You can prepare effectively for RRB NTPC/ASM/CA/TA RRB NTPC Graduate Level Mock Test Series 2026 with this dedicated MCQ Practice Test (available with solutions) on the important topic of "RRB NTPC Mathematics Test - 1". These 30 questions have been designed by the experts with the latest curriculum of RRB NTPC/ASM/CA/TA 2026, to help you master the concept.
Test Highlights:
Sign up on EduRev for free to attempt this test and track your preparation progress.
Detailed Solution: Question 1
Detailed Solution: Question 2
Detailed Solution: Question 3
Detailed Solution: Question 4
Detailed Solution: Question 5
Detailed Solution: Question 6
years at 8.8% p.a. at simple interest. What will be the simple interest (in Rs.) on the same sum at the same rate in
years?Detailed Solution: Question 7
Detailed Solution: Question 8
Detailed Solution: Question 9
In the given triangle, O is the incentre, AE = 4 cm, AC = 9 cm and BC = 10 cm. What is the length of side AB?

Detailed Solution: Question 10
The average age of Ram and Shyam is 28 years. If Rahim replaces Ram, then the average age will become 26 years. If Rahim replaces Shyam, then the average age will become 30 years. What are the respective ages of Ram, Shyam and Rahim?
Detailed Solution: Question 11
The following bar graph shows the number of coolers sold by shopkeepers A and B in different years. Study the graph and answer the question that follows.

The total number of coolers sold by shopkeeper B in 1995 and 1998 together is approximately what percentage more/less than the total number of coolers sold by the shopkeeper A in 1996 and 1997 together ?
Detailed Solution: Question 12
Detailed Solution: Question 13
Detailed Solution: Question 14
Find the least number which is completely divisible by 14, 15, and 18.
Detailed Solution: Question 15
S deposits a total of ₹50,000 in two accounts which give 8% and 12% simple interest annually, respectively. After one year, he gets a total ₹5,200. How much money does he deposit in the account with a 12% interest rate?
Detailed Solution: Question 16
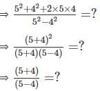
What value will come in place of question mark (?) in the following question?

Detailed Solution: Question 17
Monthly expenditure of a family has been shown in the following pie chart:

What is the percentage of expenditure on education out of total monthly expenditure?
Detailed Solution: Question 18
Detailed Solution: Question 19
and sec(A - B) =
, 0° < A + B ≤ 90° and A > B, find A and B.Detailed Solution: Question 20
Detailed Solution: Question 21
Marks (out of 100) of seven students in an examination are given below. Find the difference between their mean and median.
70, 55, 52, 85, 68, 67, 79
Detailed Solution: Question 22
Detailed Solution: Question 23
The areas of two similar triangles are 144 cm2 and 196 cm2 respectively. If the longest side of the smaller triangle is 24 cm, then find the longest side of the larger triangle.
Detailed Solution: Question 24
Detailed Solution: Question 25
The sum of the squares of 3 natural numbers is 261, and they are in the proportion 2 : 3 : 4. The difference between greatest number and smallest number is:
Detailed Solution: Question 26
The production of a particular article in a company is 350 at present. It increases on an annual basis by 8% during the first year, 5% during the second year and 4% during the third year. What will be the approximate production after the third year?
Detailed Solution: Question 27
Detailed Solution: Question 28
Detailed Solution: Question 29
A pipe P can fill an empty tank in 11 minutes and pipe Q can empty the same full tank in 33 minutes. How much time it will take for both the pipe together to fill it 2/3 part of the tank?
Detailed Solution: Question 30