RRB NTPC/ASM/CA/TA Exam  >  RRB NTPC/ASM/CA/TA Test  >  RRB NTPC Graduate Mock Tests Papers (Hindi) 2026  >  RRB NTPC (CBT II) Full Mock Test - 10 (Hindi) - RRB NTPC/ASM/CA/TA MCQ

RRB NTPC Graduate (CBT II) Full Mock Test - 10 (Hindi) Free Online Test


Full Mock Test & Solutions: RRB NTPC (CBT II) Full Mock Test - 10 (Hindi) (120 Questions)

You can boost your RRB NTPC/ASM/CA/TA 2026 exam preparation with this RRB NTPC (CBT II) Full Mock Test - 10 (Hindi) (available with detailed solutions).. This mock test has been designed with the analysis of important topics, recent trends of the exam, and previous year questions of the last 3-years. All the questions have been designed to mirror the official pattern of RRB NTPC/ASM/CA/TA 2026 exam, helping you build speed, accuracy as per the actual exam.

Mock Test Highlights:

  • - Format: Multiple Choice Questions (MCQ)
  • - Duration: 90 minutes
  • - Total Questions: 120
  • - Analysis: Detailed Solutions & Performance Insights

Sign up on EduRev for free and get access to these mock tests, get your All India Rank, and identify your weak areas to improve your marks & rank in the actual exam.

RRB NTPC (CBT II) Full Mock Test - 10 (Hindi) - Question 1

भारत के राष्ट्रपति के चुनाव में विवाद के मामले में निर्णय लेने का अधिकार किसके पास है?

Detailed Solution: Question 1

भारत के राष्ट्रपति के चुनाव में विवाद के मामले में निर्णय लेने का अधिकार सुप्रीम कोर्ट के पास है। राष्ट्रपति और उपराष्ट्रपति के चुनाव से संबंधित सभी संदेह और विवाद सुप्रीम कोर्ट द्वारा निपटाए जाते हैं (अनुच्छेद 71), जबकि संसद और राज्य विधानसभाओं के चुनावों से संबंधित सभी संदेह और विवादों को निपटाने की प्रारंभिक अधिकारिता राज्य के उच्च न्यायालय में होती है।

RRB NTPC (CBT II) Full Mock Test - 10 (Hindi) - Question 2

यदि cot x = 5/12 है, तो sec x + cosec x = ?

Detailed Solution: Question 2


ऊर्ध्वाधर = 12
आधार = 5
अब, पायथागोरस प्रमेय द्वारा,
हायपोटेनस2 = आधार2 + ऊर्ध्वाधर2
हायपोटेनस = 13

इसलिए, उत्तर विकल्प 2 सही है।

RRB NTPC (CBT II) Full Mock Test - 10 (Hindi) - Question 3

एक गिलास जिसमें पानी है, उसमें दो छिद्र हैं। पहला छिद्र अकेले गिलास को 9 मिनट में खाली करता है और दूसरा छिद्र अकेले गिलास को 3 मिनट में खाली करता है। यदि पानी एक समान दर पर बहता है, तो दोनों छिद्र मिलकर गिलास को खाली करने में कितने मिनट लेंगे?

Detailed Solution: Question 3

दोनों छिद्रों द्वारा एक मिनट में कुल मिलाकर खाली किए गए गिलास का अनुपात 

= 4/9
दोनों छिद्रों द्वारा गिलास को एक साथ खाली करने में लिया गया समय 

अतः, उत्तर विकल्प 4 सही है।

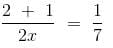
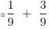
RRB NTPC (CBT II) Full Mock Test - 10 (Hindi) - Question 4

यदि sin 30° = 1/2 है, तो अभिव्यक्ति tan 30° - sin 15° cos 15° का मान क्या है?

Detailed Solution: Question 4

दी गई जानकारी: sin 30° = 1/2


RRB NTPC (CBT II) Full Mock Test - 10 (Hindi) - Question 5

भारत अपनी सीमाएँ निम्नलिखित देशों में से किसके साथ साझा नहीं करता है?

