Suppose that the angular velocity of rotation of Earth is increased. Then, as a consequence,
Directions : In the following questions, A statement of Assertion (A) is followed by a statement of Reason (R). Mark the correct choice as.
Assertion (A): If the objective lens and the eyepiece lens of a microscope are interchanged, it works as a telescope.
Reason (R): Objective lens of telescope require large focal length and eyepiece lens require small focal length.
An object of mass 5 kg is thrown vertically upwards from the ground. The air resistance produces a constant retarding force of 10 N throughout the motion. The ratio of time of ascent to the time of descent will be equal to [Use g = 10 ms-2]
A body of mass 2 kg makes an elastic collision with a second body at rest and continues to move in the original direction but with one fourth of its original speed. What is the mass of the second body?
A book with many printing errors contains four different formulae for the displacement of a particle undergoing a certain periodic motion x. Which one is the wrong formula on dimensional grounds (A = amplitude, ω = angular velocity, T = time period of motion)?
The distance between Sun and Earth is R. The duration of year if the distance between Sun and Earth becomes 3R will be:
One mole of an ideal monoatomic gas is compressed isothermally in a rigid vessel to double its pressure at room temperature, 27°C. The work done on the gas will be:
The magnetic field in a region is given by
A square loop of side 'd' is placed with its edges along the x and y axes. The loop is moved with a constant velocity
The emf induced in the loop is:

Which of the following favours the backward reaction in a chemical equilibrium?
A heat engine absorbs heat Q1 at temperature T1 and heat Q2 at temperature T2. Work done by the engine is (Q1 + Q2). This data
One mole of complex compound Co(NH₃)₅ Cl₃ gives 3 mol of ions on dissolution in water. One mol of same complex reacts with two mol of AgNO₃ solution to form two mol of AgCl(s). The struture of complex is
In the following reaction, which choice has value twice that of the equivalent mass of the oxidising agent SO₂ + H₂O → 3S + 2H₂O
The chemical equilibrium of a reversible reaction is not influenced by
A compound with molecular formula C₇H₁₆ shows optical isomerism , the compound will be
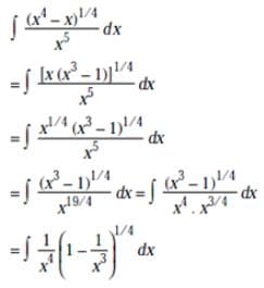
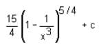
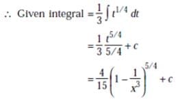
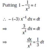
The value of
, where [x] denotes the greatest integer function is
Let S={1,2,3,….9}. For k=1,2,…5, let Nk be the number of subsets of S, each containing five elements out of which exactly k are odd. Then N1 + N2 + N3 + N4 + N5 =