Tamil Nadu Police Exam  >  Tamil Nadu Police Test  >   SI Mock Test Series 2026  >  Tamil Nadu Police SI Paper 2 Mock Test - 5 - Tamil Nadu Police MCQ

Tamil Nadu Police SI Paper 2 Mock Test - 5 Free Online Test 2026


Full Mock Test & Solutions: Tamil Nadu Police SI Paper 2 Mock Test - 5 (140 Questions)

You can boost your Tamil Nadu Police 2026 exam preparation with this Tamil Nadu Police SI Paper 2 Mock Test - 5 (available with detailed solutions).. This mock test has been designed with the analysis of important topics, recent trends of the exam, and previous year questions of the last 3-years. All the questions have been designed to mirror the official pattern of Tamil Nadu Police 2026 exam, helping you build speed, accuracy as per the actual exam.

Mock Test Highlights:

  • - Format: Multiple Choice Questions (MCQ)
  • - Duration: 150 minutes
  • - Total Questions: 140
  • - Analysis: Detailed Solutions & Performance Insights
  • - Sections covered: General Knowledge, Psychology

Sign up on EduRev for free and get access to these mock tests, get your All India Rank, and identify your weak areas to improve your marks & rank in the actual exam.

Tamil Nadu Police SI Paper 2 Mock Test - 5 - Question 1

The unit of momentum is:

Detailed Solution: Question 1

The linear momentum of a body is the quantity of motion contained in the body. It is measured in terms of the force required to stop the body in unit time. It is also measured as the product of the mass of the body and its velocity i.e.,

Momentum mass velocity

As we know that, the SI unit of mass is and the SI unit of velocity is . Therefore the unit of momentum is

Therefore, its unit is kg.ms-1.

Tamil Nadu Police SI Paper 2 Mock Test - 5 - Question 2

During mRNA synthesis, the unwanted DNA regions are removed and amino acid coding regions are joined by the process of:

Detailed Solution: Question 2

During mRNA synthesis, the unwanted DNA regions are removed and amino acid coding regions are joined by the process of splicing.

Capping: The process of addition of an unusual nucleotide, 7 methyl guanosine to the 5' end of the hnRNA is called capping. It forms a cap-like structure on the 5' end of hnRNA.

Tailing: The process of addition of 200-300 nucleotides of adenylic acid to the 3' end of hnRNA is called tailing. This tail is called poly-A tail.

Splicing: After capping & tailing now the hnRNA undergoes a process where the non-coding regions, introns are removed and the coding region exons are joined together to form the functional mRNA by the process called splicing.

Methylation: In biological systems, methylation is catalyzed by enzymes; such methylation can be involved in modification of heavy metals, regulation of gene expression, regulation of protein function, and RNA processing.

Tamil Nadu Police SI Paper 2 Mock Test - 5 - Question 3

The Jawar mines of Udaipur are famous for__________.

Detailed Solution: Question 3

The Jawar mines of Udaipur are famous for Zinc.

Jawar is a township created by mining company Hindustan Zinc Limited, for the extraction of zinc and lead. An 80MW power plant provides electricity for mining zinc and lead from three major mines.

Tamil Nadu Police SI Paper 2 Mock Test - 5 - Question 4

Lack of Vitamin B1 causes:

Detailed Solution: Question 4

Lack of vitamin B1 causes beriberi. There are two main types in adults: wet beriberi, and dry beriberi. Wet beriberi affects the cardiovascular system resulting in a fast heart rate, shortness of breath, and leg swelling. Dry beriberi affects the nervous system resulting in numbness of the hands and feet, confusion, trouble moving the legs, and pain.

Tamil Nadu Police SI Paper 2 Mock Test - 5 - Question 5

Where was the first Tamil Sangam held __?

Detailed Solution: Question 5

The first tamil Sangam was held to the south of Madurai under the patronage of Makeerthy, the Pandyan king. Agastya was the president of first sangam.

Unfortunately, no literary work of this Sangam was available. The second tamil Sangam was held in Kapatpuram, second capital of the Pandyas. The third Tamil Sangam was held in Madurai. Its chairman was a tamil poet Nakkirar.

Tamil Nadu Police SI Paper 2 Mock Test - 5 - Question 6

Which of the following physical quantity is dimensionless?

