You can boost your Electronics and Communication Engineering (ECE) 2026 exam preparation with this MPPGCL JE Electronics Mock Test - 5 (available with detailed solutions).. This mock test has been designed with the analysis of important topics, recent trends of the exam, and previous year questions of the last 3-years. All the questions have been designed to mirror the official pattern of Electronics and Communication Engineering (ECE) 2026 exam, helping you build speed, accuracy as per the actual exam.
Mock Test Highlights:
Sign up on EduRev for free and get access to these mock tests, get your All India Rank, and identify your weak areas to improve your marks & rank in the actual exam.
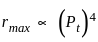
For n-channel depletion JFET, the highest trans-conductance gain for a small signal is at
Detailed Solution: Question 1
Detailed Solution: Question 2
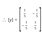
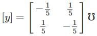
If the generator matrix is
then the parity check matrix is:
Detailed Solution: Question 3
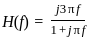
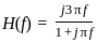
The y-parameters for the network shown in the figure can be represented by

Detailed Solution: Question 4
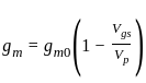
In VCO IC 566, the value of charging & discharging is dependent on the voltage applied at ________.
Detailed Solution: Question 5
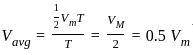
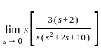
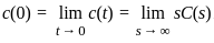
Find the final value of the system corresponding to 
Detailed Solution: Question 6
Detailed Solution: Question 7
What will be the average value of the sawtooth waveform shown below?

Detailed Solution: Question 8
By narrowing the space charge region, the amount of reverse voltage needed to cause zener breakdown:
Detailed Solution: Question 9
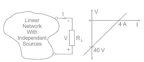
RL given in the below figure is variable resistance, find the maximum power transferred to that resistance. V vs I characteristic is also sown below.

Detailed Solution: Question 10
Consider the following statements regarding FIR (finite impulse response) digital filters:
1. They have finite memory and therefore, any transient start-up is of limited duration.
2. They are always BIBO stable.
3. The transfer function of an FIR digital filter is a rational function in z-1.
Which of the above statements is/are correct?
Detailed Solution: Question 11
Detailed Solution: Question 12
The output y(n) of a system T(.) to the input x(n) is given as y(n) = T(x(n)) = x(a0n). Where a0 is a positive integer not equal to 1. This system is
Detailed Solution: Question 13
A 4-bit R-2R digital to analog converter (DAC) has a reference of 5 Volts. What is the analog output for input code 1010?
Detailed Solution: Question 14
Detailed Solution: Question 15
Which type of waveguide are shown in the figure.

Detailed Solution: Question 16
A satellite link uses different frequencies for receiving and transmitting in order to
Detailed Solution: Question 17
For the base bias circuit, RB = 470 kΩ, RC = 2.2kΩ, and VCC = 18V and the transistor has an hFE of 100. Find VCE.
Detailed Solution: Question 18
Which of the following is not a standard Baud Rate?
Detailed Solution: Question 19
Read the following statement:
In a linear network having a number of voltage or current sources and resistances, the current through any branch of the network is the algebraic sum of the currents due to each of the sources when acting independently.
Which theorem does this statement belong to?
Detailed Solution: Question 20
A signal m (t) = 5 cos 2π100t frequency modulates a carrier. The resulting FM signal is 10cos {(2π105t) + 15sin(2π100t)}. The appropriate BW of FM signal would be:
Detailed Solution: Question 21
A student multiplied a number by 4/5 instead of 5/4. What is the percentage error in the calculation?
Detailed Solution: Question 22
Select the odd letter from the given alternatives
Detailed Solution: Question 23
What is the average of all the composite numbers between 11 and 30?
Detailed Solution: Question 24
Detailed Solution: Question 25
What is the government formed by an alliance of two or more political parties called?
Detailed Solution: Question 26
Detailed Solution: Question 27
On which number of term does 78 falls in the A.P. 3, 8, 13, 18, … is 78?
Detailed Solution: Question 28
A tap can fill a tank of 400 liters in 1 hour. In how many hours can the pipe fill a tank of 1800 liters?
Detailed Solution: Question 29
In class 3/7 of the students are girls and rest are boys. If 2/9 of the girls and 1/11 of the boys are absent. What part of the total number of students are present?
Detailed Solution: Question 30