You can boost your Electronics and Communication Engineering (ECE) 2026 exam preparation with this MPPGCL JE Electronics Mock Test - 3 (available with detailed solutions).. This mock test has been designed with the analysis of important topics, recent trends of the exam, and previous year questions of the last 3-years. All the questions have been designed to mirror the official pattern of Electronics and Communication Engineering (ECE) 2026 exam, helping you build speed, accuracy as per the actual exam.
Mock Test Highlights:
Sign up on EduRev for free and get access to these mock tests, get your All India Rank, and identify your weak areas to improve your marks & rank in the actual exam.
Detailed Solution: Question 1
Which of the following instrument is used in an airplane to measure its height above the ground?
Detailed Solution: Question 2
Detailed Solution: Question 3
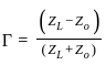
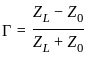
A loss-less transmission line having characteristic impedance of 100 ohm is connected to a load of 200 ohm. The voltage reflection coefficient is:
Detailed Solution: Question 4
In Ethernet Frame Format number of bits needed in Frame check sequence Field?
Detailed Solution: Question 5
Detailed Solution: Question 6
Two incandescent light bulbs of 40 W and 60 W rating are connected in series across the mains, then
Detailed Solution: Question 7
Detailed Solution: Question 8
Detailed Solution: Question 9
The contents to the register pair DE after the execution of the following Intel 8085 instructions, is
PUSH H; PUSH D; POP H; POP D
Detailed Solution: Question 10
Detailed Solution: Question 11
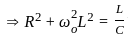
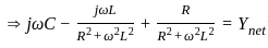
Consider the RLC circuit shown below. At a certain frequency f0 the circuit behaves like a purely resistive circuit. The equivalent resistance of the parallel combination at that particular frequency f0 is.

Detailed Solution: Question 12
Detailed Solution: Question 13
Calculate the value of Norton's current and Norton's equivalent resistance for the given circuit across the terminal AB.

Detailed Solution: Question 14
Which of the following methods suitable for the stability analysis of sampled data control systems?
Detailed Solution: Question 15
How many 3 × 8 decoders are required to Construct a 4 × 16 decoder?
Detailed Solution: Question 16
Detailed Solution: Question 17
In one of the pairs of protocols given below, both the protocols can use multiple TCP connections between the same client and the server. Which one is that?
Detailed Solution: Question 18
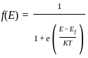
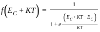
In a semiconductor device, if the Fermi level (EF) is positioned at the conduction band (Ec). Determine the approximate probability of finding electrons in states at (Ec + kT)
(where k is Boltzmann constant and T is device temperature in Kelvin)
Detailed Solution: Question 19
Detailed Solution: Question 20
The deflecting torque of a moving iron instrument is
Detailed Solution: Question 21
If 1 is added to the denominator of a fraction it becomes 1/2. If 1 is added to the numerator it becomes 1. The product of numerator and denominator of the fraction is
Detailed Solution: Question 22
Directions: Study the following question carefully and choose the right answer.
In a certain code ‘TERMINAL’ is written as ‘SDQLJOBM’. How is CREDIBLE written in that code?
Detailed Solution: Question 23
Direction: If a Paper (Transparent Sheet) is folded in a manner and a design or pattern is drawn. When unfolded this paper appears as given below in the answer figure. Choose the correct answer figure given below.
A round punched paper is given as shown in the question figure. Figure out from the four alternatives as to how it will appear when folded.
Question Figure

Answer figure

Detailed Solution: Question 24
Directions: Read the given information carefully and answer the questions given beside:
A certain number of people are sitting in a row watching F1 racing. All of them are facing towards the south direction. The distance between any two adjacent persons is the same.
The number of people sitting between A and C is the same as the number of people sitting between X and C. At most 25 people are sitting in a row. X is an immediate neighbour of D, who sits on one of the ends. Two people are sitting between A and Z. The number of people sitting between D and C is the same as the number of people sitting between C and Y. C sits fourth to the right of Z. The number of people sitting to the right of A is the same as the number of people sitting to the left of Z.
Q. Who sits two places away from Y?
Detailed Solution: Question 25
Which of the following does not include election procedure?
Detailed Solution: Question 26
Seven persons B, C, D, E, F, G and H are born on seven different months of a year starting from January, but not necessarily in the same order. Who was born in July?
Statement I: C was born just before D. Only two persons are born after H. Three persons are born between H and B. F was born two months after B.
Statement II: E was born in April. D was born after C. Two persons are born between E and B. B was not born in July. C was born one of the months after May.
Detailed Solution: Question 27
The average monthly salary of the workers in a workshop is Rs. 8,500. If the average monthly salary of 7 technicians is Rs. 10,000 and the average monthly salary of the rest is Rs. 7,800, then the total number of workers in the workshop is
Detailed Solution: Question 28
'Dogs' is related to 'Bark' in the same way as 'Goats' is related to:
Detailed Solution: Question 29
The product of two numbers is 1280 and their H.C.F. is 8. The L.C.M. of the number will be ?
Detailed Solution: Question 30