You can boost your RRB NTPC/ASM/CA/TA 2026 exam preparation with this RRB NTPC (CBT II) Full Mock Test - 9 (Hindi) (available with detailed solutions).. This mock test has been designed with the analysis of important topics, recent trends of the exam, and previous year questions of the last 3-years. All the questions have been designed to mirror the official pattern of RRB NTPC/ASM/CA/TA 2026 exam, helping you build speed, accuracy as per the actual exam.
Mock Test Highlights:
Sign up on EduRev for free and get access to these mock tests, get your All India Rank, and identify your weak areas to improve your marks & rank in the actual exam.
उपयोगकर्ताओं की पहचान करने के लिए क्या उपयोग किया जाता है जब वे एक वेबपेज पर वापस आते हैं?
Detailed Solution: Question 1
निम्नलिखित में से कौन सा पाँचवीं पीढ़ी का लड़ाकू विमान है?
Detailed Solution: Question 2
एक कार 50 किमी/घंटा की गति से 8 घंटे में एक निश्चित दूरी को कवर करती है। उसी दूरी को 5 घंटे में कवर करने के लिए गति में कितनी वृद्धि होनी चाहिए?
Detailed Solution: Question 3
निर्देश: निम्नलिखित जानकारी पढ़ें और प्रश्न का उत्तर दें।
i. रेखा, सुमिता से छोटी है लेकिन रीना से बड़ी है।
ii. रीना, गायत्री से बड़ी है।
iii. शर्मिला, रीना से बड़ी है लेकिन रेखा से छोटी है।
सबसे छोटी कौन है?
Detailed Solution: Question 4
निम्नलिखित में से कौन गंगा नदी की सहायक नदी है?
Detailed Solution: Question 5
Detailed Solution: Question 6
B और C क्रमशः पति और पत्नी हैं। M, K और C का पिता है। B, M से कैसे संबंधित है?
Detailed Solution: Question 7
Detailed Solution: Question 8
निर्देश: इस समस्या में एक प्रश्न शामिल है जिसके बाद दो कथन I और II दिए गए हैं। नीचे दिए गए कथनों को ध्यान से पढ़ें और तय करें कि इनमें से कौन सा/कौन से प्रश्न का उत्तर देने के लिए पर्याप्त/आवश्यक है।
P, Q, R, S और T में से सबसे अधिक मिठाइयाँ किसके पास हैं?
I. P के पास R और S दोनों से अधिक मिठाइयाँ हैं।
II. केवल एक व्यक्ति के पास P से अधिक मिठाइयाँ हैं।
Detailed Solution: Question 9
निम्नलिखित में से कौन सा संचालन 26 का परिणाम देगा?
Detailed Solution: Question 10
X, Z का बेटा है। Y, Z का बेटा नहीं है। K, Z की पत्नी है। X, Y का भाई है। Y, K से कैसे संबंधित है?
Detailed Solution: Question 11
यदि गणितीय ऑपरेटर -, +, × और ÷ को क्रमशः G, P, U और S द्वारा दर्शाया जाता है, तो 48 S 8 P 7 U 2 G 21 का मान ज्ञात कीजिए।
Detailed Solution: Question 12
निम्नलिखित चित्र में, त्रिकोण 'क्रिकेट खिलाड़ियों' का प्रतिनिधित्व करता है, वृत्त 'तैराकों' का प्रतिनिधित्व करता है और आयत 'छात्रों' का प्रतिनिधित्व करता है। विभिन्न खंडों में संख्याएँ व्यक्तियों की संख्या को दर्शाती हैं।

कितने छात्र तैराक हैं लेकिन क्रिकेट खिलाड़ी नहीं हैं?
Detailed Solution: Question 13
इनमें से असम का राज्य पशु कौन सा है?
Detailed Solution: Question 14
नवंबर 2021 में, हरियाणा कैबिनेट ने संशोधित 'समाधान से विकास' योजना को मंजूरी दी। यह योजना थी
Detailed Solution: Question 15
यदि HIJACK को UVWNPX के रूप में कोडित किया गया है, तो SPOON को कैसे कोडित किया जाएगा?
Detailed Solution: Question 16
2021 में फिजियोलॉजी या चिकित्सा में नोबेल पुरस्कार के दो प्राप्तकर्ताओं के नाम बताएं।
Detailed Solution: Question 17
पत्रकारिता में उपलब्धियों के लिए पुलित्ज़र पुरस्कार का प्रबंधन किसके द्वारा किया जाता है?
Detailed Solution: Question 18
श्रीमती आयशा ने 5% वार्षिक साधारण ब्याज पर 1000 रुपये उधार लिए। वह 4 वर्षों के बाद अपने कर्ज चुकाने के लिए कितनी राशि (रुपये में) अदा करेंगी?
Detailed Solution: Question 19
यदि लागत मूल्य बिक्री मूल्य का 35% है, तो लाभ मार्जिन प्रतिशत में क्या होगा?
Detailed Solution: Question 20
यदि 1/43.21 = 0.02314, तो 1/0.0004321 क्या होगा?
Detailed Solution: Question 21
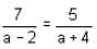
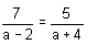
14, 28 और 2 का चौथा अनुपात ज्ञात करें
Detailed Solution: Question 22
पहला मुस्लिम शासक कौन था, जिसका साम्राज्य लगभग पूरे भारत को कवर करता था?
Detailed Solution: Question 23
निर्देश: निम्नलिखित जानकारी पर विचार करें और इसके आधार पर प्रश्न का उत्तर दें।
एक इमारत में, 30 लोग केवल कॉफी पीते हैं, 40 केवल चाय पीते हैं, 25 चाय और कॉफी दोनों पीते हैं, 20 चाय और दूध दोनों पीते हैं, और 15 लोग तीनों - चाय, कॉफी और दूध पीते हैं।
जो लोग केवल कॉफी पीते हैं, उनकी संख्या उन लोगों से ___________ है जो तीनों - दूध, चाय और कॉफी पीते हैं।
Detailed Solution: Question 24
निर्देश: निम्नलिखित जानकारी पर विचार करें और इसके आधार पर प्रश्न का उत्तर दें।
एक इमारत में, 30 लोग केवल कॉफी पीते हैं, 40 केवल चाय पीते हैं, 25 दोनों - चाय और कॉफी पीते हैं, 20 दोनों - चाय और दूध पीते हैं, और 15 तीनों - चाय, कॉफी और दूध पीते हैं।
चाय पीने वालों और कॉफी पीने वालों की संख्या के बीच का अंतर क्या है?
Detailed Solution: Question 25
किस स्कूल में लड़कों का प्रतिशत सबसे अधिक है?
Detailed Solution: Question 26
सभी स्कूलों में कुल लड़कों और कुल लड़कियों का अनुपात क्या है?
Detailed Solution: Question 27
सभी स्कूलों में लड़कियों की औसत संख्या क्या है?
Detailed Solution: Question 28
निर्देश: संकेत (: :) के एक तरफ दो शर्तों के बीच कुछ संबंध है। वही संबंध दूसरी तरफ दो शर्तों के बीच है, जिनमें से एक गायब है। दिए गए विकल्पों में से गायब शर्त को खोजें।
? : घड़ी : : तापमान : थर्मामीटर
Detailed Solution: Question 29
निर्देश: चिन्ह (: :) के बाईं ओर दो शब्दों के बीच कुछ संबंध है। वही संबंध दाईं ओर दो शब्दों के बीच है जिसमें एक गायब है। दिए गए विकल्पों में से गायब शब्द खोजें।
384 : ? : : 216 : 63
Detailed Solution: Question 30