You can boost your Electronics and Communication Engineering (ECE) 2026 exam preparation with this MPPGCL JE Electronics Mock Test - 7 (available with detailed solutions).. This mock test has been designed with the analysis of important topics, recent trends of the exam, and previous year questions of the last 3-years. All the questions have been designed to mirror the official pattern of Electronics and Communication Engineering (ECE) 2026 exam, helping you build speed, accuracy as per the actual exam.
Mock Test Highlights:
Sign up on EduRev for free and get access to these mock tests, get your All India Rank, and identify your weak areas to improve your marks & rank in the actual exam.
Multiplexing scheme which uses carrier phase shifting and synchronous detection to permit two DSB signals to occupy the same frequency band is called
Detailed Solution: Question 1
Detailed Solution: Question 2
The modulation used in video transmission of commercial TV transmission
Detailed Solution: Question 3
For the given circuit, which output gives logic function A.B.C.D.?

Detailed Solution: Question 4
Detailed Solution: Question 5
A telephone line of bandwidth of 4 kHz. What data rate is supported for full roll-off?
Detailed Solution: Question 6
In FSK, the carrier frequency is switched between ______ extremes.
Detailed Solution: Question 7
Which of the following method is used to improve the switching speed of a PN-diode?
(i) Length of p-region is shortened
(ii) Length of n-region is shortened
(iii) Bismuth dopants are used
(iv) Gold dopants are used
Detailed Solution: Question 8
Detailed Solution: Question 9
Detailed Solution: Question 10
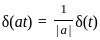
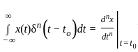
Consider the discrete time signal x(n) = {1, 1, 1, 1, 0.5, 0.5} ⋅ y(n) = conv (δ(n – 1), x(n)) is:
Detailed Solution: Question 11
The collector to emitter cut off current (ICEO) of a transistor is related to collector to base cut off current (ICBO) as:
(α is CB current gain of the transistor)
Detailed Solution: Question 12
The Off-push button is connected as ___________ of the motor starter that controls the wiring.
Detailed Solution: Question 13
What type of operation is generally used in GMAW?
Detailed Solution: Question 14
Select correct answer -
A 400W carrier is modulated to a depth of 75 percent. Calculate the total power in the modulated wave.
Detailed Solution: Question 15
Detailed Solution: Question 16
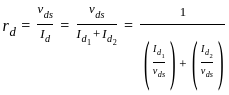
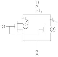
Two indentical FETs each characterized by the parameters gm and rd are connected in parallel. The composite FET is then characterized by the parameters.
Detailed Solution: Question 17
Which of the following is used to prevent, detect, and remove malicious programs?
Detailed Solution: Question 18
A stack-based CPU organization uses_______ address instructions
1) 2
2) 0
3) 1
4) 3
Detailed Solution: Question 19
Detailed Solution: Question 20
Which of the following pairs of friends are good, both in English and Science?
Detailed Solution: Question 21
Directions: In questions given below out of four alternatives, choose the one which can be substituted for the given word/sentence.
Q. State in which the few govern the many.
Detailed Solution: Question 22
“Michelle, I’m very upset about what you said,” Rosie stated firmly. “You didn’t come right out and accuse me of eating all your candy. On the other hand, your remarks about my love of chocolate were made for a reason. You are insinuating that I’m the candy thief!” What does “insinuate” mean?
Detailed Solution: Question 23
Find out the Synonym of the following word:
FAKE
Detailed Solution: Question 24
Directions: A sentence is given here with a blank and you need to fill the blank choosing the word/words given below. If all the words given can fill the blank appropriately, choose ‘All are correct’ as your answer.
For the first time in its _______________, Oxford Dictionaries allowed the public to vote for ‘the Word of the Year for 2022’.
I. History
II. Course
III. Age
Detailed Solution: Question 25
Directions: Each of the following consists of a question and two statements numbered I and II given below it. You have to decide whether the data provided in the statements are sufficient to answer the question.
Which statement is required to derive the conclusion - 'No Player is a Champion'?
Statement I: All Stars are Goalkeepers.
Statement II: No Champion is a Player.
Detailed Solution: Question 26
About how many ministers are there in the Cabinet?
Detailed Solution: Question 27
In this questions, a number series is given with one term missing. Choose the correct alternative that will continue the same pattern and fill in the black spaces.
Q. 1, 4, 9, 16, 25, (____)
Detailed Solution: Question 28
Direction: In the following questions, choose the word opposite in meaning to the given word as your answer.
Vanity
Detailed Solution: Question 29
Directions: In each of the following questions, a sentence has been given in Active (or Passive) Voice. Out of the four alternatives suggested, select the one that best expresses the same sentence in Passive/ Active Voice.
Darjeeling grows tea.
Detailed Solution: Question 30