You can prepare effectively for HTET HTET PGT Mock Test Series 2026 with this dedicated MCQ Practice Test (available with solutions) on the important topic of "HTET PGT Physics Test - 2". These 150 questions have been designed by the experts with the latest curriculum of HTET 2026, to help you master the concept.
Test Highlights:
Sign up on EduRev for free to attempt this test and track your preparation progress.
One of the following techniques is not mentioned by Sigmund Freud for dwelling out the repressed unconscious feelings
Detailed Solution: Question 1
Detailed Solution: Question 2
Sunita always do whatever she wants to do without thinking about the consequences. So as per Sigmund Frued, the dominance is of _________.
Detailed Solution: Question 3
Detailed Solution: Question 4
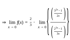
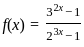
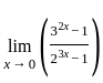
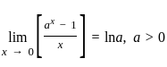
Detailed Solution: Question 5
Detailed Solution: Question 6
Detailed Solution: Question 7
‘जब कार्यक्रम समाप्त हुआ तो सब लोग चले गए।’ रेखांकित वाक्य में कौन सा उपवाक्य होगा?
Detailed Solution: Question 8
Detailed Solution: Question 9
Detailed Solution: Question 10
Fill in the blanks with the most appropriate choices
Will you ________ my dog while I am on tour?
Detailed Solution: Question 11
Detailed Solution: Question 12
Questions are in Indirect Speech followed by four alternatives in Direct Speech. Select the one which best expressed the same sentence in Direct Speech.
He said that he would go as soon as it was possible.
Detailed Solution: Question 13
Select the most appropriate ANTONYM of the given word.
Identical
Detailed Solution: Question 14
He said, "I saw her the day before yesterday".
(Choose the correct one in indirect speech.)
Detailed Solution: Question 15
Some parts of the sentence have errors and some have none. Find out which part of the sentence has an error. The number of parts is your answer. If there is no error, your answer is D i.e. No error.
We prefer to work (A)/with a comparatively smaller(B)/number of clients. (C)/No error (D)
Detailed Solution: Question 16
Who among the following served as the Governor of Haryana from 1980 to 1984 ?
Detailed Solution: Question 17
Detailed Solution: Question 18
Maharishi Dayanand visited Haryana for the first time in __________ city.
Detailed Solution: Question 19
Detailed Solution: Question 20
Two astronauts are floating in gravitational free space after having lost contact with their spaceship. The two will:
Detailed Solution: Question 21
V (stopping potential) is plotted against 1/λ, where λ is the wavelength of incident radiations, for two metals

Detailed Solution: Question 22
Detailed Solution: Question 23
Detailed Solution: Question 24
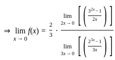
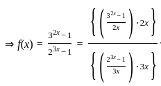
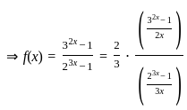
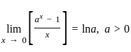
Detailed Solution: Question 25
Detailed Solution: Question 26
Detailed Solution: Question 27
If the uncertainties in velocities of two particles A and B with mass 1.0 × 10-27 kg and 1.0 × 10-31 kg respectively are same, the ratio of uncertainties in the positions of A and B is:
Detailed Solution: Question 28
Sound waves are longitudinal mechanical waves that can travel through solids, liquids, or gases.



Detailed Solution: Question 29
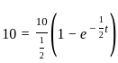
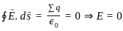
The electric field at a distance of 3R/2 from the center of a charged conducting spherical shell of radius R is E. The electric field at a distance R/2 from the center of the sphere is -
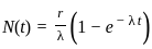
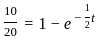
Detailed Solution: Question 30