Detailed Solution: Question 6

Angle: It is defined as the ratio of the length of arc to the radius, i.e.,

Angle

An angle is a dimensionless quantity.

Strain: It is defined as the ratio of change in length to the original length. i.e.,

Strain

Strain

Strain is a dimensionless quantity.

Specific gravity: It is the ratio of the density of a substance to the density of a given reference material i.e.,

Specific gravity

Specific gravity

Specific gravity is a dimensionless quantity.

Tamil Nadu Police SI Paper 2 Mock Test - 5 - Question 7

Which of the following was not one of the ruling dynasties of South India in the Sangam Age?

Detailed Solution: Question 7

The Tamil country was ruled by three dynasties namely the Chera, Chola, and Pandyas during the Sangam Age. The period of the Sangam age is roughly between the third century B.C. to the third century A.D.

Pallavas of Kanchipuram:

The Pallava dynasty was founded by Simhavishnu. The Pallavas were the contemporaries of Chalukyas. Pallavas patronized Sanskrit, although they ruled in the extreme south.

Narasimhavarman-II was the great Pallavas king. He was known for temple constructions.

Tamil Nadu Police SI Paper 2 Mock Test - 5 - Question 8

In jaundice, there is an unconjugated hyperbilirubinemia which is most likely due to :

Detailed Solution: Question 8

In jaundice, there is an unconjugated hyperbilirubinemia which is most likely due to the increased breakdown of red cells. High unconjugated bilirubin may be due to excess red blood cell breakdown, large bruises, genetic conditions such as Gilbert's syndrome, not eating for a prolonged period of time, newborn jaundice, or thyroid problems.

Tamil Nadu Police SI Paper 2 Mock Test - 5 - Question 9

The MK-1A tank is manufactured by _________.

Detailed Solution: Question 9

The Mk-1A tank is manufactured by both CVRDE and DRDO.

The state–of-the-art MBT Mk-1A is a new variant of Arjun Tank designed to enhance fire power, mobility and survivability. The MBT Arjun Mk-1A has been designed and developed by Combat Vehicles Research and Development Establishment (CVRDE), along with other laboratories of DRDO within two years (2010-12).

Tamil Nadu Police SI Paper 2 Mock Test - 5 - Question 10

Financial Management is mainly concerned with?

Detailed Solution: Question 10

Financial Management is mainly concerned with all aspects of acquiring and utilizing financial resources for firms activities. Financial Management is the application of general principles of management to the financial possessions of an enterprise.

Tamil Nadu Police SI Paper 2 Mock Test - 5 - Question 11

A particle moves towards east for 2 sec with velocity 15 m/s and move towards north for 8 sec with velocity 5 m/s. Then average velocity of the particle is:

Detailed Solution: Question 11

Given: Velocity of particle in east direction m/s, Time in east direction sec, Velocity of particle in north direction m/s, and Time in north direction sec.

Displacement in the east direction,

m

Displacement in the north direction,

m

Since, east and north direction are at to each other, so the resultant displacement,

m

Total time is taken,

sec

Average velocity,

m/s

Tamil Nadu Police SI Paper 2 Mock Test - 5 - Question 12

To change a temperature from the Kelvin scale to the Celsius-scale, you have to:

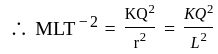
Detailed Solution: Question 12

We know that electrostatic force is given as:

We know that the dimension of force is

We know that:

So,

Tamil Nadu Police SI Paper 2 Mock Test - 5 - Question 13

What is the sex ratio of Tamil Nadu as per the 2011 Census?

Detailed Solution: Question 13

At the 2011 Census of India, the population of the state of Tamil Nadu was 72,147,039, increasing from 62.4 million in 2001. There were 36,137,975 males and 36,009,064 females, with a sex ratio of 996 females per 1000 males. Its literacy rate was 80.09%.

Tamil Nadu Police SI Paper 2 Mock Test - 5 - Question 14

Which of the following diseases is caused by the lack of protein?

Detailed Solution: Question 14

Kwashiorkor is a disease that is caused by the lack of protein in the human body. Kwashiorkor can cause intestinal and gut swelling, lethargy, and retention of water. The early systems of Kwashiorkor are loss of weight, fatigue, diarrhea, irritability, rash, swelling in the gut, stomach ache, etc. If this cannot be treated at an early stage, it can cause serious complications such as coma, physical disability, shock, mental disability, etc.

