You can boost your Civil Engineering (CE) 2026 exam preparation with this RSMSSB JE Civil Mock Test - 4 (available with detailed solutions).. This mock test has been designed with the analysis of important topics, recent trends of the exam, and previous year questions of the last 3-years. All the questions have been designed to mirror the official pattern of Civil Engineering (CE) 2026 exam, helping you build speed, accuracy as per the actual exam.
Mock Test Highlights:
Sign up on EduRev for free and get access to these mock tests, get your All India Rank, and identify your weak areas to improve your marks & rank in the actual exam.
Detailed Solution: Question 1
Which of the following pairs of peasant movement and its starting year is correct?
Detailed Solution: Question 2
Detailed Solution: Question 3
Detailed Solution: Question 4
Detailed Solution: Question 5
Detailed Solution: Question 6
Detailed Solution: Question 7
Detailed Solution: Question 8
Which of the following statements is/are correct about the Lok Devta in Rajasthan?
1. Ramdev Ji's Horse name was Leelan.
2. Teja Ji's Horse name was Leela.
3. Pabu Ji's Horse name was Leelagar.
Detailed Solution: Question 9
Detailed Solution: Question 10
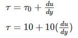
The following results are obtained on shear stress (τ) and rate of deformation
at constant temperature for a fluid.

The above fluid is classified as
Detailed Solution: Question 11
Detailed Solution: Question 12
Detailed Solution: Question 13
Which component of a weir is responsible for diverting water from the river into the canal?
Detailed Solution: Question 14
How many positions are placed in prisms with its base on horizontal plane (CAD drawing)?
Detailed Solution: Question 15
Calculate the total charges given to three labourers for their earthwork excavation, with them working from 9 a.m. to 6 p.m. with an hourly working charge of Rs. 50.
Detailed Solution: Question 16
Detailed Solution: Question 17
Which of these does not relate to the zone of aeration in the soil profile?
Detailed Solution: Question 18
Detailed Solution: Question 19
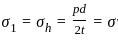
A tie bar 5 mm × 8 mm is to carry a load of 80 kN. A specimen of the same quality steel of cross-sectional area 25 mm2 was tested in the laboratory. The maximum load carried by the specimen was 125 kN. Find the factor of safety in the design?
Detailed Solution: Question 20
Detailed Solution: Question 21
What will be the pressure at point B of this U-tube manometer? Take ρ1 = density of light liquid and ρ2 = density of heavy liquid.

Detailed Solution: Question 22
Which of the following pairs is correctly matched in case of defects and causes of wood?

Detailed Solution: Question 23
Detailed Solution: Question 24
The shear force developed in a cantilever beam subjected to a point load p at the free end is
Detailed Solution: Question 25
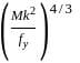
The ratio of equivalent length of the column to the maximum radius of gyration is called
Detailed Solution: Question 26
A simply supported beam is loaded as shown in fig. The maximum shear force in the beam will be

Detailed Solution: Question 27
Detailed Solution: Question 28
Which of the following can be considered both a 2D and 3D shape under different conditions?
Detailed Solution: Question 29
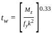
The optimum depth of a plate girder is given by the following expression:
Detailed Solution: Question 30