You can prepare effectively for JEE Chemistry for JEE Main & Advanced with this dedicated MCQ Practice Test (available with solutions) on the important topic of "Test: Empirical and molecular formulae". These 15 questions have been designed by the experts with the latest curriculum of JEE 2026, to help you master the concept.
Test Highlights:
Sign up on EduRev for free to attempt this test and track your preparation progress.
A sample of AlF3 contains 3.0 × 1024 F− ions. The number of formula unit of this sample are
Detailed Solution: Question 1
Calculate the density of an aqueous solution of KI, if its molarity and molality are
and
respectively.
Detailed Solution: Question 2
What amount of conc. H2SO4 solution should be used to prepare 500 mL of 0.5MH2SO4? (The concentration of H2SO4 solution being used is 90% and molecular mass of H2SO4 = 98.079 g mol−1)
Detailed Solution: Question 3
How many of
are required to react completely with
mixture of
and
containing equimolar amounts of two?
Detailed Solution: Question 4
of
is mixed with
of
N NaOH solution. The resulting solution is
Detailed Solution: Question 5
What is the molarity of
ion in aqueous solution that contain
of 
(Assume complete dissociation and density of solution 1 g/mL)
Detailed Solution: Question 6
of a sodium carbonate solution contains
of
. If
of this solution is diluted to one litre, what is the concentration of the resultant solution? (mol. wt. of
)
Detailed Solution: Question 7
A carbon compound contains
of carbon,
of hydrogen and
of bromine. The molecular weight of the compound is 187.9. Calculate the molecular formula of the compound.
(Atomic weight: H = 1.008,C = 12.0, Br = 79.9)
Detailed Solution: Question 8
Detailed Solution: Question 9
0.5 g of fuming
(Oleum) is diluted with water. This solution is completely neutralized by 26.7 mL of 0.4 N NaOH. The percentage of free
in the sample is
Detailed Solution: Question 10
To
of
solution
of water is added. What is the molarity of resultant solution?
Detailed Solution: Question 11
RH 2 (ion exchange resin) can replace Ca 2 + ions in hard water as:
RH 2 + Ca 2 + → RCa + 2H+
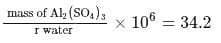
If 1 L of hard water after passing through RH 2 has pH = 3, then hardness in parts per million of Ca 2 + is :
Detailed Solution: Question 12
If the density of
is
, the volume of methanol to prepare
of
aqueous solution is
Detailed Solution: Question 13
Detailed Solution: Question 14
The concentration of ethanol in the solution called 86-proof vodka is
. If the density of the solution is
, the amount fraction of ethanol in vodka is
Detailed Solution: Question 15
335 videos|697 docs|300 tests |