JEE Exam  >  JEE Test  >  BITSAT Mock Tests Series & Past Year Papers 2026  >  BITSAT Mock Test - 1 - JEE MCQ

BITSAT Mock Test - 1 Free Online Test 2026


Full Mock Test & Solutions: BITSAT Mock Test - 1 (130 Questions)

You can boost your JEE 2026 exam preparation with this BITSAT Mock Test - 1 (available with detailed solutions).. This mock test has been designed with the analysis of important topics, recent trends of the exam, and previous year questions of the last 3-years. All the questions have been designed to mirror the official pattern of JEE 2026 exam, helping you build speed, accuracy as per the actual exam.

Mock Test Highlights:

  • - Format: Multiple Choice Questions (MCQ)
  • - Duration: 180 minutes
  • - Total Questions: 130
  • - Analysis: Detailed Solutions & Performance Insights
  • - Sections covered: Physics, Chemistry, English Proficiency & Logical Reasoning, Engineering Entrance (Mathematics)

Sign up on EduRev for free and get access to these mock tests, get your All India Rank, and identify your weak areas to improve your marks & rank in the actual exam.

BITSAT Mock Test - 1 - Question 1

A particle of charge q moves with a velocity m/s in a magnetic field T, where a, b and c are constants. The magnitude of the force experienced by the particle is

Detailed Solution: Question 1

The magnetic force on a charged particle is:

Compute the cross product:

BITSAT Mock Test - 1 - Question 2

A man is swimming perpendicular to a river with a constant acceleration (in y direction). The river is flowing with a constant velocity in x direction. The trajectory of the man as seen from the ground is

Detailed Solution: Question 2

Let velocity of the river be and velocity of the person w.r.t. river
Velocity of the person w.r.t. ground

or,

Displacement of the person along x-axis in time t w.r.t. earth
------1
Displacement of the person along y-axis in time t
----- 2, where a is the acceleration of the person
From 1 and 2, we have

Hence, trajectory of the person w.r.t. earth is a parabola.

BITSAT Mock Test - 1 - Question 3

Two coils A and B, each of 10 turns and radius 20 cm, are held such that coil A lies in the vertical plane and coil B in the horizontal plane with their centres coinciding. What current should be passed through the coils so as to nullify Earth's magnetic field at their common centre?
(Given: Horizontal component of Earth's field = 0.314 x 10-4 T, angle of dip = 26.6o and tan 26.6o = 0.5)

Detailed Solution: Question 3

Angle of dip (θ) = tan-1 (BV / BH) where BV and BH are the vertical and horizontal components of earth's field respectively. Thus
BV = BH tan(θ) = 0.314 × 10-4 × tan 26.6°
= 0.157 × 10-4 T
If the plane of the vertical coil A is perpendicular to the magnetic meridain, the field produced by it can neutralize the horizontal component of earth's field if
μ0I A n / 2 r = BH
or (4π x 10-7 x I A x 10) / (2 x 0.2) = 0.314 × 10-4
which gives IA = 1 A.
Similarly, the magnetic field produced by the horizontal coil B will be vertical and will neutralize the vertical component BV of the earth's field, if
μ0I B n / 2 r = BV
or (4π x 10-7 x I B x 10) / (2 x 0.2) = 0.157 × 10-4
which gives IB = 0.5 A.
Hence the correct choices is (4).

BITSAT Mock Test - 1 - Question 4

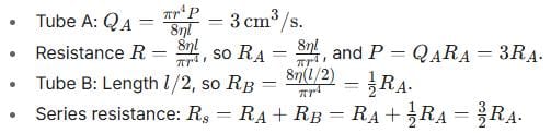
Narrow capillary tubes A and B are of length l and l/2 and of the same radius r. The rate of flow of water through the tube A under a constant pressure head 'P' is 3 cm3/sec. If A and B are connected in series and the same pressure difference 'P' is maintained between the ends of the composite tube, then the rate of flow of water is

Detailed Solution: Question 4

Using Poiseuille’s law, flow rate

Flow rate in series with total pressure P:

Option C is correct.

BITSAT Mock Test - 1 - Question 5

The height of a solid cylinder is four times its radius. It is kept vertically at time t = 0 on a belt, which is moving in the horizontal direction with a velocity v = 2.45 t2, where v is in ms–1 and t is in seconds. If the cylinder does not slip, then it will topple over at time t equal to

Detailed Solution: Question 5



BITSAT Mock Test - 1 - Question 6

If g is the acceleration due to gravity on the surface of the Earth, then the gain in potential energy of an object of mass m raised from the Earth's surface to a height equal to the radius R of the earth is

Detailed Solution: Question 6

If M is the mass of the earth, the gain in potential energy is given by

Hence the correct choice is (2). Remember, the expression PE = mgh is an approximate one which is valid if h << R.

