You can boost your Civil Engineering (CE) 2026 exam preparation with this BPSC AE Civil Paper 5 (Civil) Mock Test - 1 (available with detailed solutions).. This mock test has been designed with the analysis of important topics, recent trends of the exam, and previous year questions of the last 3-years. All the questions have been designed to mirror the official pattern of Civil Engineering (CE) 2026 exam, helping you build speed, accuracy as per the actual exam.
Mock Test Highlights:
Sign up on EduRev for free and get access to these mock tests, get your All India Rank, and identify your weak areas to improve your marks & rank in the actual exam.
What is the main advantage of using the double integration method over other methods for analyzing slopes and deflections?
Detailed Solution: Question 1
As per IS: 1892 – 1979; what should be the maximum thickness of cutting edge of sampling tube of 70 mm external diameter which is required for sampling in undisturbed stiff clay soil?
Detailed Solution: Question 2
Match List-I (Type of Arch) with List-II (Indeterminacy) and select the correct answer using the codes given below the lists:

Detailed Solution: Question 3
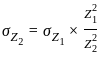
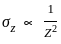
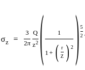
σz is the vertical stress at a depth equal to Z in the soil mass due to a surface point load Q. The vertical stress at depth equal to 2 Z will be _______
Detailed Solution: Question 4
The minimum cement content (kg/m3) for a pre-specified strength of concrete (using standard notations) premised on 'free water-cement ratio' will be as
Detailed Solution: Question 5
Detailed Solution: Question 6
The cement concrete from which entrained air and excess water are removed after placing it in position is called
Detailed Solution: Question 7
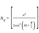
The bearing capacity factors Nc, Nq and Ny are functions of
Detailed Solution: Question 8
Detailed Solution: Question 9
In plate girders, the web plate is provided with stiffness when the ratio of clear depth to thickness of web is greater than
Detailed Solution: Question 10
Identify FALSE statement from the following:
Detailed Solution: Question 11
_______ is the phenomenon of a material failing under very little stress due to repeated cycles of loading.
Detailed Solution: Question 12
Drainage is not permitted during application of cell pressure (before application of deviator stress) in:
(1) Unconsolidated undrained test
(2) Consolidated undrained test
(3) Consolidated drained test
Out of these statements:
Detailed Solution: Question 13
If E, G, K, and μ represent the elastic modulus, shear modulus, bulk modulus, and Poisson’s ratio respectively of a linear elastic, isotropic and homogeneous material, and if you need to express the stress-strain relationships completely for this material, at least:
Detailed Solution: Question 14
In order to account for shear deformation effects, the effective slenderness ratio of laced columns shall be taken as________ time(s) the actual maximum slenderness ratio.
Detailed Solution: Question 15
What is the stiffness factor for a beam simply supported at both ends?
Detailed Solution: Question 16
Detailed Solution: Question 17
The coefficient of permeability of clay is not more than
Detailed Solution: Question 18
Which one of the following statements is NOT correct related to the earthquake resistant design?
Detailed Solution: Question 19
Pick up the incorrect statement from the following.
Detailed Solution: Question 20
Detailed Solution: Question 21
What largest internal pressure can be applied to a cylindrical tank of 2 m diameter and 10 mm wall thickness? (Ultimate tensile strength of steel is 480 MPa and a factor of safety is 8.)
Detailed Solution: Question 22
Two beams have the same width but the first beam has double the depth of the second beam. The elastic strength of the first beam compared to the second beam will be
Detailed Solution: Question 23
Detailed Solution: Question 24
Detailed Solution: Question 25
For a shaft transmitting power 'P' at rpm N, the diameter of shaft would be proportional to
Detailed Solution: Question 26
The phenomenon for the internal transfer of forces from one leg to the other is
Detailed Solution: Question 27
Detailed Solution: Question 28
The graph which represents stress (σ) vs strain (ε) characteristics of a Elastic Perfectly Plastic material is:
Detailed Solution: Question 29
Portland cement is manufactured by burning which of the following materials in a kiln?
Detailed Solution: Question 30