You can prepare effectively for RRB NTPC/ASM/CA/TA RRB NTPC Graduate Mock Tests Papers (Hindi) 2026 with this dedicated MCQ Practice Test (available with solutions) on the important topic of "RRB NTPC Mathematics Test - 5 (Hindi)". These 30 questions have been designed by the experts with the latest curriculum of RRB NTPC/ASM/CA/TA 2026, to help you master the concept.
Test Highlights:
Sign up on EduRev for free to attempt this test and track your preparation progress.
Detailed Solution: Question 1
ऊपर दिए गए चित्र में, SPT वृत्त के लिए P पर एक स्पर्शरेखा है और O वृत्त का केंद्र है। यदि ∠QPT = α हो, तब ∠POQ का मान क्या है?

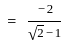
Detailed Solution: Question 2
यदि sin(A + B) = √3/2 है और sec(A - B) = 2/√3 है, 0° < A + B ≤ 90° है और A > B है, तब A और B के मान ज्ञात कीजिए।
Detailed Solution: Question 3
A और B की औसत आयु 30 वर्ष है, B और C की औसत आयु 32 वर्ष है और C और A की औसत आयु 34 वर्ष है। C की आयु है
Detailed Solution: Question 4
Detailed Solution: Question 5
एक व्यक्ति एक रुपये में 30 आम खरीदता है (सभी आमों का क्रय मूल्य बराबर है)। एक रुपये में कितने आम बेचे जा सकते हैं (सभी आमों का विक्रय मूल्य बराबर है) ताकि 25 प्रतिशत की हानि हो?
Detailed Solution: Question 6
Detailed Solution: Question 7
एक परीक्षा में सात छात्रों के अंक (100 में से) नीचे दिए गए हैं। उनके माध्य और माध्यक के बीच अंतर ज्ञात करें।
70, 55, 52, 85, 68, 67, 79
Detailed Solution: Question 8
Detailed Solution: Question 9
दी गई आकृति में ∠PSR = 105° तथा PO वृत्त का व्यास है। ∠QPR का मान (डिग्री में) क्या है?

Detailed Solution: Question 10
नीचे दी गई तालिका का अध्ययन कीजिए और निम्नलिखित प्रश्न का उत्तर दीजिए।
तालिका एक संगठन के विभिन्न विभागों में कर्मचारियों की कुल संख्या तथा महिलाओं और पुरुषों का प्रतिशत दर्शाती है।

लेखा और विपणन विभाग में मिलाकर पुरुष कर्मचारियों की कुल संख्या कितनी है?
Detailed Solution: Question 11
उस सबसे बड़े लम्ब वृत्तीय शंकु का आयतन (सेमी3 में) ज्ञात कीजिए जिसे एक ऐसे घन से काटा जा सकता है जिसकी भुजा 9 सेमी है।
Detailed Solution: Question 12
दो समरूप त्रिभुजों के क्षेत्रफल क्रमशः 144 सेमी2 और 196 सेमी2 हैं। यदि छोटे त्रिभुज की सबसे लंबी भुजा 24 सेमी है, तो बड़े त्रिभुज की सबसे लंबी भुजा ज्ञात कीजिए।
Detailed Solution: Question 13
बताईये कि प्रश्न में दिए गए कथन सत्य (T) हैं या असत्य (F) हैं:
यदि N ÷ 5 से शेषफल 3 प्राप्त होता है और N ÷ 2 से शेषफल 0 प्राप्त होता है, तो N ÷ 10 से शेषफल 4 प्राप्त होता है।
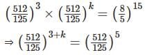
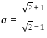
Detailed Solution: Question 14
यदि ‘x + 3’, 8 और 27 का चौथा अनुपात ‘x – 3’ है, तो ‘x’ का घनात्मक मान क्या है?
Detailed Solution: Question 15
Detailed Solution: Question 16
Detailed Solution: Question 17
3 प्राकृतिक संख्याओं के वर्गों का योग 261 है, और वे 2 : 3 : 4 के अनुपात में हैं। उच्चतम संख्या और न्यूनतम संख्या के बीच का अंतर है:
Detailed Solution: Question 18
नीचे दिए गए वर्षों के दौरान चार शहरों में एक कंपनी की वॉशिंग मशीन की बिक्री के आकड़े हैं। यह रिकॉर्ड तिमाही बिक्री पर आधारित है।

सभी शहरों में त्रैमासिक अवधि के दौरान शीतकालीन छुट पर बेची गई वॉशिंग मशीन की संख्या मिलेनियम छूट पर बेची गई वॉशिंग मशीन की संख्या की तुलना में कितनी अधिक या कम थी?
Detailed Solution: Question 19
Detailed Solution: Question 20
Detailed Solution: Question 21
Detailed Solution: Question 22
Detailed Solution: Question 23
दिए गए पाई चार्ट का अध्ययन करें और नीचे दिए गए प्रश्न का उत्तर दें।
पाई-चार्ट विभिन्न राज्यों से आने वाले पर्यटकों की संख्या को दर्शाता है। कुल पर्यटक यातायात 20 लाख है।

हरियाणा और राजस्थान से आने वाले पर्यटकों की संख्या के बीच अंतर ज्ञात कीजिए।
Detailed Solution: Question 24
Detailed Solution: Question 25
Detailed Solution: Question 26
एक ठोस गोले का पृष्ठीय क्षेत्रफल 616 वर्ग सेमी है। इस गोले को अब दो अर्धगोले में कटा जाता है। किसी एक अर्धगोले का सम्पूर्ण पृष्ठीय क्षेत्रफल कितना है?
Detailed Solution: Question 27
एक पाइप P एक खाली टंकी को 11 मिनट में भर सकता है और पाइप Q उसी भरी टंकी को 33 मिनट में खाली कर सकता है। दोनों पाइप द्वारा एक साथ टंकी के 2/3 भाग को भरने में कितना समय लगेगा?
Detailed Solution: Question 28
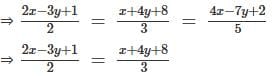
Detailed Solution: Question 29
एक सीढ़ी एक ऊर्ध्वाधर दीवार के विपरीत स्थित है और इसका तल दीवार से 2.5 मीटर दूर है। यदि यह दीवार से 0.8 मीटर नीचे खिसकती है, तो इसका तल दीवार से 1.4 मीटर दूर चला जाएगा। सीढ़ी की लंबाई क्या है?
Detailed Solution: Question 30