JEE Exam  >  JEE Test  >  Physics Main & Advanced  >  Chapter Test: Unit and Measurement - 1 - JEE MCQ

Chapter Test: Unit and Measurement - 1 Free MCQs with solutions JEE


Test Description

30 Questions MCQ Test Physics for JEE Main & Advanced - Chapter Test: Unit and Measurement - 1

Chapter Test: Unit and Measurement - 1 for JEE 2026 is part of Physics for JEE Main & Advanced preparation. The Chapter Test: Unit and Measurement - 1 questions and answers have been prepared according to the JEE exam syllabus.The Chapter Test: Unit and Measurement - 1 MCQs are made for JEE 2026 Exam. Find important definitions, questions, notes, meanings, examples, exercises, MCQs and online tests for Chapter Test: Unit and Measurement - 1 below.
Solutions of Chapter Test: Unit and Measurement - 1 questions in English are available as part of our Physics for JEE Main & Advanced for JEE & Chapter Test: Unit and Measurement - 1 solutions in Hindi for Physics for JEE Main & Advanced course. Download more important topics, notes, lectures and mock test series for JEE Exam by signing up for free. Attempt Chapter Test: Unit and Measurement - 1 | 31 questions in 60 minutes | Mock test for JEE preparation | Free important questions MCQ to study Physics for JEE Main & Advanced for JEE Exam | Download free PDF with solutions
Chapter Test: Unit and Measurement - 1 - Question 1

In the formula X = 3YZ2, X and Z have dimensions of capacitance and magnetic induction respectively. The dimensions of Y in MKSA system are -

Detailed Solution for Chapter Test: Unit and Measurement - 1 - Question 1


Chapter Test: Unit and Measurement - 1 - Question 2

Detailed Solution for Chapter Test: Unit and Measurement - 1 - Question 2

Planck’s constant (h): 

Linear momentum (p): 

Now, divide them, we get

= [L] 
which can be written as [M0LT0].

Chapter Test: Unit and Measurement - 1 - Question 3


Detailed Solution for Chapter Test: Unit and Measurement - 1 - Question 3


Chapter Test: Unit and Measurement - 1 - Question 4

A parallelopiped has length 'a', breadth '2a' and height '3a'. Length a is measured and measured value is (2 ± 0.02) cm. The maximum percentage error in the measurement of its value is -

Detailed Solution for Chapter Test: Unit and Measurement - 1 - Question 4


Chapter Test: Unit and Measurement - 1 - Question 5

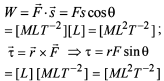
If energy (E), velocity (v) and force (F), be taken as fundamental quantities, then what are the dimensions of mass -

Detailed Solution for Chapter Test: Unit and Measurement - 1 - Question 5


Chapter Test: Unit and Measurement - 1 - Question 6


Detailed Solution for Chapter Test: Unit and Measurement - 1 - Question 6


Chapter Test: Unit and Measurement - 1 - Question 7

The percentage error in the measurement of mass and speed are 2% and 3% respectively. How much will be the maximum percentage error in the estimate of kinetic energy obtained by measuring mass and speed -

Detailed Solution for Chapter Test: Unit and Measurement - 1 - Question 7


Chapter Test: Unit and Measurement - 1 - Question 8


Detailed Solution for Chapter Test: Unit and Measurement - 1 - Question 8


Chapter Test: Unit and Measurement - 1 - Question 9

A spherical body of mass m and radius r is allowed to fall in a medium of viscosity η. The time in which the velocity of the body increases from zero to 0.63 times the terminal velocity (v) is called time constant (τ). Dimensionally τ can be represented by -

Detailed Solution for Chapter Test: Unit and Measurement - 1 - Question 9


Chapter Test: Unit and Measurement - 1 - Question 10

Detailed Solution for Chapter Test: Unit and Measurement - 1 - Question 10

From Coulomb’s law,

Chapter Test: Unit and Measurement - 1 - Question 11

If force [F], length [L] and time [T] are presumed to be the fundamental units, then the dimensional formula of mass will be–

Detailed Solution for Chapter Test: Unit and Measurement - 1 - Question 11


Chapter Test: Unit and Measurement - 1 - Question 12

The length, breadth and thickness of a strip are : (10.0 ± 0.1) cm, (1.00 ± 0.01) cm and (0.100 ± 0.001) cm respectively. The most probable error in its volume will be :

Detailed Solution for Chapter Test: Unit and Measurement - 1 - Question 12


Chapter Test: Unit and Measurement - 1 - Question 13

A system has basic dimensions as density [D], velocity [V] and area [A]. The dimensional representation of force in this system is -

Detailed Solution for Chapter Test: Unit and Measurement - 1 - Question 13


Chapter Test: Unit and Measurement - 1 - Question 14

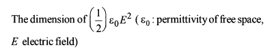
If energy E, velocity (V) and time (T) are chosen as the fundamental quantities, then the dimensions of surface tension will be -

Detailed Solution for Chapter Test: Unit and Measurement - 1 - Question 14


Chapter Test: Unit and Measurement - 1 - Question 15

If frequency ν, velocity v and density d are considered as fundamental units, then the dimensional formula for momentum will be -

Detailed Solution for Chapter Test: Unit and Measurement - 1 - Question 15


Chapter Test: Unit and Measurement - 1 - Question 16

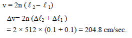
In a resonance tube with tuning fork of frequency 512 Hz, first resonance occurs at water level equal to 30.3 cm and second resonance occurs at 63.7cm. The maximum possible error in the speed is -