Tamil Nadu Police SI Paper 2 Mock Test - 5 - Question 15

What is the capital of Armenia?

Detailed Solution: Question 15

Yerevan is the capital of Armenia.

Yerevan is the capital and largest city of Armenia, and one of the world's oldest continuously inhabited cities. Situated along the Hrazdan River, Yerevan is the administrative, cultural, and industrial center of the country.

Tamil Nadu Police SI Paper 2 Mock Test - 5 - Question 16

Vidhushaka, a common character in Sanskrit drama is ___?

Detailed Solution: Question 16

Vidhushaka, a common character in Sanskrit drama is Brahmana.

In classical Sanskrit drama, Vidushaka (Bufoon) is essentially a Brahmin and is a confident / attendent of the Hero. Despite being educated in Sanskrit, he speaks in Prakrit, the vernacular language of the time. Bharata mentions him along with the principal characters in his Natyasastra.

Tamil Nadu Police SI Paper 2 Mock Test - 5 - Question 17

In which year, Madras State was renamed Tamilnadu?

Detailed Solution: Question 17

Andhra Pradesh comprising of Telugu-speaking areas and Madras state comprising of Tamil-speaking areas. Under the States Reorganization Act, 1956, the Madras state was further divided into the states of Kerala, Mysore, and Madras. In August 1969, Madras state was renamed Tamilnadu.

Tamil Nadu Police SI Paper 2 Mock Test - 5 - Question 18

Panchayati Raj institutions came into existence under the:

Detailed Solution: Question 18

Panchayati Raj Institution was constitutionalized through the 73rd Constitutional Amendment Act, 1992 to build democracy at the grassroots level and was entrusted with the task of rural development in the country.

73rd and 74th Constitutional Amendments were passed by Parliament in December 1992. The Acts came into force as the Constitution (73rd Amendment) Act, 1992 on April 24, 1993.

Tamil Nadu Police SI Paper 2 Mock Test - 5 - Question 19

Direction: Fill in the blank with the most appropriate word.

I often think ____the day we met.

Detailed Solution: Question 19

A preposition is a word that comes before a noun or a pronoun and establishes a relationship between the elements of a clause or words. The other options are wrong as off, on, and for indicating the removal of something, a surface, and a purpose respectively. These uses don't fit in the given question.

Tamil Nadu Police SI Paper 2 Mock Test - 5 - Question 20

Direction: Choose an appropriate word from the options to suitably fill the blank in the sentence below so that the sentence makes sense, both grammatically and contextually.

Coconut water is the ________ and most hygienic water found on the earth.

Detailed Solution: Question 20

Coconut water is the purest and most hygienic water found on the earth.

The attribute 'the' denotes that a superlative adjective follows it.

A superlative adjective expresses the extreme or highest degree of a quality. We use a superlative adjective to describe the extreme quality of one thing in a group of things.

Tamil Nadu Police SI Paper 2 Mock Test - 5 - Question 21

Direction: Each item in this section consists of a sentence with an underlined word followed by four options. Select the option that is nearest in meaning to the underlined word.

A glance at a beautiful object gives us delight.

Detailed Solution: Question 21

Delight means please (someone) greatly.

Happiness means the state of being happy.

Wisdom means having the quality of having experience, knowledge, and good judgment;

Purity means freedom from adulteration or contamination.

Peace means freedom from disturbance; tranquillity.

The option that is nearest in meaning to the underlined word 'delight' is 'happiness'.

Tamil Nadu Police SI Paper 2 Mock Test - 5 - Question 22

What is the position of the element ‘love’ in step IV?

Detailed Solution: Question 22

We can see that in the first step that the smallest number is placed at the leftmost end and the word starting with greatest alphabet is placed at the right most end, with rest of the elements being in the same order.

In second step, the second smallest number is placed at the leftmost end and the word starting with second largest alphabet is placed at the rightmost end with rest of the elements being in the same order.

