You can boost your GATE Engineering Sciences 2026 exam preparation with this GATE Engineering Sciences Mock Test - 5 (available with detailed solutions).. This mock test has been designed with the analysis of important topics, recent trends of the exam, and previous year questions of the last 3-years. All the questions have been designed to mirror the official pattern of GATE Engineering Sciences 2026 exam, helping you build speed, accuracy as per the actual exam.
Mock Test Highlights:
Sign up on EduRev for free and get access to these mock tests, get your All India Rank, and identify your weak areas to improve your marks & rank in the actual exam.
What is the difference between the total of the first 2n natural numbers and the total of the first n odd natural numbers? This value is ____.
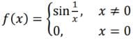
What is the value of
given the information from the image above?

Every town that has a pool hall is home to some undesirable individuals. This occurs because pool halls draw in gamblers, and all gamblers are considered undesirable.
Which of the following, if true, cannot be deduced from the statement above?
Detailed Solution: Question 3
The repo rate refers to the interest rate at which the Reserve Bank of India (RBI) provides funds to commercial banks, while the reverse repo rate denotes the interest rate at which the RBI secures loans from commercial banks.
Which of the following conclusions can be drawn from the passage above?
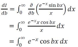
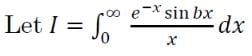
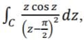
Determine the value of
where C is defined by the condition |z-1| = 1.
Detailed Solution: Question 5
Detailed Solution: Question 6
The real solution to the equation x3 - 3x2 3x — 5 = 0 is determined using the Newton-Raphson method. The total number of distinct values of xo for which the Newton-Raphson method is unsuccessful for this equation is
Detailed Solution: Question 7
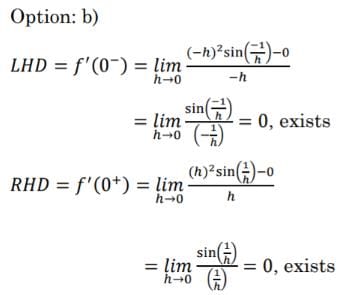
Which of the following curves has a tangent line at the origin?
Detailed Solution: Question 8
A person flying over a particular continent is exposed to cosmic radiation, which is represented as a normal random variable with a mean of 4.35 units. Determine the standard deviation such that the probability of exposure during the flight being at least 5.50 units is 0.0256, given that the cumulative distribution function value at 1.95 is 0.4744.
Detailed Solution: Question 9
Which of the following statement(s) are true regarding streamlines in a steady, incompressible flow?
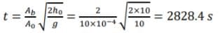
According to Torricelli's theorem, the speed of fluid exiting from a hole in a tank is
, where h represents the height of water above the opening as depicted in the figure. Suppose the area of the hole is Ao = 10 cm2 and the bottom area of the cylindrical tank is Ab = 2 m2. What is the time in seconds required to drain the tank from an initial depth of ho = 10 m? Take g = 10 m/s2.
Detailed Solution: Question 11
A rectangular plate measuring 6 m in height and 5 m in width obstructs the end of a fresh water channel that is 5 m deep, as illustrated in the figure. The plate is pivoted around a horizontal axis at its upper edge at point A and is prevented from opening by a fixed ridge located at point B.
The force applied to the plate by the ridge is (in kN). Use ρw = 1000 kg/m³ for calculations.
It is assumed that atmospheric pressure is acting on both sides of the plate.

Detailed Solution: Question 12
Consider a steady two-dimensional, incompressible, and Newtonian fluid characterized by the velocity component u = x². Assume that the x-axis is the streamline and disregard the influence of gravitational forces. What is the pressure gradient in the x-direction?
Detailed Solution: Question 13
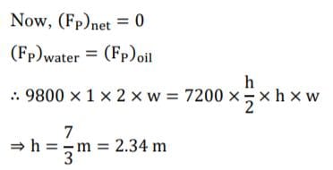
A rectangular tank is divided into two sections, A and B, which hold water (yw = 9.8 kN/m3) and oil (Yoil = 7.2 kN/m3), respectively, as illustrated in the figure. A differential manometer filled with another type of oil (Yoil2 = - 12 kN/m3) is also present. If the total pressure force acting on wall CD is zero, then the deflection δ is ___________ mm.

Detailed Solution: Question 14
Water moves through a horizontal smooth pipe with an average velocity, v of 10 m/s and a diameter, d of 5 cm. The friction factor, f is 0.02. The head loss is calculated using the Darcy-Weisbach relation
. The fluid pressures, p, measured at different stations are shown in the table below. The length of the pipe, l, from station 0 to station 6 is 6 m.