Detailed Solution for Chapter Test: Unit and Measurement - 1 - Question 16


Chapter Test: Unit and Measurement - 1 - Question 17

The maximum error in the measurement of mass and length of the side of a cube are 2% and 1% respectively. The maximum error in its density is-

Detailed Solution for Chapter Test: Unit and Measurement - 1 - Question 17


Chapter Test: Unit and Measurement - 1 - Question 18

A science student takes 100 observations in an experiment. Second time he takes 500 observations in the same experiment, by doing so the possible error becomes -

Detailed Solution for Chapter Test: Unit and Measurement - 1 - Question 18


Chapter Test: Unit and Measurement - 1 - Question 19

Dimensions of one or more pairs are same. Identify the pairs -

Detailed Solution for Chapter Test: Unit and Measurement - 1 - Question 19

[Light year] = [Wavelength] = [L]

Chapter Test: Unit and Measurement - 1 - Question 20


Detailed Solution for Chapter Test: Unit and Measurement - 1 - Question 20


Chapter Test: Unit and Measurement - 1 - Question 21


Detailed Solution for Chapter Test: Unit and Measurement - 1 - Question 21


Chapter Test: Unit and Measurement - 1 - Question 22

A current of 2.34 ampere flows in a resistance of 11.111111 Ω. The potential difference across the given resistance with due regard for significant figures is -

Detailed Solution for Chapter Test: Unit and Measurement - 1 - Question 22

V = I × R = 2.34 × 11.111111

= 26.0 volt.

Chapter Test: Unit and Measurement - 1 - Question 23

Dimensional formula for volume elasticity is-

Detailed Solution for Chapter Test: Unit and Measurement - 1 - Question 23


Chapter Test: Unit and Measurement - 1 - Question 24

Detailed Solution for Chapter Test: Unit and Measurement - 1 - Question 24

Chapter Test: Unit and Measurement - 1 - Question 25

The value of universal gas constant is 8.3 J/mole/K, the mean kinetic energy of 32 gm of oxygen at –73ºC will be -

Detailed Solution for Chapter Test: Unit and Measurement - 1 - Question 25


Chapter Test: Unit and Measurement - 1 - Question 26

The length, breadth and thickness of a rectangular sheet of metal are 4.234 m, 1.005 m, and 2.01 cm respectively. Give the volume of the sheet to correct significant figures.

Detailed Solution for Chapter Test: Unit and Measurement - 1 - Question 26

Length , l = 4,234 m
Breadth, b = 1.005 m
Thickness , t = 2.01 x 10-2 m
Volume = l x b x t
⇒ V = 4.234 x 1.005 x 0.0201 = 0.0855289 = 0.0855 m3 (significant figure = 3)

Chapter Test: Unit and Measurement - 1 - Question 27

The number of significant digits in 2,076 is:

Detailed Solution for Chapter Test: Unit and Measurement - 1 - Question 27

There are three rules for determining how many significant figures are in a number: 

  • Non-zero digits are always significant.
  • Any zeros between two significant digits are significant.
  • A final zero or trailing zeros in the decimal portion ONLY are significant.

Keeping these rules in mind, we can say that there are 4 significant digits.

Chapter Test: Unit and Measurement - 1 - Question 28

The number of significant digits in 48,923 is:

Detailed Solution for Chapter Test: Unit and Measurement - 1 - Question 28

There are three rules on determining how many significant figures are in a number: 

  • Non-zero digits are always significant.
  • Any zeros between two significant digits are significant.
  • A final zero or trailing zeros in the decimal portion ONLY are significant.

Keeping these rules in mind, we can say that there are 5 significant digits.

Chapter Test: Unit and Measurement - 1 - Question 29

The number of significant digits in 8.1000 is:

Detailed Solution for Chapter Test: Unit and Measurement - 1 - Question 29

Explanation

To determine the number of significant digits in the number 8.1000, we can follow a systematic approach based on the established rules of significant figures

1Identify non-zero digits. In the number 8.1000, the digits '8' and '1' are non-zero. According to the rules of significant figures, all non-zero digits are considered significant. Therefore, we have two significant digits from these numbers

2Examine the zeros. The zeros in the number 8.1000 need to be evaluated based on their position. The first zero appears after the '1', and since it is sandwiched between non-zero digits (1 and 0), it is significant

3Analyze trailing zeros. The last three zeros in 8.1000 come after the decimal point and follow the last non-zero digit (which is '1'). According to the rules, trailing zeros in a decimal number are significant. Therefore, these three zeros also count as significant digits

4Count the total significant digits. Adding the significant digits identified: 2 (from '8' and '1') + 1 (from the zero between '1' and '0') + 3 (trailing zeros) gives us a total of 5 significant digits

Chapter Test: Unit and Measurement - 1 - Question 30

In SI system the fundamental units are:

Detailed Solution for Chapter Test: Unit and Measurement - 1 - Question 30

The SI base units and their physical quantities are the metre for measurement of length, the kilogram for mass, the second for time, the ampere for electric current, the kelvin for temperature, the candela for luminous intensity, and the mole for amount of substance.

View more questions
258 videos|853 docs|206 tests
Information about Chapter Test: Unit and Measurement - 1 Page
In this test you can find the Exam questions for Chapter Test: Unit and Measurement - 1 solved & explained in the simplest way possible. Besides giving Questions and answers for Chapter Test: Unit and Measurement - 1, EduRev gives you an ample number of Online tests for practice
258 videos|853 docs|206 tests
Download as PDF