This process is repeated till an arrangement is achieved where the numbers are arranged in decreasing order from left end and the words are arranged in increasing order (in terms of the letter it starts with) from right end

Using the same pattern, we find the steps of the given input:

Input: 24 sun noon 13 41 milk 53 dark love 16 80 bond

Step I: 13 24 noon 41 milk 53 dark love 16 80 bond sun

Step II: 16 13 24 41 milk 53 dark love 80 bond sun noon

Step III: 24 16 13 41 53 dark love 80 bond sun noon milk

Step IV: 41 24 16 13 53 dark 80 bond sun noon milk love

Step V: 53 41 24 16 13 80 bond sun noon milk love dark

Step VI: 80 53 41 24 16 13 sun noon milk love dark bond

Clearly, ‘love’ is 1st from right in step IV.

Tamil Nadu Police SI Paper 2 Mock Test - 5 - Question 23

How many elements are there between ‘sun’ and ‘53’ in step I?

Detailed Solution: Question 23

We can see that in the first step that the smallest number is placed at the leftmost end and the word starting with greatest alphabet is placed at the right most end, with rest of the elements being in the same order.

In second step, the second smallest number is placed at the leftmost end and the word starting with second largest alphabet is placed at the rightmost end with rest of the elements being in the same order.

This process is repeated till an arrangement is achieved where the numbers are arranged in decreasing order from left end and the words are arranged in increasing order (in terms of the letter it starts with) from right end

Using the same pattern, we find the steps of the given input:

Input: 24 sun noon 13 41 milk 53 dark love 16 80 bond

Step I: 13 24 noon 41 milk 53 dark love 16 80 bond sun

Step II: 16 13 24 41 milk 53 dark love 80 bond sun noon

Step III: 24 16 13 41 53 dark love 80 bond sun noon milk

Step IV: 41 24 16 13 53 dark 80 bond sun noon milk love

Step V: 53 41 24 16 13 80 bond sun noon milk love dark

Step VI: 80 53 41 24 16 13 sun noon milk love dark bond

Clearly, there are five elements between ‘sun’ and ‘53’ in step I.

Tamil Nadu Police SI Paper 2 Mock Test - 5 - Question 24

Buddha was born:

Detailed Solution: Question 24

Buddha was born before the birth of Christ.

The third line or sentence of the passage says "He was born in the year 500 B.C". Here, the personal pronoun 'he' is used for the 'Buddha'.

In the sentence, the term "B.C" means "Before the birth of Jesus Christ".

Tamil Nadu Police SI Paper 2 Mock Test - 5 - Question 25

Which box contains Wild-Stone soap?

Detailed Solution: Question 25

8 Boxes: A, B, C, D, E, F, G and H

Soaps: Nirma, Hamam, Santoor, Liril, Lux, Cinthol, Dove and Wild-Stone.

1. There are 3 boxes between G and A which contains Hamam.

There are two possible cases.

2. The box containing Dove is immediately above G.

3. There are 2 boxes between A and C, which contains Cinthol.

Case 1:

Case 2:

4. There is only one box between E and G.

5. There are 2 boxes between B and E which contains Nirma.

Case 1:

Case 2:

6. Box D is kept immediately above Liril Box.

7. More than 3 boxes are placed between the boxes containing Liril and Lux soaps.

Therefore, case 1 will get eliminated.

8. Box containing Wild-Stone is placed at bottom.

9. Box H does not contain Santoor.

So, box H contains Wild-Stone soap.

Tamil Nadu Police SI Paper 2 Mock Test - 5 - Question 26

How many boxes are kept between box G and the box containing Santoor?

Detailed Solution: Question 26

8 Boxes: A, B, C, D, E, F, G and H

Soaps: Nirma, Hamam, Santoor, Liril, Lux, Cinthol, Dove and Wild-Stone.

1. There are 3 boxes between G and A which contains Hamam.

There are two possible cases.

2. The box containing Dove is immediately above G.

3. There are 2 boxes between A and C, which contains Cinthol.

Case 1:

Case 2:

4. There is only one box between E and G.

5. There are 2 boxes between B and E which contains Nirma.

Case 1:

Case 2:

6. Box D is kept immediately above Liril Box.

7. More than 3 boxes are placed between the boxes containing Liril and Lux soaps.

Therefore, case 1 will get eliminated.

