You can boost your Civil Engineering (CE) 2026 exam preparation with this RSMSSB JE Civil Mock Test - 3 (available with detailed solutions).. This mock test has been designed with the analysis of important topics, recent trends of the exam, and previous year questions of the last 3-years. All the questions have been designed to mirror the official pattern of Civil Engineering (CE) 2026 exam, helping you build speed, accuracy as per the actual exam.
Mock Test Highlights:
Sign up on EduRev for free and get access to these mock tests, get your All India Rank, and identify your weak areas to improve your marks & rank in the actual exam.
Consider the following statements regarding the Phads of Rajasthan:
Which of the following statement(s) is/are correct?
Detailed Solution: Question 1
Detailed Solution: Question 2
Detailed Solution: Question 3
With which crop the hybrid variety known Mahi Kanchan as developed by the Agricultural Research Centre, Banswara, is related?
Detailed Solution: Question 4
The Chairman of the Rajasthan Public Service Commission can be removed by the:
Detailed Solution: Question 5
Detailed Solution: Question 6
Detailed Solution: Question 7
Detailed Solution: Question 8
Detailed Solution: Question 9
In the execution of any work, the following functions are performed. Mark the correct sequence in which they are performed.
Detailed Solution: Question 10
According to IS 5968:1987, the minimum radius of curve to be provided in the alignment of unlined canals carrying a discharge of less than 30 cumecs up to 15 cumecs is:
Detailed Solution: Question 11
Detailed Solution: Question 12
Which riveted joint consists of two parallel rows and rivets where rivets are just opposite each other?
Detailed Solution: Question 13
Detailed Solution: Question 14
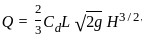
The discharge through a large vertical rectangular orifice of breadth B when the head of liquid causes flow over the upper and the lower edges is H1 and H2 respectively
Detailed Solution: Question 15
Which of the following statements related to hydration of cement is/are correct?
Detailed Solution: Question 16
The U tube in the figure contains two liquids in static equilibrium. The water of density ρw (1000 kg/m3) is in the right arm and oil of unknown density ρx is in the left arm. If l = 80 mm and d = 20 mm, then the density ρx of the oil is

Detailed Solution: Question 17
Detailed Solution: Question 18
You have to calculate the superelevation(e) for a highway having a design speed as v (in km/h). Which of the following options gives the CORRECT relation to find the design speed such that radius of the curve is r (in m) and the coefficient of friction is f?
Detailed Solution: Question 19
The problems encountered during hot weather concreting is/are:
Detailed Solution: Question 20
The Bligh’s creep coefficient for light sand and mud is:
Detailed Solution: Question 21
The following statements (S1, S2, S3, S4) pertain to Dissolved oxygen in Surface water.
S1 : Warm water holds more dissolved oxygen than Cold water.
S2 : Respiration of organisms living in water as well as in sediments cause reduction in the available dissolved oxygen.
S3 : Water holds less oxygen at higher altitudes.
S4 : During day time, Photosynthesis activity in surface water leads to decrease in the Dissolved oxygen concentration.
Choose the correct statement(s)
Detailed Solution: Question 22
According to IS 14315: 1995, the maximum thickness of commercial veneers produced from wood is:
Detailed Solution: Question 23
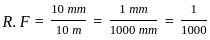
When 10 mm on a map represents 10 m on the ground, the representative fraction of the scale is
Detailed Solution: Question 24
For surveying soil, a specific method is used when adequate equipment and time are available. What is the type of the soil surveying method as mentioned above?
Detailed Solution: Question 25
Which of following is not a function of sand in mortar?
Detailed Solution: Question 26
Detailed Solution: Question 27
The actual neutral axis of under reinforced section is
Detailed Solution: Question 28
A cross drainage work in which a canal is provided over the natural drainage is called:
Detailed Solution: Question 29
Given below are two statements, one is labelled as Assertion A and the other is labelled as Reason R
Assertion A: Polluted rivers with very high values of Biological Oxygen Demand (BOD) may produce a foul smell
Reason R: Anaerobic bacteria produce sulfur dioxide and oxides of nitrogen
In light of the above statements, choose the most appropriate answer from the options given below
Detailed Solution: Question 30