JEE Exam  >  JEE Test  >  Physics Main & Advanced  >  Chapter Test: Unit & Measurement - 2 - JEE MCQ

Chapter Test: Unit & Measurement - 2 Free MCQs with solutions JEE


Test Description

30 Questions MCQ Test Physics for JEE Main & Advanced - Chapter Test: Unit & Measurement - 2

Chapter Test: Unit & Measurement - 2 for JEE 2026 is part of Physics for JEE Main & Advanced preparation. The Chapter Test: Unit & Measurement - 2 questions and answers have been prepared according to the JEE exam syllabus.The Chapter Test: Unit & Measurement - 2 MCQs are made for JEE 2026 Exam. Find important definitions, questions, notes, meanings, examples, exercises, MCQs and online tests for Chapter Test: Unit & Measurement - 2 below.
Solutions of Chapter Test: Unit & Measurement - 2 questions in English are available as part of our Physics for JEE Main & Advanced for JEE & Chapter Test: Unit & Measurement - 2 solutions in Hindi for Physics for JEE Main & Advanced course. Download more important topics, notes, lectures and mock test series for JEE Exam by signing up for free. Attempt Chapter Test: Unit & Measurement - 2 | 30 questions in 60 minutes | Mock test for JEE preparation | Free important questions MCQ to study Physics for JEE Main & Advanced for JEE Exam | Download free PDF with solutions
Chapter Test: Unit & Measurement - 2 - Question 1

A student performs an experiment to determine the Young's modulus of a wire exactly 2cm long, by Searle's method. In a particular reading, the student measures the extension in the length of the wire to  be 0.8 mm with an uncertainty of ± 0.05 mm at a load of exactly 1.0 kg. The student also measures the diameter of the wire to be 0.4 mm with an uncertainty of ±0.01 mm. Take g = 9.8 m/s2 (exact). The Young's modulus obtained from the reading is -


Detailed Solution for Chapter Test: Unit & Measurement - 2 - Question 1


Chapter Test: Unit & Measurement - 2 - Question 2

A calorie is a unit of heat and equals 4.2 J. Suppose we employ a system of units in which of the unit of mass is α kg, the unit of length is β metre and the unit of time is  second. In this new system, 1 calorie = 

Detailed Solution for Chapter Test: Unit & Measurement - 2 - Question 2


Chapter Test: Unit & Measurement - 2 - Question 3

r.m.s velocity of nitrogen molecules at NTP is-

Detailed Solution for Chapter Test: Unit & Measurement - 2 - Question 3


Chapter Test: Unit & Measurement - 2 - Question 4

A unitless quantity -

Detailed Solution for Chapter Test: Unit & Measurement - 2 - Question 4

A unit less quantity can never has non-zero dimensions.

Chapter Test: Unit & Measurement - 2 - Question 5


Detailed Solution for Chapter Test: Unit & Measurement - 2 - Question 5


Chapter Test: Unit & Measurement - 2 - Question 6

The correct order in which the dimensions of

length increases in the following quantities is

(i) Volume,

(ii) Stress

(iii) Impulse

(iv) Planck's constant

Detailed Solution for Chapter Test: Unit & Measurement - 2 - Question 6


Chapter Test: Unit & Measurement - 2 - Question 7

If 1 g cm s–1 = x newton-second, then the number x is equal to -

Detailed Solution for Chapter Test: Unit & Measurement - 2 - Question 7


Chapter Test: Unit & Measurement - 2 - Question 8

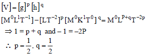
The velocity of a freely falling body changes as gphq where g is acceleration due to gravity and h is the height. The values of p and q are

Detailed Solution for Chapter Test: Unit & Measurement - 2 - Question 8


Chapter Test: Unit & Measurement - 2 - Question 9

[ML2T–3A–2] is the dimensional formula of -

Detailed Solution for Chapter Test: Unit & Measurement - 2 - Question 9

Resistance [R] = [ML2T–3A–2]

Chapter Test: Unit & Measurement - 2 - Question 10


Detailed Solution for Chapter Test: Unit & Measurement - 2 - Question 10


Chapter Test: Unit & Measurement - 2 - Question 11

Consider a new system of units in which c (speed of light in vaccum), h (Planck's constant) and G (gravitational constant) are taken as fundamental units. Which of the following would represent mass in this new system ?

Detailed Solution for Chapter Test: Unit & Measurement - 2 - Question 11


Chapter Test: Unit & Measurement - 2 - Question 12

A wave is represented by y = a sin (At – Bx + C) where A, B, C are constants. The Dimensions of A, B, C are (here y and x are displacement and distance and t is time) -

Detailed Solution for Chapter Test: Unit & Measurement - 2 - Question 12

At, Bx and C are dimensionless

Chapter Test: Unit & Measurement - 2 - Question 13

Dimensional formula for the Planck's constant is -

Detailed Solution for Chapter Test: Unit & Measurement - 2 - Question 13

plank constant = energy × time

Chapter Test: Unit & Measurement - 2 - Question 14


Detailed Solution for Chapter Test: Unit & Measurement - 2 - Question 14


Chapter Test: Unit & Measurement - 2 - Question 15

Select the pair whose dimensions are same

Detailed Solution for Chapter Test: Unit & Measurement - 2 - Question 15


Chapter Test: Unit & Measurement - 2 - Question 16

The dimensions of angular momentum are -

Detailed Solution for Chapter Test: Unit & Measurement - 2 - Question 16


Chapter Test: Unit & Measurement - 2 - Question 17


Detailed Solution for Chapter Test: Unit & Measurement - 2 - Question 17


Chapter Test: Unit & Measurement - 2 - Question 18

Which of the following is unitless quantity ?