BITSAT Mock Test - 1 - Question 7

Two point charges q1 = 2μC and q2 = 1μC are placed at distances b = 1 cm and a = 2 cm from the origin on the y-axis and x-axis as shown in the figure. The electric field vector at point P(a, b) will subtend an angle θ with the x-axis given by

Detailed Solution: Question 7

The electric field E1 at (a, b) due to q1 has a magnitude


And is directed along + x-axis. The electric field E2 at (a, b) due to q2 has a magnitude
And is directed along + y-axis. The angle θ subtended by the resultant field E with the x-axis is given by
Hence, the correct choice is (B).

BITSAT Mock Test - 1 - Question 8

A cylindrical tank is open at the top and has cross-sectional area a1. Water is filled in it up to a height 'h'. There is a hole of cross-sectional area a2 at its bottom. Given a1 = 3a2.
The time taken to empty the tank is

Detailed Solution: Question 8

Given:

  • Cylindrical tank open at the top

  • Cross-sectional area of the tank = a₁

  • Cross-sectional area of the hole at the bottom = a₂

  • a₁ = 3a₂

  • Initial height of water = h

  • Acceleration due to gravity = g

  • Find: Time taken to empty the tank in terms of h and g

Step 1: Use Torricelli’s theorem

According to Torricelli's theorem, the speed v of the water flowing out from the hole is:
v = √(2gh)
(where h is the instantaneous height of the water level above the hole)

Step 2: Volume flow rate

The volumetric flow rate Q through the hole is:
Q = a₂ × v = a₂ × √(2gh)

Step 3: Rate of decrease of water volume in the tank

Volume of water in the tank at height h is:
V = a₁ × h

The rate of change of volume with respect to time is:
dV/dt = a₁ × dh/dt

Since water is flowing out of the tank, this rate is negative and equal to -Q:
a₁ × dh/dt = -a₂ × √(2gh)

Step 4: Set up the differential equation

Divide both sides by a₁:
dh/dt = -(a₂ / a₁) × √(2gh)

Since a₁ = 3a₂,
dh/dt = - (1/3) × √(2gh)

Step 5: Separate variables and integrate

Rewriting:
dh / √h = - (1/3) × √(2g) dt

Now integrate both sides.
Left side: integrate from h to 0 (final height),
Right side: integrate from 0 to T (time to empty)

Integral of h^(-1/2) is 2√h, so:

-2√h = - (1/3) × √(2g) × T

Cancel negatives:

2√h = (1/3) × √(2g) × T

Step 6: Solve for T

Multiply both sides by 3:

6√h = √(2g) × T

Divide both sides by √(2g):

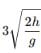
T = 6√h / √(2g)

Now simplify:

T = √(h / g) × 6 / √2 = 3 × √(2h / g)

Final Answer:

This is the time taken to empty the tank.

BITSAT Mock Test - 1 - Question 9

A particle starts from rest. Its acceleration at time t = 0 is 5 ms-2, which varies with time as shown in the figure below. The maximum speed of the particle will be

Detailed Solution: Question 9

Area under a - t graph gives the change in velocity.


u = 0
v = 15 m/s
Note: Only solutions to be posted here. For any other discussions, please scroll down to the discussion forum.

BITSAT Mock Test - 1 - Question 10

The magnetic field at the centre of a circular coil of radius r and carrying a current I is B. What is the magnetic field at a distance x =√3r from the centre on the axis of the coil?

Detailed Solution: Question 10

BITSAT Mock Test - 1 - Question 11

A tank is filled with water of density 1 g/cm3 and oil of density 0.9 g/cm3. The height of water layer is 100 cm and that of oil layer is 400 cm. If g = 980 cm/s2, then the velocity of efflux from an opening in the bottom of the tank will be

Detailed Solution: Question 11

Let dw and do be the densities of water and oil, then the pressure at the bottom of the tank = hwdwg + h0d0g
Let this pressure be equivalent to pressure due to water of height h. Then hdwg = hwdwg + h0d0g

= 100 + 360 = 460
According to Toricelli's theorem,

BITSAT Mock Test - 1 - Question 12

The correct order of hydration energy of alkali metal is

Detailed Solution: Question 12

Hydration energy .
With the increase in size of the alkali metal, the charge density decreases and the extent of hydration decreases.
Decreasing order of size of alkali metal is
Rb+ > K+ > Na+ > Li+
Therefore, decreasing order of hydration energy is
Li+ > Na+ > K+ > Rb+

BITSAT Mock Test - 1 - Question 13

Choose the incorrect statement.

