You can prepare effectively for HTET HTET PGT Mock Test Series 2026 with this dedicated MCQ Practice Test (available with solutions) on the important topic of "HTET PGT Physics Test - 5". These 150 questions have been designed by the experts with the latest curriculum of HTET 2026, to help you master the concept.
Test Highlights:
Sign up on EduRev for free to attempt this test and track your preparation progress.
Who has classified introvert personality and extrovert personality?
Detailed Solution: Question 1
Detailed Solution: Question 2
Detailed Solution: Question 3
Detailed Solution: Question 4
Detailed Solution: Question 5
A collection of students' work on a variety of task throughout the meant for keeping a record of their performance is known as a-
Detailed Solution: Question 6
Which one of the following is the correct logical order of the observational learning process according to the Learning Theory of Bandura?
Detailed Solution: Question 7
Detailed Solution: Question 8
निम्नलिखित में से किस वाक्य में गुणवाचक विशेषण अशुद्ध है?
Detailed Solution: Question 9
Detailed Solution: Question 10
Detailed Solution: Question 11
वाक्यांश और उसके लिए दिए गए शब्द के असंगत मेल का चयन कीजिए:
Detailed Solution: Question 12
Detailed Solution: Question 13
In the given sentence there might be an error. Find out which part of the sentence has an error. lf there is no error, mark your answer as (d) i.e. ‘No error’.
She is (a)/ the taller (b)/ of the two women. (c)/ No Error (d)
Detailed Solution: Question 14
A series is given with one term missing. Select the correct alternative from the given ones that will complete the series.
TONU, NOVW, HODY, BOLA, ?
Detailed Solution: Question 15
Detailed Solution: Question 16
Assertion (A) : In order to melt gold, Goldsmith blow the outermost zone of the flame using a metal pipe.
Reason (R) : The outermost zone is the nearest and not too hot to blow.
Detailed Solution: Question 17
If the mobilities of electrons and holes are 0.40 m2 per V-s and 0.20 m2 per V-s respectively, find the resistivity of an intrinsic semiconductor with an intrinsic concentration of 2.5 × 1019 per m3.
Detailed Solution: Question 18
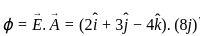
A stone is projected from a horizontal plane. It attains maximum height 'H' & strikes a stationary smooth wall & falls on the ground vertically below the maximum height. Assume the collision to be elastic the height of the point on the wall where ball will strike is:

Detailed Solution: Question 19
Detailed Solution: Question 20
Detailed Solution: Question 21
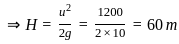
If a fielder can throw a ball to a maximum horizontal distance of 120 m, then how high (in m) can he throw if he throws vertically with the same velocity?
(use g = 10 m/s2)
Detailed Solution: Question 22
Consider an ideal toroid with an average radius 16.0 cm with 240 turns. A current of 10 A is maintained in it. The magnitude of the magnetic field inside the toroid is [(
) = 10-7 Tm/A:
Detailed Solution: Question 23
Detailed Solution: Question 24
Detailed Solution: Question 25
Detailed Solution: Question 26
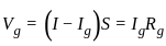
A galvanometer coil has resistance 20 Ω and the metre shows full scale deflection for a current of 2 mA. How will you convert the metre into an ammeter of range 0 to 6 A?
Detailed Solution: Question 27
Detailed Solution: Question 28
Thermodynamic process is shown below on a P-V diagram for one mole of an ideal gas. If V2 = 2V1 then ratio of temperature T2/T1 is:

Detailed Solution: Question 29
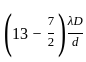
An alpha particle with kinetic energy 20 MeV is heading towards a stationary tin nucleus of atomic number 50, Compute the distance of closest approach?

Detailed Solution: Question 30