Detailed Solution for Chapter Test: Unit & Measurement - 2 - Question 18


Chapter Test: Unit & Measurement - 2 - Question 19

The dependency of speed of water surface waves (capillary waves) on the density of water (ρ) their wavelength (λ) and surface tension (γ) is -

Detailed Solution for Chapter Test: Unit & Measurement - 2 - Question 19


Chapter Test: Unit & Measurement - 2 - Question 20

The resistive force on a very-high-velocity object of area A passing through a gas of density ρ at a velocity v is

Force ~ Ar ρs vt

Then –

Detailed Solution for Chapter Test: Unit & Measurement - 2 - Question 20


Chapter Test: Unit & Measurement - 2 - Question 21

If force, length and time were the fundamental units, then the dimensional formula of mass would have been -

Detailed Solution for Chapter Test: Unit & Measurement - 2 - Question 21


Chapter Test: Unit & Measurement - 2 - Question 22


Detailed Solution for Chapter Test: Unit & Measurement - 2 - Question 22


Chapter Test: Unit & Measurement - 2 - Question 23

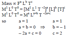
To keep on object moving in a circle at constant speed requires a force F α mavbrc. According to dimensional analysis the a, b, c are -

Detailed Solution for Chapter Test: Unit & Measurement - 2 - Question 23

Chapter Test: Unit & Measurement - 2 - Question 24

A highly rigid cubical block A of small mass M and side L is fixed rigidly on the another cubical block of same dimensions and of low modulus of rigidity η such that the lower face of A completely covers the upper face of B. The lower face of B is rigidly held on the horizontal surface. A small force F is applied perpendicular to one of the side faces of A. After the force is withdrawn, block A excutes small oscillations, the time period of which is given by –

Detailed Solution for Chapter Test: Unit & Measurement - 2 - Question 24


Chapter Test: Unit & Measurement - 2 - Question 25


Detailed Solution for Chapter Test: Unit & Measurement - 2 - Question 25


Chapter Test: Unit & Measurement - 2 - Question 26

If a and b are two physical quantities having different dimensions then which of the following can denote a new physical quantity

Detailed Solution for Chapter Test: Unit & Measurement - 2 - Question 26

Quantities with different dimensions cant be added or subtracted. Also the dimension of the product of the quantities in power is always one. But when two quantities are multiplied the dimension of the product is the product of the dimensions of the initial quantities.

Chapter Test: Unit & Measurement - 2 - Question 27

Choose the correct statement (S)

Detailed Solution for Chapter Test: Unit & Measurement - 2 - Question 27

Correct Answer :- d

Explanation : a) A topological sort of a directed acyclic graph (DAG) is any ordering m1, m2, …, mn of the nodes

of the graph, such that if mimj is an edge then mi appears before mj . Any topological sort of a

the dependency graph gives a valid evaluation order for the semantic rules. 

b) The parse tree can be annotated with synthesized or inherited attributes. The parse tree can also be indicated with an arrow mark to indicate the manner in which the value gets propagated between the nodes of the parse tree. This graph is called as dependency graph as it indicates the dependency between nodes for deriving the values. This graph is an acyclic graph which doesn’t have a cycle. The presence of a cycle indicates that the graph is incorrect as the dependence of nodes for deriving values cannot be predicted. Edges in the dependence graph show the evaluation order for attribute values and thus the graph is a directed one.

Chapter Test: Unit & Measurement - 2 - Question 28

Planck's constant has the dimensions of :

Detailed Solution for Chapter Test: Unit & Measurement - 2 - Question 28

We know that E = hv , where E is energy and v is frequency.
Thus we get h = E/v
And [h] = [E/v] = ML2T-2 / T-1
= ML2T-1
[P] = MLT-1
[F] = MLT-2
[Angular momentum] = [P x r] = ML2T-1

Chapter Test: Unit & Measurement - 2 - Question 29

The velocity 'v' (in cm/s) of a particle is given in terms of time 't' (in s) by the equation

v = at + 

The dimensions of a, b and c are

Detailed Solution for Chapter Test: Unit & Measurement - 2 - Question 29

As v = at + b / (t + c)
We get that v, at and b / (t+c) have the same dimensions as they are equated and added.
Similarly c and t have also same dimensions, [c] = T and [a] = L/T
 And [b] = L

Chapter Test: Unit & Measurement - 2 - Question 30

Force F is given in terms of time t and distance x by

F = A sin C t + B cos D x

Then the dimensions of  and  are given by

Detailed Solution for Chapter Test: Unit & Measurement - 2 - Question 30

Dimension of [A]=[MLT-2]
Dimension of [B]=[MLT-2]
 
 [A]/[B]= [ M0L0T0]
CT=1
Dimension of  [C]=1/[T]=[T-1]
DL=1
Dimension of  [D]=1/[L]=[L-1]
[C][D] =[T-1]/[L-1]
=LT-1
 
A/B=Force/Force=[M0L0T0]
Ct=∠⇒C=Angle/Time=1/T=T-1
Dx=∠⇒D=Angle/Distance=1/L=L-1
∴C/D=T-1L-1 =[M0 LT-1 ]

258 videos|853 docs|206 tests
Information about Chapter Test: Unit & Measurement - 2 Page
In this test you can find the Exam questions for Chapter Test: Unit & Measurement - 2 solved & explained in the simplest way possible. Besides giving Questions and answers for Chapter Test: Unit & Measurement - 2, EduRev gives you an ample number of Online tests for practice
258 videos|853 docs|206 tests
Download as PDF