8. Box containing Wild-Stone is placed at bottom.

9. Box H does not contain Santoor.

8 Boxes: A, B, C, D, E, F, G and H

Soaps: Nirma, Hamam, Santoor, Liril, Lux, Cinthol, Dove and Wild-Stone.

1. There are 3 boxes between G and A which contains Hamam.

There are two possible cases.

2. The box containing Dove is immediately above G.

3. There are 2 boxes between A and C, which contains Cinthol.

Case 1:

Case 2:

4. There is only one box between E and G.

5. There are 2 boxes between B and E which contains Nirma.

Case 1:

Case 2:

6. Box D is kept immediately above Liril Box.

7. More than 3 boxes are placed between the boxes containing Liril and Lux soaps.

Therefore, case 1 will get eliminated.

8. Box containing Wild-Stone is placed at bottom.

9. Box H does not contain Santoor.

So, 2 boxes are kept between box G and the box containing Santoor.

Tamil Nadu Police SI Paper 2 Mock Test - 5 - Question 27

Which box is kept at 4th position from top?

Detailed Solution: Question 27

8 Boxes: A, B, C, D, E, F, G and H

Soaps: Nirma, Hamam, Santoor, Liril, Lux, Cinthol, Dove and Wild-Stone.

1. There are 3 boxes between G and A which contains Hamam.

There are two possible cases.

2. The box containing Dove is immediately above G.

3. There are 2 boxes between A and C, which contains Cinthol.

Case 1:

Case 2:

4. There is only one box between E and G.

5. There are 2 boxes between B and E which contains Nirma.

Case 1:

Case 2:

6. Box D is kept immediately above Liril Box.

7. More than 3 boxes are placed between the boxes containing Liril and Lux soaps.

Therefore, case 1 will get eliminated.

8. Box containing Wild-Stone is placed at bottom.

9. Box H does not contain Santoor.

So, box E is kept at the 4th position from top.

Tamil Nadu Police SI Paper 2 Mock Test - 5 - Question 28

Direction: Choose from the four options, the word that best defines/substitutes the given phrase.

"A speech or piece of writing praising somebody"

Detailed Solution: Question 28

The word 'eulogy' means 'a speech, piece of writing, poem, etc. containing great praise, especially for someone who recently died or retired from work'.

  • Examples,
    • Reena sobbed as she listened to the praising words of her father’s eulogy during his funeral.
    • At the funeral service, John used the eulogy to fondly recall his father’s dedication to the homeless.
  • Therefore, according to the meaning and examples that are given above, 'eulogy' is the correct answer.

Tamil Nadu Police SI Paper 2 Mock Test - 5 - Question 29

The ratio of incomes of Manish and Pankaj is 11 : 7. If pankaj gets Rs. 6000 less than Manish, then what is the total income (in Rs) of Manish and Pankaj?

Detailed Solution: Question 29

Given,

The ratio of incomes of Manish and Pankaj is 11 : 7 and pankaj gets Rs. 6000 less than Manish.

Let the income of Manish and Pankaj be 11x and 7x respectively.

11x - 7x = 6000

⇒ 4x = 6000

⇒ x = 1500

Total income of Manish and Pankaj = (11x + 7x) = 18 × 1500 = Rs. 27000

Tamil Nadu Police SI Paper 2 Mock Test - 5 - Question 30

Question 8 was solved by 67 examinees in an examination. Question 9 is 46 and Question 10 is 40. 28 examinees had solved both questions 8 and 9, 8 answered both questions 9 and 10, 26 both questions 8 and 10 and 2 solved all three questions, then how many had solved question 8, but questions 9 and not 10?

Detailed Solution: Question 30

Let the set of examinees who solved Question 8 be A,

The set of candidates who solve Question 9 is B,

And the set of candidates who solve Question 10 is C, then

Number of examinees who solved question 8 but not questions 9 and 10 =

View more questions
6 tests
Information about Tamil Nadu Police SI Paper 2 Mock Test - 5 Page
In this test you can find the Exam questions for Tamil Nadu Police SI Paper 2 Mock Test - 5 solved & explained in the simplest way possible. Besides giving Questions and answers for Tamil Nadu Police SI Paper 2 Mock Test - 5, EduRev gives you an ample number of Online tests for practice
Download as PDF