You can boost your SSC CGL 2026 exam preparation with this SSC CGL English (Tier II) Mock Test - 5 (available with detailed solutions).. This mock test has been designed with the analysis of important topics, recent trends of the exam, and previous year questions of the last 3-years. All the questions have been designed to mirror the official pattern of SSC CGL 2026 exam, helping you build speed, accuracy as per the actual exam.
Mock Test Highlights:
Sign up on EduRev for free and get access to these mock tests, get your All India Rank, and identify your weak areas to improve your marks & rank in the actual exam.
A hollow sphere of internal and external diameters 4 cm and 8 cm, respectively is melted into a solid cone of base diameter 8 cm. The height of the cone is:
Detailed Solution: Question 1
The inner diameter of a cylindrical wooden pipe is 24 cm and its outer diameter is 28 cm and its outer diameter is 28 cm. The length of the pipe is 35 cm . Find the mass of the pipe, if 1 cm3 of wood has a mass of 0.6 g.
Detailed Solution: Question 2
The male population of village A is approximately what percent of the total male population of three villages?
Detailed Solution: Question 3
Harpreet tosses two different coins simultaneously (say, one is of ₹
and other of ₹
). What is the probability that she gets at least one head?
Detailed Solution: Question 4
The sum of the radius and height of a cylinder is 35 cm. its total surface area is 1540 cm2. What is the volume of cylinder?
Detailed Solution: Question 5
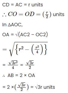
Two circles having radii r units intersect each other in such a way that each of them passes through the centre of the other. Then the length of their common chord is:
Detailed Solution: Question 6
AB||CD and EF is the transversal meeting AB and CD at P and Q, respectively. If ∠APE = 6x and ∠PQD = 4x, then ∠APQ = ___________.
Detailed Solution: Question 7
There are 4 white and 3 black balls in a box. In another box, there are 3 white and 4 black balls. An unbiased dice is rolled. If it shows a number less than or equal to 3, then a ball is drawn from the second box, otherwise from the first box. If the ball is drawn is black, then the probability that the ball was drawn from the first box is:
Detailed Solution: Question 8
Direction: A series is given with one term missing. Select the correct alternative from the given ones that will complete the series.
EG, HJ, KM, NP, ?
Detailed Solution: Question 9
Which two signs need to be interchanged to make the given equation correct?
104 ÷ 8 + 6 - 9 × 3 = 34
Detailed Solution: Question 10
Choose a figure which would most closely resemble the unfolded form of Figure (B).

Detailed Solution: Question 11
Direction: Select the letter-cluster from among the given options that can replace the question mark (?) in the following series.
UKT, PFO, KAJ, ?
Detailed Solution: Question 12
If ‘A’ denotes ‘addition’, ‘B’ denotes ‘multiplication’, ‘C’ denotes ‘subtraction’, and ‘D’ denotes ‘division’, then what will be the value of the following expression?
483 D 23 A 93 C 16 B 4C (15 B 2)
Detailed Solution: Question 13
Direction: One statement is given, followed by two inferences I and II. You have to consider the statements to be true, even if it seems to be at variance from commonly known facts. You have to decide which of the given inferences, if any, follows from the given statement.
Statement: The price of a painting might also depend on the time period during which it was created, for instance, a painting made in the 16th century is likely to cost much more than art paintings of the modern-day.
Inferences:
I: Ancient paintings are precious.
II: Paintings and sculptures can be a good alternative avenue for investment in times of crisis.
Detailed Solution: Question 14
Which among the following should be the ultimate goal of the Indian government when it gets the non-permanent membership of UNSC?
Detailed Solution: Question 15
Partha felt lonely because _________ visited him when he was at the hospital.
Detailed Solution: Question 16
A synonym for the word 'startled' in the passage is:
Detailed Solution: Question 17
Find out the appropriate word in blank no. (1).
Detailed Solution: Question 18
Find out the appropriate word in blank no. (5).
Detailed Solution: Question 19
Which among the following is SIMILAR in meaning to the word Misnomer as used in the passage?
Detailed Solution: Question 20
Direction: In the following question, parts of a sentence have been jumbled. You are required to rearrange the jumbled parts of the sentence and mark your response
(1) New Industries
P. interests, usually
Q. supported by foreign
R. to their employees at all
S. offer better salaries
(6) levels of responsibility
Detailed Solution: Question 21
Direction: In the question given below out of four alternatives, choose the one which can be substituted for the given word/sentence.
Absence of the government
Detailed Solution: Question 22
The sea level is divided into which of the following major parts?
Detailed Solution: Question 23
Which one of the following pairs of islands is separated from each other by the 'Ten Degree Channel'?
Detailed Solution: Question 24
Which of the following was not added to the Directive Principles by the 42nd Amendment of the Constitution?
Detailed Solution: Question 25
In which country did the 16th edition of the trilateral Exercise 'Dosti-16' take place?
Detailed Solution: Question 26
Consider the following statements:
1. Chairpersons of the National Human Rights Commission (NHRC) and State Human Rights Commission (SHRC) are appointed by the President of India.
2. Only the President of India can remove the chairpersons of NHRC and SHRC.
Which of the statements given above is/are correct?
Detailed Solution: Question 27
What will happen when a process terminates?
Detailed Solution: Question 28
Which of the following shortcut key is used to go to the top of an MS Word document?
Detailed Solution: Question 29
Which process checks to ensure the components of the computer are operating and connected properly?
Detailed Solution: Question 30
350 docs|152 tests |
350 docs|152 tests |