You can boost your Electronics and Communication Engineering (ECE) 2026 exam preparation with this MPPGCL JE Electronics Mock Test - 10 (available with detailed solutions).. This mock test has been designed with the analysis of important topics, recent trends of the exam, and previous year questions of the last 3-years. All the questions have been designed to mirror the official pattern of Electronics and Communication Engineering (ECE) 2026 exam, helping you build speed, accuracy as per the actual exam.
Mock Test Highlights:
Sign up on EduRev for free and get access to these mock tests, get your All India Rank, and identify your weak areas to improve your marks & rank in the actual exam.
Detailed Solution: Question 1
Which information is displayed in the fire control room?
Detailed Solution: Question 2
Programmable Logical Controllers are the devices that were invented basically to replace
Detailed Solution: Question 3
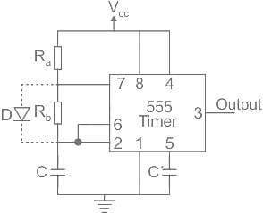
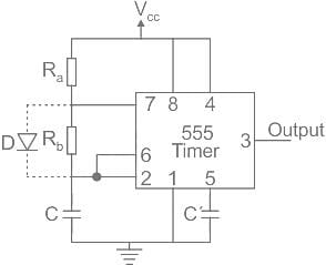
The following is the circuit diagram of a/an _______ using IC555 timer.

Detailed Solution: Question 4
Detailed Solution: Question 5
For an isotropic radiator, electric field intensity at a distance R is measured as 3 V/m. What will be the electric field intensity at a distance 3 R?
Detailed Solution: Question 6
Detailed Solution: Question 7
Moving iron instruments are scaled at ______.
Detailed Solution: Question 8
Detailed Solution: Question 9
A voltmeter has resistance of 2000 Ω, when it is connected across a DC circuit its power consumption is 2 mW. Suppose this voltmeter is replaced by a voltmeter of 4000 Ω resistance, the power consumption will be:
Detailed Solution: Question 10
Which of the following parameters are affected due to short-channel MOSFET geometry
I. Mobility of carriers
II. Threshold voltage
III. Drain current
Detailed Solution: Question 11
Detailed Solution: Question 12
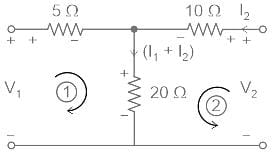
Find Z parameter Z11, Z22 in given network -

Detailed Solution: Question 13
Detailed Solution: Question 14
A single Decimal-to-BCD encoder has _______ outputs.
Detailed Solution: Question 15
What type of computer component is a printer:
Detailed Solution: Question 16
Assertion A): In satellite communication, uplink and downlink frequencies are kept different.
Reason R): The uplink frequency is chosen to be of lower value than the down link frequency.
Choose the correct answer:
Detailed Solution: Question 17
Detailed Solution: Question 18
________ is mostly preferred for telegraphy.
Detailed Solution: Question 19
Detailed Solution: Question 20
Detailed Solution: Question 21
Detailed Solution: Question 22
Detailed Solution: Question 23
Detailed Solution: Question 24
?Detailed Solution: Question 25
If a modulating signal with frequency fm amplitude modulates a carrier of frequency fc (where fc ≫ fm), the frequencies present at the output of AM is/are (with carrier).
Detailed Solution: Question 26
Detailed Solution: Question 27
If the desired transmission bit rate for a coherent binary FSK system is 4 Kbits / sec, the best possible interval between the carriers is
Detailed Solution: Question 28
Direction: In a family, there are six members P, Q, R, S, T, U, and V are a married couple. P being the male member. S is the only son of R, who is the brother of P. T is the sister of S. Q is the daughter-in-law of U, whose husband has died.
Q. Who is R to Q?
Detailed Solution: Question 29
Find out the Synonym of the following word:
MASSIVE
Detailed Solution: Question 30