Detailed Solution: Question 5

भारत की भूमि सीमाएँ पाकिस्तान, नेपाल, भूटान, चीन, म्यांमार, बांग्लादेश, अफगानिस्तान के साथ हैं और समुद्री सीमा श्रीलंका के साथ है। ताजिकिस्तान किर्गिज़स्तान और उज्बेकिस्तान के बीच, उत्तर और पश्चिम में, चीन के पूर्व में, और अफगानिस्तान के दक्षिण में स्थित है।

RRB NTPC (CBT II) Full Mock Test - 10 (Hindi) - Question 6

संयुक्त सैन्य प्रशिक्षण अभ्यास "एक्स युद्ध अभ्यास 2021" का 17वां संस्करण 15 अक्टूबर 2021 को प्रारंभ हुआ। अभ्यास "एक्स युद्ध अभ्यास" भारत और

Detailed Solution: Question 6

भारतीय सेना और संयुक्त राज्य अमेरिका की सेना के बीच "एक्स युद्ध अभ्यास 2021" का 17वां संस्करण 15 अक्टूबर 2021 को अमेरिका के अलास्का स्थित जॉइंट बेस एल्मेंडॉर्फ रिचर्डसन में शुरू हुआ। भारतीय दल में एक इन्फेंट्री बटालियन समूह के 350 व्यक्ति शामिल थे।
इस अभ्यास ने दोनों सेनाओं के बीच समझ, सहयोग और इंटरऑपरेबिलिटी को बढ़ाया। अभ्यास का पिछला संस्करण फरवरी 2021 में राजस्थान के बीकानेर में महाजन फील्ड फायरिंग रेंज पर आयोजित किया गया था।

RRB NTPC (CBT II) Full Mock Test - 10 (Hindi) - Question 7

यदि > का अर्थ '+' है, < का अर्थ '-' है, + का अर्थ '+' है, - का अर्थ '=' है, # का अर्थ '×' है, × का अर्थ '>' है और = का अर्थ '<' है, तो निम्नलिखित में से सही कथन चुनिए:

Detailed Solution: Question 7

(i) 14 + 7 > 3 = 6 + 3 > 2
14 ÷ 7 + 3 < 6 ÷ 3 + 2
2 + 3 < 2 + 2
5 < 4 - गलत

(ii) 6 + 3 > 8 = 4 + 2 < 1
6 ÷ 3 + 8 < 4 ÷ 2 - 1
2 + 8 < 2 - 1
10 < 1 - गलत

(iii) 9 < 6 + 3 = 7 > 4
9 - 6 ÷ 3 < 7 + 4
9 - 2 < 11
7 < 11 - सही

(iv) 4 > 6 + 2 × 32 + 4 < 1
4 + 6 ÷ 2 > 32 ÷ 4 - 1
4 + 3 > 8 - 1
7 > 7 - गलत
इस प्रकार, केवल उत्तर विकल्प (3) में दी गई अभिव्यक्ति सही है।
इसलिए, उत्तर विकल्प (3) सही है।

RRB NTPC (CBT II) Full Mock Test - 10 (Hindi) - Question 8

भारत में जन्म दर अधिक होने का कारण क्या है?

Detailed Solution: Question 8

भारत में उच्च जन्म दर का मुख्य कारण गरीबी का उच्च स्तर, शिक्षा की कमी और इसके परिणामस्वरूप अज्ञानता है। गरीब लोग अपने बच्चों की परवरिश पर कम खर्च करते हैं। इसके अलावा, बच्चे अपने परिवार की आय को बढ़ाने के लिए कम उम्र में कुछ कामों में संलग्न होते हैं।

RRB NTPC (CBT II) Full Mock Test - 10 (Hindi) - Question 9

कंप्यूटर द्वारा प्रक्रिया उन्मुख भाषा प्रोग्राम को मशीन भाषा प्रोग्राम में अनुवाद करने के लिए किसका उपयोग किया जाता है?

