You can boost your RRB NTPC/ASM/CA/TA 2026 exam preparation with this RRB NTPC (CBT II) Full Mock Test - 2 (Hindi) (available with detailed solutions).. This mock test has been designed with the analysis of important topics, recent trends of the exam, and previous year questions of the last 3-years. All the questions have been designed to mirror the official pattern of RRB NTPC/ASM/CA/TA 2026 exam, helping you build speed, accuracy as per the actual exam.
Mock Test Highlights:
Sign up on EduRev for free and get access to these mock tests, get your All India Rank, and identify your weak areas to improve your marks & rank in the actual exam.
Detailed Solution: Question 1
इलेक्ट्रॉनिक उत्पादों की कुल संख्या किस वर्ष में अधिकतम है?
Detailed Solution: Question 2
Detailed Solution: Question 3
2009 से 2012 तक टीवी और एलसीडी के औसत उत्पादन के बीच क्या अंतर है?
Detailed Solution: Question 4
Detailed Solution: Question 5
निर्देश: श्रृंखला में लुप्त अक्षर (?) का पता लगाएं।
B, Z, W, S, N, ?
Detailed Solution: Question 6
निर्देश: पहली जोड़ी के शब्दों के बीच निश्चित रिश्ता है। दिए गए विकल्पों में से, दूसरी जोड़ी को पूरा करने के लिए समान संबंध वाले शब्द को चुनें।
बृहस्पति : यूरोपा :: पृथ्वी : ?
Detailed Solution: Question 7
Detailed Solution: Question 8
Detailed Solution: Question 9
Detailed Solution: Question 10
एक मालिक कर्मचारियों की संख्या 1/9 गुना घटा देता है और उनका वेतन 1/14 गुना बढ़ा देता है। बढ़ोतरी से पहले और बाद में कर्मचारियों को दिए गए कुल वेतन का अनुपात क्या है?
Detailed Solution: Question 11
Detailed Solution: Question 12
नीचे दिए गये चित्र में ∠ABC का मान पता करें |

Detailed Solution: Question 13
Detailed Solution: Question 14
निम्नलिखित आकृति में यदि ∠PQA = 20°, है तो ∠PQA का मान ज्ञात कीजिये ।

Detailed Solution: Question 15
वर्ष 2011 और 2013 में एलसीडी के उत्पादन का क्रमश: अनुपात क्या है?
Detailed Solution: Question 16
Detailed Solution: Question 17
Detailed Solution: Question 18
निर्देश: प्रश्न का उत्तर देने के लिए निम्नलिखित जानकारी पर विचार करें।
एक इलाके के कुल 150 लोग रोजाना काम करते हैं। उनमें से, 25 बस से यात्रा करते हैं, केवल 40 ट्रेन से, 20 टैक्सी और ट्रेन दोनों से करते हैं, 30 केवल निजी कारों का उपयोग करते हैं, 25 बस और टैक्सी लेते हैं, और शेष केवल टैक्सी से यात्रा करते है।
परिवहन का केवल एक तरीका का उपयोग करने वाले लोगों का प्रतिशत क्या है?
Detailed Solution: Question 19
Detailed Solution: Question 20
Detailed Solution: Question 21
निर्देश: इस प्रश्न में, एक अभिकथन के बाद दो कारण RI और RII दिये गए हैं। अभिकथन को ध्यान से पढ़ें और निर्णय लें कि, RI और RII में से कौन सा/से अभिकथन के लिए संभावित कारण हैं।
अभिकथन: पिछले 25 वर्षों में मानव विकास में प्रगति प्रभावशाली रही है।
RI: अधिक बच्चे स्कूल में हैं और अधिक लोगों की बुनियादी सामाजिक सेवाओं तक पहुंच है।
RII: कुछ ने केवल मानव विकास की मूल बातें हासिल की हैं, और कुछ ने ऐसा नहीं किया है।
Detailed Solution: Question 22
Detailed Solution: Question 23
Detailed Solution: Question 24
25 * 5 * 35 * 20 * 2 में * प्रतीकों को गणितीय चिन्हों के साथ बदलें और एक संतुलित समीकरण देने वाले विकल्प को चुनें।
Detailed Solution: Question 25
निर्देश: विषम चुनें।
स्कूल, प्रधान अध्यापक, शिक्षक, छात्र
Detailed Solution: Question 26
श्रृंखला में अगली संख्या क्या होगी?
12, 48, 240, _____
Detailed Solution: Question 27
Detailed Solution: Question 28
Detailed Solution: Question 29
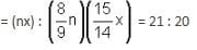
एक दो अंकों की संख्या का योग 15 है । जब इसमें 9 जोड़ा जाता है, तो इसके अंक परस्पर बदल जाते हैं । संख्या ____ है:
Detailed Solution: Question 30