Given that the acceleration due to gravity, g = 10 m/s2 and the density of water is 1000 kg/m3, what is the fluid pressure at station 6 in kPa (rounded to one decimal place)?
At what conditions do real gases exhibit CP = CV?
Detailed Solution: Question 16
A producer asserts that he has created a table fan that utilizes 25 W of electrical power to expel air at a rate of 0.8 kg/s with a velocity of 8 m/s. Is his assertion valid?
Detailed Solution: Question 17
In a vapor compression refrigeration cycle, if the pressure in the condenser rises,
1. The specific volume at the condenser inlet increases
2. The volume of water circulating in the condenser for heat removal rises
3. The volumetric efficiency declines
4. The irreversibility during the compression process increases
Which of the statements are correct?
A Carnot engine operates with a blend of gases as its working fluid, characterized by γ = 1.33. The heat input is 82 kJ, and the adiabatic expansion ratio is 16:1. The temperature of the heat source is 800 K. What is the quantity of heat expelled to the sink in kJ? (Round your answer to two decimal places)
Detailed Solution: Question 19
The change in saturation pressure with respect to saturation for a liquid is 0.2 bar/K at a temperature of 450 K. The specific volumes of dry saturated vapor and saturated liquid at 450 K are 0.321 m3/kg and 0.002 m3/kg, respectively. Utilizing the Clausius Clapeyron equation, the latent heat of vaporization is _____________ kJ/kg.
Detailed Solution: Question 20
An iron block weighing 50 kg and a copper block weighing 20 kg,
(ciron = 0.45 kJ/kg·°C and ccopper = 0.386 kJ/kg·°C),
both starting at a temperature of 80°C, are submerged in a vast lake at 15°C. After some time, thermal equilibrium is reached due to the heat exchange between the blocks and the lake water. The overall change in entropy for this process is expressed as:

Detailed Solution: Question 21
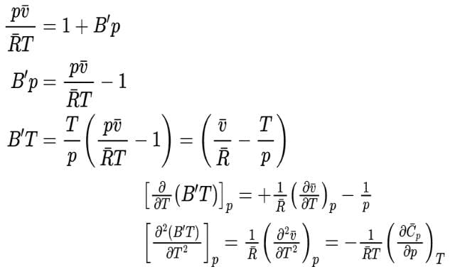
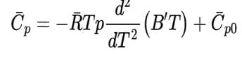
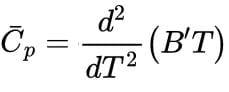
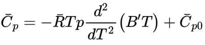
In the scenario where a gas conforms to the specified equation of state

In which B' is solely a function of T, then
Detailed Solution: Question 22
A Rankine cycle's turbines function between pressures of 4 MPa and 10 kPa, achieving an efficiency of 84 percent. When the steam is reheated at 400 kPa to a temperature of 400°C, with a maximum temperature of 600°C, what is the efficiency of the cycle in percent? Neglect the work of the pump.
At 10 kPa, h1 = 192 kJ/kg, hg = 2585 kJ/kg,
At 10 kPa, sf = 0.649 kJ/kgK, sfg = 7.501 kJ/kgK
h3 = 3674 kJ/kg, h4 = 2960 kJ/kg, hs = 3273 kJ/kg
s3 = 7.369 kJ/kgK, ss = 7.899 kJ/kgK
Detailed Solution: Question 23
A cylinder with a diameter of 25 cm is equipped with a frictionless piston and is initially loaded with a weight of 1200 N. The piston starts at a position 30 cm above the bottom, and the area below the piston contains CO2 gas at a temperature of 290 K. An electric heater supplying 3600 J of heat is used during the process, with the assumption that no heat is lost to the environment. Determine the distance (in mm) that the piston will move outward while heating for a duration of 1 hour. Consider the barometric pressure to be 1 bar and the specific heat capacity (Cp) of CO2 to be 820 J/kg — K.
Detailed Solution: Question 24
The illustration below depicts how the internal energy U varies with the volume V of 2.0 mol of an ideal gas during a cyclic process labeled abcda. The temperatures of the gas at points b and c are 500 K and 300 K, respectively. Calculate the amount of heat absorbed by the gas (in Joules) throughout the cyclic process abcda.

Detailed Solution: Question 25
The following data pertains to water vapour:
Reduced pressure = 0.905
Reduced temperature = 1.225
Critical pressure = 22.09 bar
Critical temperature = 647.3 K
Compressibility factor Z = 0.83
Characteristic gas constant R = 0.4615 kJ/kg - K.
Assuming water vapour behaves as an ideal gas, the actual specific volume of water vapour is __________ m3/kg (Round off to three decimal places).
Detailed Solution: Question 26
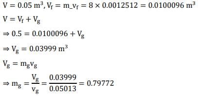
A container with a volume of 0.05 m3 holds a combination of saturated water and saturated steam at a temperature of 250°C. Given that the mass of the liquid present is 8 kg, calculate the enthalpy of the mixture in kJ/kg.
At 250°C, hf = 1085.36 kJ/kg, hfg = 1716.2 kJ/kg, Vf = 0.0012512 m3/kg, vg = 0.05013 m3/kg
Detailed Solution: Question 27
An air-water vapor mixture is maintained at a temperature of 35°C and standard atmospheric pressure, exhibiting an absolute humidity of 0.02 kg of vapor per kg of dry air. What is its humid volume (in m³ per kg of dry air)?
(At 35°C, Psat = 5.6291 kPa, Patm = 101.325 kPa)
Detailed Solution: Question 28
In a cylinder of an air motor, the internal energy of the compressed air is measured at 450 kJ/kg at the start of the expansion process and decreases to 220 kJ/kg following the expansion. Given that the work accomplished by the air during this expansion is 120 kJ/kg, what is the amount of heat expelled by the cylinder in kJ/kg?
Detailed Solution: Question 29
A rigid container holds 4 kg of air (considered as an ideal gas) at a temperature of 200°C and a pressure of 4 MPa. This serves as the hot energy source for a heat engine, which operates with its cold side at 20°C before coming to a halt. The energy output of the heat engine is _________ kj.

Detailed Solution: Question 30