Detailed Solution: Question 9

संवर्तक एक कंप्यूटर प्रोग्राम है जो उच्च स्तर की भाषा में लिखे गए कोड को निम्न स्तर की भाषा, वस्तु/मशीन कोड में अनुवाद करता है। स्रोत कोड को अनुवादित करने का सबसे सामान्य कारण एक निष्पादन योग्य प्रोग्राम बनाना है (उच्च स्तर की भाषा को मशीन भाषा में परिवर्तित करना)।

RRB NTPC (CBT II) Full Mock Test - 10 (Hindi) - Question 10

'इंटीग्रेटेड सर्किट' कंप्यूटरों की निम्नलिखित में से किस पीढ़ी से संबंधित हैं?

Detailed Solution: Question 10

तीसरी पीढ़ी: इंटीग्रेटेड सर्किट (1964-1971)
इंटीग्रेटेड सर्किट का विकास कंप्यूटरों की तीसरी पीढ़ी की पहचान था। ट्रांजिस्टरों को लघु बनाया गया और उन्हें सिलिकॉन चिप्स पर रखा गया, जिन्हें सेमीकंडक्टर्स कहा जाता है, जिससे कंप्यूटरों की गति और दक्षता में भारी वृद्धि हुई।

RRB NTPC (CBT II) Full Mock Test - 10 (Hindi) - Question 11

रेड डेटा बुक (जिसे रेड लिस्ट भी कहा जाता है) क्या है?

Detailed Solution: Question 11

रेड डेटा बुक एक सार्वजनिक दस्तावेज है जो संकटग्रस्त और दुर्लभ पौधों, जानवरों, फंगस और कुछ स्थानीय उपप्रजातियों को रिकॉर्ड करने के लिए बनाया गया है जो एक विशेष क्षेत्र में मौजूद हैं। रेड डेटा बुक हमें शोध, अध्ययनों और दुर्लभ और संकटग्रस्त प्रजातियों और उनके आदतों पर कार्यक्रमों की निगरानी के लिए पूरी जानकारी प्रदान करने में मदद करता है। यह पुस्तक मुख्य रूप से उन प्रजातियों की पहचान और संरक्षण के लिए बनाई गई है जो विलुप्त होने के कगार पर हैं।

RRB NTPC (CBT II) Full Mock Test - 10 (Hindi) - Question 12

भारत के संविधान के किस अनुच्छेद में 'शिक्षा का अधिकार' परिभाषित है?

Detailed Solution: Question 12

संविधान (छियासीवां संशोधन) अधिनियम, 2002 ने भारत के संविधान में अनुच्छेद 21-ए को शामिल किया, जो 'शिक्षा का अधिकार' परिभाषित करता है। इसका उद्देश्य छह से चौदह वर्ष की आयु के सभी बच्चों को मुफ्त और अनिवार्य शिक्षा प्रदान करना है, जिसे राज्य कानून द्वारा निर्धारित तरीके से लागू करेगा।

RRB NTPC (CBT II) Full Mock Test - 10 (Hindi) - Question 13

बयान:
P @ Q, M # N, N & Q

निष्कर्ष:
1. P $ M
2. N # P

Detailed Solution: Question 13

बयान: 
P @ Q → P ≥ Q
M # N → M ≤ N
N & Q → N < Q
इससे हमें मिलता है, P ≥ Q > N ≥ M
निष्कर्ष: 
I. P $ M → P > M - सत्य
II. N # P → N ≤ P - सत्य नहीं

RRB NTPC (CBT II) Full Mock Test - 10 (Hindi) - Question 14

निर्देश: नीचे एक कथन (A) और एक कारण (R) दिया गया है।
कथन (A): हाल के समय में मोबाइल फोन की बिक्री कई गुना बढ़ गई है।
कारण (R): ई-कॉमर्स का क्रेज मोबाइल बिक्री को बढ़ावा देता है।

सही विकल्प चुनें।

Detailed Solution: Question 14

यह एक आम मान्यता है कि हाल के समय में मोबाइल फोन की बिक्री में अत्यधिक वृद्धि हुई है। इसलिए, A सही है।
हालांकि, बिक्री में यह वृद्धि ई-कॉमर्स के क्रेज के कारण नहीं बल्कि नए सुविधाओं और कैमरे के प्रति क्रेज के कारण है।
मोबाइल फोन ऑफलाइन भौतिक दुकानों में भी बेचे जाते हैं।
इसलिए, R गलत है।

RRB NTPC (CBT II) Full Mock Test - 10 (Hindi) - Question 15

भारत का राष्ट्रीय चिन्ह किस सम्राट द्वारा निर्मित शेर का सिंहासन है?