Detailed Solution: Question 13

Surface tension of a liquid decreases with increase in temperature because of decrease in intermolecular forces of attraction.

BITSAT Mock Test - 1 - Question 14

If 0.1 M of a weak acid is taken and its percentage of degree of ionisation is 1.34%, then its ionisation constant will be

Detailed Solution: Question 14

According to Ostwald's dilution law,
Ka = , where Ka = Equilibrium constant for weak acid
C = Concentration
α = Degree of ionisation of weak acid (HA)
For very weak acid, α <<<< 1 or 1 - α = 1
Ka = Cα2
Or,
C = 0.1 M, α = 1.34% = 0.0134
Ka = 0.1 x (1.34 10-2)2
= 1.79 x 10-5

BITSAT Mock Test - 1 - Question 15

Directions: In the following question, some part of the sentence may have an error of grammar or syntax. Find out which part of the sentence has the error and choose the correct option. If the sentence is free from errors, "No error" is the answer.
I was surprised (A)/ when the hostess smiled (B)/ as if she saw me before. (C)/ No error (D)

Detailed Solution: Question 15

The sentence is in past tense. The use of 'before' indicates an earlier past event. To show the earlier activity in the past, we use 'past perfect'. So, the correct phrase should be 'as if she had seen me before'.

BITSAT Mock Test - 1 - Question 16

Directions: Find the wrong term in the following series.
49, 49, 50, 54, 60, 79, 104

Detailed Solution: Question 16

The series should follow increments of squares: 02,12,22,32,42,52. thus:
49 + 0 = 49
49 + 1 = 50
50 + 4 = 54
54 + 9 = 63
63 + 16 = 79
79 + 25 = 104
Thus, 60 is the wrong term in the series.

BITSAT Mock Test - 1 - Question 17

Directions: In the following question, there is a certain relationship between the two terms given to the left of the sign (: :). The same relationship exists between the two terms to its right, out of which one is missing. Find the missing term from the given alternatives.
RSQ : UVT : : XYW : ?

Detailed Solution: Question 17

As,
R + 3 = U
S + 3 = V
Q + 3 = T
Similarly,
X + 3 = A
Y + 3 = B
W + 3 = Z
Hence, ABZ is the correct answer.

BITSAT Mock Test - 1 - Question 18

From the given alternatives, find the correct relationship that holds between two terms:
FJUL : BOQQ :: LHRX : _________

Detailed Solution: Question 18

Expression: FJUL : BOQQ :: LHRX :
The pattern followed is:

Similarly, LHRX : HMNC

BITSAT Mock Test - 1 - Question 19

Directions: Select the related number from the given alternatives.
36 : 216 : : 81 : ?

Detailed Solution: Question 19

(6)2 = 36 and (6)3 = 216
Similarly,
(9)2 = 81 and (9)3 = 729

BITSAT Mock Test - 1 - Question 20

To whom is Chhaya married?

Detailed Solution: Question 20

From the given information, two conclusions can be obtained:
1. Anand is not married to Bharti or Chhaya, i.e. Anand can be married to either Divya or Alka.

2. Basant and Diganto are not married to Divya or Bharti, i.e. Basant and Diganto are married to Alka or Chhaya.

From these two conclusions, we can see that since Alka would be married to either Basant or Diganto, Anand would surely be married to Divya, which leaves Chetan and Bharti as a pair as well. This gives two final possible sets of pairs of males and females.
1. When Basant is married to Alka

2. When Basant is married to Chhaya

Following these two possibilities, the partners of Basant and Diganto, i.e. Chhaya and Alka cannot be known for sure without any more information.
Therefore, it cannot be determined whom Chhaya is married to.

BITSAT Mock Test - 1 - Question 21

Directions: Select the one which best expresses the same sentence in passive/active voice.
His pocket has been picked.

Detailed Solution: Question 21

Whenever the subject is missing in the passive voice, we provide it while changing into the active voice. Indefinite pronoun 'someone' is the correct subject supplied. 'His pocket' will become the object in passive voice. Hence, option D is the correct answer.

BITSAT Mock Test - 1 - Question 22

If the number of terms in the expansion of (x - 2y + 3z)n is 45, then what is the value of n?

