You can prepare effectively for HTET HTET PGT Mock Test Series 2026 with this dedicated MCQ Practice Test (available with solutions) on the important topic of "HTET PGT Physics Test - 1". These 150 questions have been designed by the experts with the latest curriculum of HTET 2026, to help you master the concept.
Test Highlights:
Sign up on EduRev for free to attempt this test and track your preparation progress.
Factors that affect mental health of some children and teenagers except-
Detailed Solution: Question 1
Detailed Solution: Question 2
Detailed Solution: Question 3
Children's intrinsic motivation to learn is increased when-
Detailed Solution: Question 4
Detailed Solution: Question 5
According to the Jean Piaget, Operative intelligence is the active aspect of ______
Detailed Solution: Question 6
Which is the second stage of Bruner’s concept formation?
Detailed Solution: Question 7
Detailed Solution: Question 8
The method in which, children are characterized as 'plants' and the teachers as the 'gardeners' is discovered by ________.
Detailed Solution: Question 9
Detailed Solution: Question 10
Who proposed the multidimensional theory of intelligence?
Detailed Solution: Question 11
Detailed Solution: Question 12
दिए गए वाक्य में रेखांकित शब्द का विलोम शब्द बताइए।
वह बहुत उद्धत है।
Detailed Solution: Question 13
DIRECTIONS: A sentence with an underlined phrasal verb is given below. Out of the four options, choose the one which can be substituted for the given phrasal Verb.
His parent’s encouragement bore him up through a very hard time.
Detailed Solution: Question 14
Change the given statement to indirect speech.
They said, "We play football in the playground every day."
Detailed Solution: Question 15
Select the most appropriate synonym of the given word.
Mitigate
Detailed Solution: Question 16
Select the most appropriate verb in future tense to fill in the blank:
The Queen declared that she _______ _______ acquiesce to the demand of the British Prime Minister.
Detailed Solution: Question 17
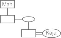
Introducing a man at a birthday party, Kajal said, “This man’s son’s sister is my husband's mother.” How is Kajal’s husband related to the man?
Detailed Solution: Question 18
Detailed Solution: Question 19
Detailed Solution: Question 20
Detailed Solution: Question 21
Detailed Solution: Question 22
Detailed Solution: Question 23
Detailed Solution: Question 24
______ city in the State of Haryana is known as the Millennium city of the country.
Detailed Solution: Question 25
Detailed Solution: Question 26
Detailed Solution: Question 27
Detailed Solution: Question 28
Which of the following districts in Haryana is the maximum rain-hit area?
Detailed Solution: Question 29
Direction: Choose the answer figure from figure, in which the question shape is contained :

Detailed Solution: Question 30