Detailed Solution: Question 15

भारत का राज्य चिन्ह, जिसे भारत गणराज्य का राष्ट्रीय चिन्ह कहा जाता है, अशोक के शेर के सिंहासन का अनुकूलन है, जो 250 ईसा पूर्व में सारनाथ में बनाया गया था, और इसे वाराणसी, भारत के नजदीक सारनाथ संग्रहालय में संरक्षित किया गया है।

RRB NTPC (CBT II) Full Mock Test - 10 (Hindi) - Question 16

निम्नलिखित में से कौन सा पेट द्वारा गैस्ट्रिक जूस के एक घटक के रूप में स्रावित नहीं किया जाता है?

Detailed Solution: Question 16

सल्फ्यूरिक एसिड पेट द्वारा गैस्ट्रिक जूस के एक घटक के रूप में स्रावित नहीं किया जाता है। गैस्ट्रिक एसिड, या पेट का एसिड, पेट में निर्मित एक पाचन तरल है और इसमें हाइड्रोक्लोरिक एसिड (HCl), पोटेशियम क्लोराइड (KCl), और सोडियम क्लोराइड (NaCl) शामिल होते हैं।

RRB NTPC (CBT II) Full Mock Test - 10 (Hindi) - Question 17

निर्देश: एक कथन (A) और एक कारण (R) नीचे दिए गए हैं।
कथन (A): शहरी भारत ग्रामीण भारत की तुलना में अधिक बीमार है, इसके बावजूद कि स्वास्थ्य देखभाल सुविधाएं बेहतर हैं।
कारण (R): शहरी जीवन बढ़ते प्रदूषण स्तर, अस्वच्छ कचरा फेंकने और फास्ट फूड संस्कृति की समस्याओं का सामना कर रहा है।

सही विकल्प चुनें।

Detailed Solution: Question 17

शहरी भारत ग्रामीण भारत की तुलना में अधिक बीमार है, इसके बावजूद कि स्वास्थ्य देखभाल सुविधाएं बेहतर हैं। ग्रामीण भारत शहरी भारत की तुलना में अधिक स्वस्थ है क्योंकि ग्रामीण-शहरी विभाजन विशेष रूप से 45-59 आयु वर्ग में स्पष्ट है। जबकि केवल 13% ग्रामीण भारत के लोगों ने किसी रोग की सूचना दी, यह आंकड़ा शहरी भारत में लगभग 21% था।
यह बढ़ते प्रदूषण स्तर, फास्ट फूड संस्कृति और अस्वच्छ कचरा फेंकने के कारण है। इसलिए, R सत्य है और A का सही स्पष्टीकरण है।

RRB NTPC (CBT II) Full Mock Test - 10 (Hindi) - Question 18

श्री अखिल ने एफडी में 13,500 रुपये का निवेश किया। यदि उन्होंने इसे 20% वार्षिक चक्रवृद्धि ब्याज पर 6 महीने के लिए, त्रैमासिक चक्रवृद्धि के रूप में निवेश किया, तो परिपक्वता पर उन्हें कितना मिलेगा?

Detailed Solution: Question 18

जब हमें त्रैमासिक चक्रवृद्धि ब्याज (C.I.) की गणना करनी होती है। निम्नलिखित सूत्र लागू करें, जहां n त्रैमासिक की संख्या है, R ब्याज की दर है और P मुख्य राशि है।
मुख्य राशि = 13,500 रुपये
n = 6 महीने = 2 त्रैमासिक
R = 20%
यह 20/4 = 5% होगा।
तो, राशि = 13,500 रुपये 
= 13,500 x 1.1025
= 14,883.75 रुपये
श्री अखिल परिपक्वता पर 14,883.75 रुपये प्राप्त करेंगे।
इसलिए, उत्तर विकल्प 2 सही है।

