JEE Exam  >  JEE Test  >  Daily Test Preparation  >  Test: Vector Algebra: Dot and Cross Product(22 Nov) - JEE MCQ

Test: Vector Algebra: Dot and Cross Product(22 Nov) - JEE MCQ


Test Description

10 Questions MCQ Test Daily Test for JEE Preparation - Test: Vector Algebra: Dot and Cross Product(22 Nov)

Test: Vector Algebra: Dot and Cross Product(22 Nov) for JEE 2026 is part of Daily Test for JEE Preparation preparation. The Test: Vector Algebra: Dot and Cross Product(22 Nov) questions and answers have been prepared according to the JEE exam syllabus.The Test: Vector Algebra: Dot and Cross Product(22 Nov) MCQs are made for JEE 2026 Exam. Find important definitions, questions, notes, meanings, examples, exercises, MCQs and online tests for Test: Vector Algebra: Dot and Cross Product(22 Nov) below.
Solutions of Test: Vector Algebra: Dot and Cross Product(22 Nov) questions in English are available as part of our Daily Test for JEE Preparation for JEE & Test: Vector Algebra: Dot and Cross Product(22 Nov) solutions in Hindi for Daily Test for JEE Preparation course. Download more important topics, notes, lectures and mock test series for JEE Exam by signing up for free. Attempt Test: Vector Algebra: Dot and Cross Product(22 Nov) | 10 questions in 20 minutes | Mock test for JEE preparation | Free important questions MCQ to study Daily Test for JEE Preparation for JEE Exam | Download free PDF with solutions
Test: Vector Algebra: Dot and Cross Product(22 Nov) - Question 1

If | a | = 2, | b | = 5 and | a × b | = 8, thencan be equal to

Detailed Solution for Test: Vector Algebra: Dot and Cross Product(22 Nov) - Question 1

Test: Vector Algebra: Dot and Cross Product(22 Nov) - Question 2

If  are unit vectors along X-axis, Y-axis and Z-axis respectively, then

Detailed Solution for Test: Vector Algebra: Dot and Cross Product(22 Nov) - Question 2

As we know that,

Test: Vector Algebra: Dot and Cross Product(22 Nov) - Question 3

The area of triangle whose adjacent sides are is :

Detailed Solution for Test: Vector Algebra: Dot and Cross Product(22 Nov) - Question 3

Area of triangle = ½(a * b)
a = (1, 0, -2)   b = (2, 3, 1)
= i(0 + 6) + j(-4 - 1) + k(3 - 0)
= 6i - 5j + 3k
|a * b| = (36 + 25 + 9)½
|a * b| = (70)½
Area of triangle = ½(a * b)
= [(70)½]/2

Test: Vector Algebra: Dot and Cross Product(22 Nov) - Question 4

The value of  is:

Detailed Solution for Test: Vector Algebra: Dot and Cross Product(22 Nov) - Question 4

 i.(j * k) + j.(k * i) + k(i * j)
= i.(i) + j.(j) + k.(k)
= 1 + 1 + 1 
= 3

Test: Vector Algebra: Dot and Cross Product(22 Nov) - Question 5

The area of parallelogram whose sides areis:​

Detailed Solution for Test: Vector Algebra: Dot and Cross Product(22 Nov) - Question 5

The area of a parallelogram formed by two vectors a and b is given by the magnitude of the cross product of the two vectors:

Area = |a × b|

Given:

a = i - 3j + 4k
b = 3i + j - 2k

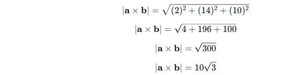
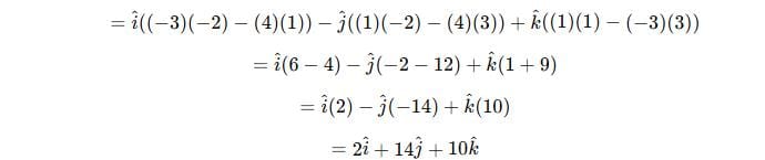
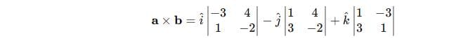
Step 1: Compute the cross product a × b

Expanding the determinant:

Calculate the 2x2 determinants:

Step 2: Find the magnitude of the cross product

Now, calculate the magnitude of the vector a × b

Test: Vector Algebra: Dot and Cross Product(22 Nov) - Question 6

If   are any two vectors, then

Detailed Solution for Test: Vector Algebra: Dot and Cross Product(22 Nov) - Question 6


Test: Vector Algebra: Dot and Cross Product(22 Nov) - Question 7

The angle between the vectors is:    is :

Detailed Solution for Test: Vector Algebra: Dot and Cross Product(22 Nov) - Question 7

a = 6i - 3j + 2k      b = 2i + j - 2k
a.b = 12 - 3 - 4 = 5
|a| = [(6)2 + (-3)2 + (2)2]1/2 
|a| = [36 + 9 + 4]½
|a| = (49)½
|a| = 7
|b| = [(2)2 + (1)2 + (-2)2]½
|b| = [4 + 1 + 4]½
|b| = 3
Cosθ = (a.b)/|a||b|
= 5/(7)(3)
= 5/21
θ = cos-1(5/21)

Test: Vector Algebra: Dot and Cross Product(22 Nov) - Question 8

If  are two vectors, such that , then = ……​

Detailed Solution for Test: Vector Algebra: Dot and Cross Product(22 Nov) - Question 8

 |a - b|2 = |a|2 + |b|2 - 2|a||b|
|a - b|2  = (3)2 + (2)2 - 2(5)
|a - b|2  = 9 + 4 - 10
|a - b|2  = 3 
|a - b|   = (3)½.

Test: Vector Algebra: Dot and Cross Product(22 Nov) - Question 9

The projection of the vector  on the vector is:​

Detailed Solution for Test: Vector Algebra: Dot and Cross Product(22 Nov) - Question 9

Projection = (A.B)/|B|
= [(i + 2j + k) . (2i + 3j + 2k)]/[(2)2 + (3)2 + (2)2]½
= (2 + 6 + 2)/[4 + 9 + 4]½
= 10/(17)1/2

Test: Vector Algebra: Dot and Cross Product(22 Nov) - Question 10

The angle between two non-zero vectors  is given by

Detailed Solution for Test: Vector Algebra: Dot and Cross Product(22 Nov) - Question 10

A sequence is a function whose domain is the set of natural numbers or a subset of the natural numbers. We usually use the symbol an to represent a sequence, where n is a natural number and an is the value of the function on n. A sequence may be finite or infinite.

360 tests
Information about Test: Vector Algebra: Dot and Cross Product(22 Nov) Page
In this test you can find the Exam questions for Test: Vector Algebra: Dot and Cross Product(22 Nov) solved & explained in the simplest way possible. Besides giving Questions and answers for Test: Vector Algebra: Dot and Cross Product(22 Nov), EduRev gives you an ample number of Online tests for practice
Download as PDF