JEE Exam  >  JEE Test  >  Chemistry Main & Advanced  >  Some Basic Concepts of Chemistry - 1 - JEE MCQ

Some Basic Concepts of Chemistry - 1 - Free MCQ Test with solutions


MCQ Practice Test & Solutions: Some Basic Concepts of Chemistry - 1 (30 Questions)

You can prepare effectively for JEE Chemistry for JEE Main & Advanced with this dedicated MCQ Practice Test (available with solutions) on the important topic of "Some Basic Concepts of Chemistry - 1". These 30 questions have been designed by the experts with the latest curriculum of JEE 2026, to help you master the concept.

Test Highlights:

  • - Format: Multiple Choice Questions (MCQ)
  • - Duration: 60 minutes
  • - Number of Questions: 30

Sign up on EduRev for free to attempt this test and track your preparation progress.

Some Basic Concepts of Chemistry - 1 - Question 1

Total number of atoms of all elements present in 1 mole of ammonium dichromate is ?

Detailed Solution: Question 1


Some Basic Concepts of Chemistry - 1 - Question 2

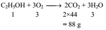
If one mole of ethanol (C2H5OH) completely burns to carbon dioxide and water, the weight of carbon dioxide formed is about -
(C2H5OH + 3O2 → 2CO2 + 3H2O)

Detailed Solution: Question 2


Some Basic Concepts of Chemistry - 1 - Question 3

The iron atoms in 1720 amu of ferric ferrocyanide is .....................
 

Detailed Solution: Question 3

Some Basic Concepts of Chemistry - 1 - Question 4


Detailed Solution: Question 4


Some Basic Concepts of Chemistry - 1 - Question 5

The hydrated salt Na2SO4.nH2O, undergoes 55% loss in weight on heating and becomes anhydrous. The value of n will be

Detailed Solution: Question 5


Some Basic Concepts of Chemistry - 1 - Question 6

Insulin contains 3.4% sulphur. What will be the minimum molecular weight of insulin ?

Detailed Solution: Question 6


Some Basic Concepts of Chemistry - 1 - Question 7

How many moles of electron weight one kilogram ?

Detailed Solution: Question 7


Some Basic Concepts of Chemistry - 1 - Question 8


Detailed Solution: Question 8


Some Basic Concepts of Chemistry - 1 - Question 9


Detailed Solution: Question 9

Some Basic Concepts of Chemistry - 1 - Question 10

The largest number of molecules is present in

Detailed Solution: Question 10


Some Basic Concepts of Chemistry - 1 - Question 11

25 g of NaOH is dissolved in 50 mL of water. The molarity of the solution is

Detailed Solution: Question 11


Some Basic Concepts of Chemistry - 1 - Question 12

Calculate percentage change in Mavg of the mixture, if PCl5 undergo 50% decomposition.

PCl5 → PCl3 + Cl2

Detailed Solution: Question 12


Some Basic Concepts of Chemistry - 1 - Question 13


Detailed Solution: Question 13


Some Basic Concepts of Chemistry - 1 - Question 14

Calculate the weight of lime (CaO) obtained by heating 200 kg of 95% pure lime stone (CaCO3).

Detailed Solution: Question 14


Some Basic Concepts of Chemistry - 1 - Question 15


Detailed Solution: Question 15

Some Basic Concepts of Chemistry - 1 - Question 16


Detailed Solution: Question 16


Some Basic Concepts of Chemistry - 1 - Question 17

A carbon compound containing carbon and oxygen has molar mass equal to 288. On analysis it is found to contain 50% by mass of
each element. Therefore molecular formula of the compound is -

Detailed Solution: Question 17


Some Basic Concepts of Chemistry - 1 - Question 18

Four one litre flasks are separately filled with the gases hydrogen, helium, oxygen and ozone at the same room temperature and pressure.
The ratio of total number of atoms of these gases present in the different flasks would be

Detailed Solution: Question 18


Some Basic Concepts of Chemistry - 1 - Question 19


Detailed Solution: Question 19


Some Basic Concepts of Chemistry - 1 - Question 20


Detailed Solution: Question 20

Some Basic Concepts of Chemistry - 1 - Question 21

The mass of 2 gram atoms of calcium
 

Detailed Solution: Question 21

A gram-atom means 1 mole of atoms, whose mass in grams equals the atomic mass.

  • Atomic mass of calcium (Ca) = 40 g/mol
  • Mass of 1 gram-atom of Ca = 40 g
  • Mass of 2 gram-atoms of Ca = 2 × 40 = 80 g

Some Basic Concepts of Chemistry - 1 - Question 22

What volume of 0.4-M FeCl3.6H2O will contain 600 mg of Fe3+ ?

Detailed Solution: Question 22


Some Basic Concepts of Chemistry - 1 - Question 23


Detailed Solution: Question 23


Some Basic Concepts of Chemistry - 1 - Question 24


Detailed Solution: Question 24


Some Basic Concepts of Chemistry - 1 - Question 25

At 100ºC and 1 atm, if the density of liquid water is 1.0 g cm–3 and that of water vapor is 0.0006 g cm–3, then the volume occupied by water molecules in 1 litre of steam at that temperature is -

Detailed Solution: Question 25

Some Basic Concepts of Chemistry - 1 - Question 26


Detailed Solution: Question 26


Some Basic Concepts of Chemistry - 1 - Question 27


Detailed Solution: Question 27


Some Basic Concepts of Chemistry - 1 - Question 28


Detailed Solution: Question 28

Some Basic Concepts of Chemistry - 1 - Question 29

Volume of a gas at NTP is 1.12 × 10–7 c.c. The number of molecules in it will be -

Detailed Solution: Question 29


Some Basic Concepts of Chemistry - 1 - Question 30


Detailed Solution: Question 30


335 videos|697 docs|300 tests
Information about Some Basic Concepts of Chemistry - 1 Page
In this test you can find the Exam questions for Some Basic Concepts of Chemistry - 1 solved & explained in the simplest way possible. Besides giving Questions and answers for Some Basic Concepts of Chemistry - 1, EduRev gives you an ample number of Online tests for practice
Download as PDF