RRB NTPC (CBT II) Full Mock Test - 10 (Hindi) - Question 19

_______ को दिसंबर 2021 में रेलवे बोर्ड के नए अध्यक्ष-सह-सीईओ के रूप में नियुक्त किया गया था।

Detailed Solution: Question 19

दिसंबर 2021 में, रेलवे मंत्रालय ने विनय कुमार त्रिपाठी को रेलवे बोर्ड के नए अध्यक्ष-सह-सीईओ के रूप में तत्काल प्रभाव से नियुक्त किया, यह कैबिनेट की नियुक्ति समिति (ACC) से अनुमोदन प्राप्त करने के बाद।
विनय कुमार त्रिपाठी, रेलवे बोर्ड के नए अध्यक्ष के रूप में नियुक्त होने से पहले, उत्तर प्रदेश के गोरखपुर में उत्तर पूर्व रेलवे के महाप्रबंधक के रूप में कार्यरत थे।

RRB NTPC (CBT II) Full Mock Test - 10 (Hindi) - Question 20

श्रृंखला का अगला पद खोजें:

BDCA, FHGE, JLKI, ?

Detailed Solution: Question 20

निम्नलिखित श्रृंखला में पैटर्न है:
B + 4 = F, F + 4 = J
D + 4 = H, H + 4 = L
C + 4 = G, G + 4 = K
A + 4 = E, E + 4 = I
इसी तरह, श्रृंखला में अगला पद:
J + 4 = N
L + 4 = P
K + 4 = O
I + 4 = M
इस प्रकार, सही उत्तर NPOM है।
इसलिए, उत्तर विकल्प 3 सही है।

RRB NTPC (CBT II) Full Mock Test - 10 (Hindi) - Question 21

रेनबो क्रांति किस क्षेत्र से संबंधित है?

Detailed Solution: Question 21

रेनबो क्रांति कृषि क्षेत्र के समग्र विकास से संबंधित है। रेनबो क्रांति का सिद्धांत फसल उत्पादन, बागवानी, वनों, मत्स्य पालन, मुर्गी पालन, पशुपालन और खाद्य प्रसंस्करण उद्योग का एकीकृत विकास है।
रेनबो क्रांति के विभिन्न रंग विभिन्न कृषि प्रथाओं का संकेत देते हैं जैसे कि हरे क्रांति (अनाज), सफेद क्रांति (दूध), पीली क्रांति (तेल के बीज), नीली क्रांति (मत्स्य पालन); सुनहरी क्रांति (फल); चांदी क्रांति (अंडे), गोल क्रांति (आलू), गुलाबी क्रांति (मांस), ग्रे क्रांति (उर्वरक) आदि।

RRB NTPC (CBT II) Full Mock Test - 10 (Hindi) - Question 22

निर्देश: नीचे दिए गए प्रश्न में, एक कथन के बाद दो कार्यवाही के पाठ्यक्रम क्रमांकित I और II हैं। कार्यवाही का पाठ्यक्रम सुधार, फॉलो-अप या समस्या, नीति आदि के संबंध में आगे की कार्रवाई के लिए उठाए जाने वाले कदम या प्रशासनिक निर्णय है। दिए गए जानकारी के आधार पर, आपको कथन में सभी चीजों को सत्य मानते हुए यह तय करना है कि सुझाए गए कौन से कार्यवाही के पाठ्यक्रम तार्किक रूप से अनुसरण करते हैं।

कथन:
एक देश तेजी और आसान संचार के बिना विकसित नहीं हो सकता।
कार्यवाही के पाठ्यक्रम:
I. सरकार को जनता को संचार सुविधाएं सस्ती दर पर प्रदान करनी चाहिए।
II. संचार के क्षेत्र में अधिक निजी कंपनियों को प्रवेश की अनुमति दी जानी चाहिए ताकि नेटवर्क को मजबूत किया जा सके।

Detailed Solution: Question 22

दोनों कार्यवाही के पाठ्यक्रम अनुसरण करते हैं क्योंकि वे सुनिश्चित करते हैं कि संचार नेटवर्क विस्तृत हो और देश के सभी लोगों तक पहुंचे।

RRB NTPC (CBT II) Full Mock Test - 10 (Hindi) - Question 23

2021 में, गुजरात के गठन के बाद, गुजरात विधानसभा की पहली महिला अध्यक्ष कौन बनी?

