by a gas that undergoes reversible expansion along the path ABC shown in the figure is ______. (Nearest integer)

Detailed Solution: Question 11
The sum of all the real roots of the equation (e2x - 4)(6e2x - 5ex + 1) = 0 is
Detailed Solution: Question 12
Let A be a 3 × 3 real matrix such that
. If X = (x1, x2, x3)T and I is an identity matrix of order 3, then the system (A - 2I)X =
has
Detailed Solution: Question 13
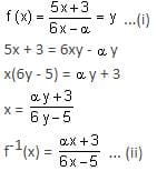
Let
R be defined by f(x) =
Then the value of α for which (fof)(x) = x, for all
is:
Detailed Solution: Question 14
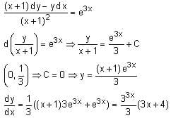
Let y = y(x) be the solution of the differential equation (x + 1)y' - y = e3x(x + 1)2, with y(0) = 1/3. Then, the point x = -4/3 for the curve y = y(x) is:
Detailed Solution: Question 15
Detailed Solution: Question 16
Let f(x) = (sin(tan-1x) + sin(cot-1x))2 - 1, |x| > 1. If
(sin-1(f(x)) and y(√3) = π/6, then y(-√3) is equal to
Detailed Solution: Question 17
Let x * y = x2 + y3 and (x * 1) * 1 = x * (1 * 1), then value of 2sin-1 
Detailed Solution: Question 18
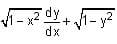
Let y = y(x) be a solution of the differential equation
= 0, |x| < 1. If y(1/2) = √3/2, then
is
Detailed Solution: Question 19
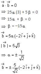
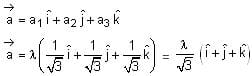
Let
ai > 0, i = 1, 2, 3 be a vector which makes equal angles with the coordinates axes OX, OY and OZ. Also, let the projection of
on the vector
be 7. Let
be a vector obtained by rotating
with 90°. If
and x-axis are coplanar, then projection of a vector
on
is equal to
Detailed Solution: Question 20
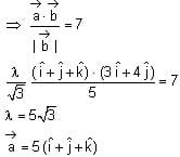
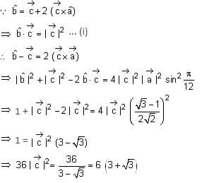
Let
be unit vectors. If
be a vector such that the angle between
and
is π/12, and
, then |6
|2 is equal to:
Detailed Solution: Question 21

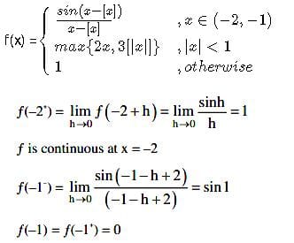
Where [t] denotes greatest integer ≤ t. If m is the number of points where f is not continuous and n is the number of points where f is not differentiable, then the ordered pair (m, n) is
Detailed Solution: Question 22
Let P be a variable point on the parabola y = 4x2 + 1. Then the locus of the mid-point of the point P and the foot of the perpendicular drawn from the point P to the line y = x is:
Detailed Solution: Question 23
Let a circle C touch the lines L1 : 4x - 3y + K1 = 0 and L2 : 4x - 3y + K2 = 0, K1, K2 ∈ R. If a line passing through the centre of the circle C intersects L1 at (-1, 2) and L2 at (3, -6), then the equation of the circle C is
Detailed Solution: Question 24
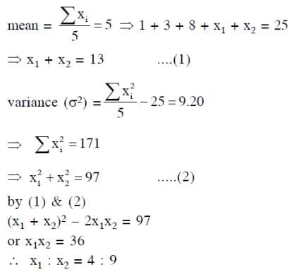
The mean of five observations is 5 and their variance is 9.20. If three of the given five observations are 1, 3 and 8, and the ratio of other two observations is (k : 2k+1). Find the value of k.
Detailed Solution: Question 25
Let A be a 3 x 3 matrix having entries from the set {-1, 0, 1}. The number of all such matrices A having sum of all the entries equal to 5, is ______
Detailed Solution: Question 26
If Sentence (C), "Ever since the price of bitcoins skyrocketed from a little under $1,000 (around ₹63,400 now) in 2016 to touch nearly $20,000 last year, people have been posing a Hamlet kind of question: to buy or not to buy?" is the first sentence, what is the order of other sentences after rearrangement?
A. Some have explicitly warned investors to exercise caution, while those like the Indian government have begun imposing a tax on the gains from the sale of bitcoins.
B. Their dilemma is understandable.
C. Ever since the price of bitcoins skyrocketed from a little under $1,000 (around ₹63,400 now) in 2016 to touch nearly $20,000 last year, people have been posing a Hamlet kind of question: to buy or not to buy?
D. On the other hand, there is the nagging feeling that one may end up investing in a virtual currency whose price is extremely volatile and whose true value cannot be assessed.
E. Adding to the confusion, most governments remain non-committal on the legality of bitcoins since it is hotly regulated by central banks.
F. On the one hand, there is the fear of losing out on an opportunity to make money hand over fist by investing or trading in bitcoins since their price rose by around 20 fold since the start of 2017.
Detailed Solution: Question 27
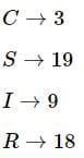
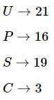
If U.P.S.C. stands for 21, 16, 19, 3, then C.S.I.R stands for?
Detailed Solution: Question 28
Five houses lettered A, B, C, D and E are built in a row next to each other. The houses are lined up in the order A, B, C, D and E. Each of the five houses has a coloured chimney. The roof and chimney of each house must be painted as follows :
(i) The roof must be painted green, red or yellow.
(ii) The chimney must be painted white, black or red.
(iii) No house may have the same colour chimney as the colour of roof.
(iv) No house may use any of the same colours that the every next house uses.
(v) House E has a green roof.
(vi) House B has a red roof and a black chimney.
Which of the following is not true?
(A) At least two houses have black chimney.
(B) At least two houses have red roofs.
(C) At least two houses have white chimneys.
(D) At least two houses have green roofs.
Detailed Solution: Question 29
Detailed Solution: Question 30
10 tests |