Detailed Solution: Question 22

Since the number of terms in (x1 + x2 + x3 + ... + xm)n is n + m - 1Cm - 1, the number of terms in (x - 2y + 3z)n, where m = 3, is n + 3 - 1C3 - 1.
= (n + 1) (n + 2) / 2
We must have (n + 1) (n + 2) / 2 = 45
⇒ (n + 1)(n + 2) = 90
⇒ n = 8

BITSAT Mock Test - 1 - Question 23

If θ is an acute angle and sin θ/2 = √[(x - 1) / 2x)], then tan θ is equal to

Detailed Solution: Question 23

sin θ/2 = √[(x - 1) / 2x)]
sin θ/2 = √[(1 - (1 / x) / 2)]
⇒ θ is acute
Hence, sin θ/2 = + (Positive)
Therefore, by formula, sin θ/2 = √[(1 - cosθ) / 2]
cosθ = 1 / x
or, sec θ = x
Also, 1 + tan2 θ = sec2 θ
1 + tan2 θ = x2
tan2 θ = x2 - 1
tan θ = √(x2 - 1)
Hence, option (2) is correct.

BITSAT Mock Test - 1 - Question 24

The solution of (dy / dx) + 1 = cosec (x + y)  is

Detailed Solution: Question 24

∵ (dy/dx) + 1 = cosec (x + y)
Let x + y = t
⇒ 1 + (dy/dx) = dt/dx = cosec t
∴ dt / cosec t = dx
On integrating both sides, we get
∫ sin t dt = ∫ dx
⇒ - cos t = x + c'
⇒ cos (x + y) + x = c

BITSAT Mock Test - 1 - Question 25

The value of

Detailed Solution: Question 25

BITSAT Mock Test - 1 - Question 26

There are n different books and m copies of each in a college library. The number of ways in which a selection of one or more books can be done is

Detailed Solution: Question 26

For each book, we may take 0, 1, 2, 3, ... m copies.
∴ We may deal with each book in (m + 1) ways and with all the books in (m + 1)n ways.
But, this includes the case where all books are rejected and no selection is made.
So, the number of ways in which selection can be made = (m + 1)n − 1

BITSAT Mock Test - 1 - Question 27

If , then

Detailed Solution: Question 27


if f coefficient of x2 = 0 and coefficient of x = 0
⇒ (1 - a) = 0 and - (a + b) = 0
⇒ a = 1 and b = -1

BITSAT Mock Test - 1 - Question 28

The area of the triangle formed by the line x + y = 3 and the angle bisector of the pair of lines x2 - y2 + 2y = 1 is

Detailed Solution: Question 28

x² - y² + 2y = 1
⇒ x² - (y² - 2y + 1) = 0
⇒ x² - (y - 1)² = 0
⇒ (x + y - 1)(x - y + 1) = 0
So the lines are x + y - 1 = 0 and x - y + 1 = 0
Their angle bisectors are
(x + y - 1) / √(12 + 12) = ±  (x - y + 1) / √(12 + 12)
(x + y - 1) / √2 = ±  (x - y + 1) / √2
⇒ x + y - 1 = ± (x - y + 1) x + y - 1 = x - y + 1
or
x + y - 1 = -x + y - 1
⇒ 2y = 2 or 2x = 0 y = 1 or x = 0
Given x + y = 3
⇒ Base of triangle = 2 units
⇒ Height of triangle = 3 - 1 = 2 units
⇒ Area = 1/2 x base x height
= 1/2 x 2 x 2 = 2 sq. units.

BITSAT Mock Test - 1 - Question 29

How many words can be formed by taking four different letters of the word MATHEMATICS?

Detailed Solution: Question 29

In the word MATHEMATICS, there are eight distinct letters.
M, A, T, H, E, I, C and S
We have to arrange 4 letters from them.
Therefore, number of ways =  8C4 × 4! = 1,680

BITSAT Mock Test - 1 - Question 30

The solution curves of the differential equation (xdx + ydy) √(x2 + y2)  = (xdy - ydx) (√(1 - x2 - y2)) are

Detailed Solution: Question 30

Let
x = r cosθ, y = r sinθ
dx = cosθ dr - r sinθdθ,
dy = sinθ dr + r cosθdθ,
Hence,
xdx + ydy = r cosθ(cosθ dr - r sinθdθ) + r sinθ(sinθdr + r cosθdθ),
 = dθ ⇒ sin-1 r = θ + α
(xdx + ydy)/√(x² + y²) = r²dr
Similarly, (xdy - ydx)√1 - (x² + y²) = r² √1 - r² dθ
dr/√1 - r² = dθ ⇒ sin⁻¹ r = θ + α
r = sin(θ + α)
⇒ x2 + y2 - x sinα - y cosα = 0
∴ radius = 1/2

View more questions
2 videos|18 docs|70 tests
Information about BITSAT Mock Test - 1 Page
In this test you can find the Exam questions for BITSAT Mock Test - 1 solved & explained in the simplest way possible. Besides giving Questions and answers for BITSAT Mock Test - 1, EduRev gives you an ample number of Online tests for practice
Download as PDF