Detailed Solution: Question 23

2021 में, अनुभवी विधायक निमा बेन आचार्य को सर्वसम्मति से गुजरात विधानसभा की पहली महिला अध्यक्ष के रूप में चुना गया। वह तीन बार BJP की विधायक और दो बार कांग्रेस की विधायक रह चुकी हैं, और राज्य की सबसे वरिष्ठ विधायकों में से एक हैं।
गुजरात के गठन के बाद, 1960 में पहली बार विधानसभा में एक महिला अध्यक्ष नियुक्त हुई है।
यह चुनाव राजेंद्र त्रिवेदी के इस्तीफे और इस महीने (सितंबर 2021) की शुरुआत में नए मंत्रिमंडल में शामिल होने के बाद आवश्यक हो गया था, जब विजय रुपाणी और उनके पूरे मंत्रिमंडल ने इस्तीफा दिया।

RRB NTPC (CBT II) Full Mock Test - 10 (Hindi) - Question 24

एक महिला कहती है कि उसकी उम्र केवल सप्ताहांत के दिनों को गिनने पर 18 वर्ष होगी। उसकी वास्तविक उम्र क्या है?

Detailed Solution: Question 24

यदि केवल सप्ताहांत के दिनों को गिनने पर, पूरे सप्ताह का केवल 2/7 हिस्सा उसकी उम्र निकालने के लिए गणना की जाती है।
इसलिए, 18 वर्ष की उम्र = 2/7 (वास्तविक उम्र)
⇒ वास्तविक उम्र = 63 वर्ष

RRB NTPC (CBT II) Full Mock Test - 10 (Hindi) - Question 25

आपको एक प्रश्न दिया गया है जिसके बाद दो बयानों को I और II क्रमांकित किया गया है। आपको यह तय करना है कि बयानों में दिए गए डेटा प्रश्न का उत्तर देने के लिए पर्याप्त हैं या नहीं।

कोड भाषा में 'sen' का क्या अर्थ है?
I. कोड भाषा में, 'आप सुंदर हैं' को 'sen tou ki' के रूप में लिखा जाता है।
II. उसी कोड भाषा में, 'क्या आपके पास कॉफी होगी' को 'ti sen ae toce' के रूप में लिखा जाता है।

Detailed Solution: Question 25

दोनों वाक्यांशों 'आप सुंदर हैं' और 'क्या आपके पास कॉफी होगी' में सामान्य शब्द 'आप' है।
इसी तरह, दोनों कोड 'sen tou ki' और 'ti sen ae toce' में सामान्य शब्द 'sen' है।
तो, 'sen' का अर्थ 'आप' है।
इसलिए, प्रश्न का उत्तर देने के लिए हमें दोनों बयानों की आवश्यकता है।

RRB NTPC (CBT II) Full Mock Test - 10 (Hindi) - Question 26

किसानों को अल्पकालिक ऋण प्रदान करने के उद्देश्य से, भारत सरकार ने किसान क्रेडिट कार्ड (KCC) योजना वर्ष में शुरू की थी

Detailed Solution: Question 26

किसान क्रेडिट कार्ड (KCC) योजना अगस्त 1998 में भारतीय बैंकों द्वारा शुरू की गई एक ऋण योजना है। यह मॉडल योजना राष्ट्रीय कृषि और ग्रामीण विकास बैंक (NABARD) द्वारा आर.वी. गुप्ता समिति की सिफारिशों पर तैयार की गई थी, जिसका उद्देश्य कृषि क्षेत्र की समग्र ऋण आवश्यकताओं को पूरा करना है। इसका उद्देश्य किसानों को वित्तीय सहायता प्रदान करके कृषि क्षेत्र की व्यापक ऋण आवश्यकताओं को पूरा करना है। इसमें भाग लेने वाले संस्थाओं में सभी वाणिज्यिक बैंक, क्षेत्रीय ग्रामीण बैंक, और राज्य सहकारी बैंक शामिल हैं।

RRB NTPC (CBT II) Full Mock Test - 10 (Hindi) - Question 27

मुख्यमंत्री चरणजीत सिंह चन्नी ने 2022 में पंजाब सरकार रोजगार गारंटी योजना शुरू की, जो हर वर्ष 1 लाख सरकारी नौकरियों का वादा करती है। यह किसके लिए है?

