Directions: Fill in the blank.
Dare ______ mistakes.
Directions: Select one figure from the answer figures which will continue the same series as given in the problem figures.

SBI lent 1 lakh to farmer Kishan Singh at 6% per annum, at simple interest for a period of 10 years. Meanwhile, the bank offered a discount in the rate of interest, according to the Govt. policy for farmers. Thus, the rate of interest is decreased to 4% p.a. In this way, Kishan Singh had to pay a total amount 1.48 lakh. After how many years did Kishan Singh got the discount in the rate of interest?
In a class, some students play cricket and some play hockey. The students who play cricket is twice in number than those who play only hockey. The students who takes hockey are double in number than those who play only cricket. Consider the following statements and find correct ones:
Sum total of those students who play either cricket or hockey or both is thrice of those who play both cricket and hockey.
Sum total of those who play only cricket and only hockey, is twice the number of students playing both cricket and hockey.
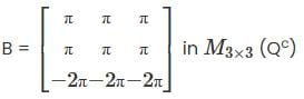
f T =
| eigen values of B are in Z}, then which of the following statement(s) is true?
Suppose that L(y) = y'' + a1y' + a2y = b(x), where a1, a2 are constants and b(x) is a continuous function on
Then consider the statements
I. If b(x) is bounded on [0, ∞), then every solution of L(y) = b(x) is bounded on [0, ∞).
II. If b(x) → 0 as x → ∞, then every solution of L(y) = b(x) tends too as x → ∞.
Number of elements of order p in Zp2q where p and q are distinct prime is;
Suppose f ; ℝ→ℝ is an odd and differentiable fraction. Then for every x0 ∈ ℝ. f'(-x0) is equal to;
For which value of the system of linear equation,

have no solution?
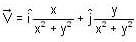
Ifu is harmonic on
is the normal derivative of u onthe boundary of the unit disc,then what is the value of
?
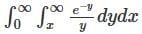
If
what is the value of this integral
the circular path 
On applying the mean value theorem on integral, then find out the average value of f(x) = 3 - 3/2x or on [0, 2].
The value of λ for which vectors
and
are orthogonal is-
The radius of convergence of the series
, where a0 = 1. an = 3-n an-1 for n ∈ ℕ, is
he number of real root of the equation x5 + x3 - 2 = 0 is
The wronskian of two solutions of the differential equation t2y'' - t(t+2)y' + (t+2)y = 0 satisfies W (1) = 1 is
If
what is the value of this integral
the circular path x2 + y2 = 1 ?