You can prepare effectively for HTET HTET PGT Mock Test Series 2026 with this dedicated MCQ Practice Test (available with solutions) on the important topic of "HTET PGT Physics Test - 3". These 150 questions have been designed by the experts with the latest curriculum of HTET 2026, to help you master the concept.
Test Highlights:
Sign up on EduRev for free to attempt this test and track your preparation progress.
Detailed Solution: Question 1
Detailed Solution: Question 2
Detailed Solution: Question 3
Detailed Solution: Question 4
Which of the following is not a characteristics of personality?
Detailed Solution: Question 5
Detailed Solution: Question 6
Which type of motivation is associated with activities that are enjoyable or satisfying in themselves?
Detailed Solution: Question 7
Detailed Solution: Question 8
Detailed Solution: Question 9
Rehabilitation Council of India (RCI) Act (1992) deals with
Detailed Solution: Question 10
Detailed Solution: Question 11
Detailed Solution: Question 12
Detailed Solution: Question 13
Who among the following is not the chief exponents of the trait theory of personality?
Detailed Solution: Question 14
Who gave the following recommendation?
'Health and physical education should continue to be compulsory subjects from the primary to the secondary stages.'
Detailed Solution: Question 15
'जिसने प्रतिष्ठा पा ली हो' वाक्यांश के लिए एक शब्द होगा -
Detailed Solution: Question 16
Detailed Solution: Question 17
Detailed Solution: Question 18
The following sentence has been split into four segments. Identify the segment that contains a grammatical error.
Children listens to people / speaking around them / for a long time before / they begin to speak.
Detailed Solution: Question 19
How many positive integers less than 200 are NOT divisible by three or more primes?
Detailed Solution: Question 20
Detailed Solution: Question 21
In a right triangle, ABC ∠A = 90° and AD is perpendicular to BC. If ∠CAD = 60° and BC = 6 cm, then what is AB equal to?
Detailed Solution: Question 22
Detailed Solution: Question 23
In an office, all the employees are standing in a row. One worker is 47th from both the ends. How many staff members are there in that office?
Detailed Solution: Question 24
U, V, W, X, Y and Z are sitting in a circle, facing the middle of the circle. V is to the left of Y, W is to the right of Y, Z is in the middle of U and X. U is to the immediate right of W. Who is to the immediate left of V?
Detailed Solution: Question 25
Detailed Solution: Question 26
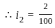
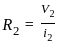
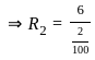
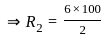
In the given circuit the internal resistance of the 18 V cell is negligible. If R1 = 400 Ω, R3 = 100 Ω and R4 = 500 Ω and the reading of an ideal voltmeter across R4 is 5 V, then the value of R2 will be:

Detailed Solution: Question 27
Detailed Solution: Question 28
Measure of two quantities along with the precision of respective measuring instrument is
A = 2.5 m s–1 ± 0.5 m s–1
B = 0.10 s ± 0.01 s
The value of A B will be
Detailed Solution: Question 29
Which of the following quantity remains conserved when the moon revolves around the earth?
Detailed Solution: Question 30