Detailed Solution: Question 27

मुख्यमंत्री चरणजीत सिंह चन्नी ने 2022 में पंजाब सरकार रोजगार गारंटी योजना (PRAGTY) शुरू की, जो युवाओं के लिए हर वर्ष 1 लाख सरकारी नौकरियों का वादा करती है। यह विकास तब हुआ जब उनकी सरकार इस वर्ष पुनः चुनाव के लिए जोर दे रही थी। यह योजना बाद में कैबिनेट द्वारा स्वीकृत की गई।

RRB NTPC (CBT II) Full Mock Test - 10 (Hindi) - Question 28

राष्ट्रीय भूभौतिकीय अनुसंधान संस्थान कहाँ स्थित है?

Detailed Solution: Question 28

राष्ट्रीय भूभौतिकीय अनुसंधान संस्थान (NGRI), जो हैदराबाद में स्थित है, एक भूवैज्ञानिक अनुसंधान संगठन है जिसे 1961 में वैज्ञानिक और औद्योगिक अनुसंधान परिषद (CSIR) के तहत स्थापित किया गया था, जो भारत का सबसे बड़ा अनुसंधान और विकास संगठन है। इसे 200 से अधिक वैज्ञानिकों और अन्य तकनीकी कर्मचारियों द्वारा समर्थित किया जाता है, जिनकी अनुसंधान गतिविधियाँ कई राष्ट्रीय और अंतर्राष्ट्रीय पत्रिकाओं में प्रकाशित होती हैं।

RRB NTPC (CBT II) Full Mock Test - 10 (Hindi) - Question 29

मानव रक्त का pH मान लगभग क्या है?

Detailed Solution: Question 29

pH का मान 7.0, इस पैमाने के बीच में, तटस्थ है। रक्त सामान्यतः थोड़ा क्षारीय होता है, जिसका सामान्य pH मान 7.35 से 7.45 के बीच होता है। आमतौर पर शरीर रक्त का pH मान 7.40 के करीब बनाए रखता है। pH पैमाना 0 (बहुत अम्लीय) से 14 (बहुत क्षारीय या अल्कलाइन) तक होता है।

RRB NTPC (CBT II) Full Mock Test - 10 (Hindi) - Question 30

अक्षत लोकेश से टाइपिस्ट के रूप में दो गुना बेहतर है और मिलकर वे एक कार्य को 7 दिनों में पूरा करते हैं। लोकेश अकेले इस कार्य को कितने दिनों में पूरा करेगा?

Detailed Solution: Question 30

मान लीजिए कि अक्षत द्वारा कार्य पूरा करने में लगने वाला समय x दिन है।
लोकेश द्वारा कार्य पूरा करने में लगने वाला समय = 2x दिन
अक्षत और लोकेश द्वारा एक दिन में किया गया कार्य = 1/7
इससे हमें मिलता है: 1/x + 1/2x = 1/7
इससे हमें 21 = 2x मिलता है।
इसलिए, लोकेश द्वारा कार्य पूरा करने में लगने वाला समय = 21 दिन है।
इसलिए, उत्तर विकल्प 4 सही है।

View more questions
35 tests
Information about RRB NTPC (CBT II) Full Mock Test - 10 (Hindi) Page
In this test you can find the Exam questions for RRB NTPC (CBT II) Full Mock Test - 10 (Hindi) solved & explained in the simplest way possible. Besides giving Questions and answers for RRB NTPC (CBT II) Full Mock Test - 10 (Hindi), EduRev gives you an ample number of Online tests for practice
Download as PDF