You can prepare effectively for HTET HTET PGT Mock Test Series 2026 with this dedicated MCQ Practice Test (available with solutions) on the important topic of "HTET PGT Physics Test - 4". These 150 questions have been designed by the experts with the latest curriculum of HTET 2026, to help you master the concept.
Test Highlights:
Sign up on EduRev for free to attempt this test and track your preparation progress.
Detailed Solution: Question 1
Detailed Solution: Question 2
Detailed Solution: Question 3
According to Urie Bronfenbrenner ______ system is the small immediate environment the child lives in.
Detailed Solution: Question 4
Detailed Solution: Question 5
Detailed Solution: Question 6
Detailed Solution: Question 7
Detailed Solution: Question 8
Detailed Solution: Question 9
Detailed Solution: Question 10
Select the most appropriate synonym of the given word.
Conceal
Detailed Solution: Question 11
A sentence has been given with a blank to be filled with an appropriate option. Choose the correct alternative.
________ months later, Steve returned to New York to look for a job.
Detailed Solution: Question 12
The first two words of the following question bears a relationship between them, choose the alternative which has the similar relationship with the third word.
Botany : Plants :: Geology : ?
Detailed Solution: Question 13
Detailed Solution: Question 14
Select the option that is embedded in the given figure (rotation is NOT allowed).

Detailed Solution: Question 15
Detailed Solution: Question 16
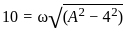
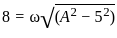
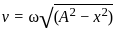
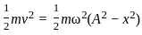
A body is executing simple harmonic motion. When its displacements from the mean position are 4 cm and 5 cm, then it has velocities of 10 cm/s and 8 cm/s respectively. The time period of this simple harmonic motion is:
Detailed Solution: Question 17
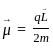
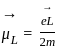
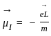
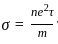
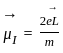
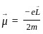
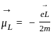
The magnetic moment of an electron (e) revolving in an orbit around nucleus with an orbital angular momentum is given by:
Detailed Solution: Question 18
An electron is allowed to rotate on a metallic circle of the perimeter of 20 π made from copper wire of resistance 0.0171 Ω per unit length and rotates with speed 15 m/s, what will be the potential difference per unit length of the circle
Detailed Solution: Question 19
Two charges of equal magnitude 2 μC but opposite in sign are separated by a distance of 16 cm. Calculate the electric field at an equatorial point which is at a distance of 18 cm away from the center of the dipole
Detailed Solution: Question 20
The radius of the earth is 6.4 x 106 m. The specific charge of the proton is 9.6 x 107 Ckg-1. What should be the value of the minimum magnetic field at the equator of the earth such that a proton moving with velocity 1.92 x 107 ms-1 may revolve around the earth?
Detailed Solution: Question 21
A thermally insulated vessel contains 150 g of water at 0°C. Then the air from the vessel is pumped out adiabatically. A fraction of water turns into ice and the rest evaporates at 0°C itself. The mass of evaporated water will be closest to:
(Latent heat of vaporization of water = 2.10 × 106 J kg-1 and Latent heat of Fusion of water = 3.36 × 105 J kg-1)
Detailed Solution: Question 22
Detailed Solution: Question 23
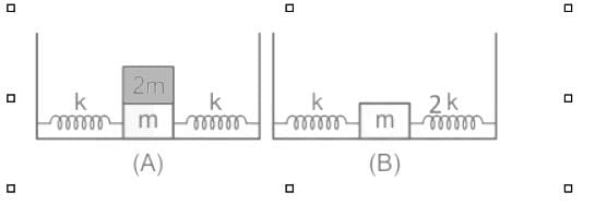
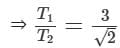
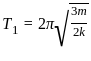
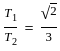
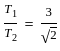
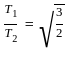
In figure (A), mass '2 m' is fixed on mass ‘m', which is attached to two springs of spring constant k. In figure (B), mass 'm' is attached to two springs of spring constant 'k' and '2k'. If mass 'm' in (A) and in (B) are displaced by distance 'x' horizontally and then released, then time period T1 and T2 corresponding to (A) and (B) respectively follow the relation.

Detailed Solution: Question 24
Detailed Solution: Question 25
Detailed Solution: Question 26
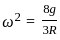
A real gas within a closed chamber at 27°C undergoes the cyclic process as shown in figure. The gas obeys PV3 = RT equation for the path A to B. The net work done in the complete cycle is (assuming R = 8J/molK):

Detailed Solution: Question 27
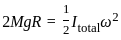
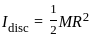
A uniform disc of mass M and radius R is supported vertically by a pivot at its periphery as shown. A particle of mass M is fixed to the rim and raised to the highest point above the centre. The system is then released from rest and it can rotate about its pivot freely. The angular speed of the system when the attached object is directly beneath the pivot is

Detailed Solution: Question 28
A proton, a deuteron and an α particle are moving with the same momentum in a uniform magnetic field. The ratio of magnetic forces acting on them is _______ and their speeds are in the ratio ______.
Detailed Solution: Question 29
Detailed Solution: Question 30