JEE Exam  >  JEE Test  >  MCQ (Previous Year Questions) - Maxima And Minima (Competition Level 1) - JEE MCQ

MCQ (Previous Year Questions) - Maxima And Minima (Competition Level 1)


MCQ Practice Test & Solutions: MCQ (Previous Year Questions) - Maxima And Minima (Competition Level 1) (33 Questions)

You can prepare effectively for JEE with this dedicated MCQ Practice Test (available with solutions) on the important topic of "MCQ (Previous Year Questions) - Maxima And Minima (Competition Level 1)". These 33 questions have been designed by the experts with the latest curriculum of JEE 2026, to help you master the concept.

Test Highlights:

  • - Format: Multiple Choice Questions (MCQ)
  • - Duration: 33 minutes
  • - Number of Questions: 33

Sign up on EduRev for free to attempt this test and track your preparation progress.

MCQ (Previous Year Questions) - Maxima And Minima (Competition Level 1) - Question 1

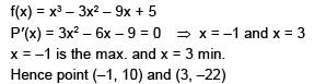
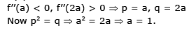
If the function f(x) = 2x3 – 9ax2 + 12a2 x + 1, where a > 0, attains its maximum and minimum at p and q respectively such that p2 = q, then a equals

[AIEEE 2003]

Detailed Solution: Question 1

MCQ (Previous Year Questions) - Maxima And Minima (Competition Level 1) - Question 2

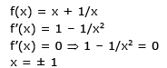
The real number x when added to its inverse gives the minimum value of the sum at x equal to

[AIEEE 2003]

Detailed Solution: Question 2

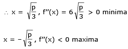
MCQ (Previous Year Questions) - Maxima And Minima (Competition Level 1) - Question 3

The function f(x)  has a local minimum at –

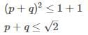
[AIEEE 2006]

Detailed Solution: Question 3

MCQ (Previous Year Questions) - Maxima And Minima (Competition Level 1) - Question 4

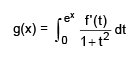
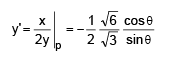
A  triangular park is enclosed on two sides by a fence and on the third side by a straight river bank. The two sides having fence are of same length x. The maximum area enclosed by the park is –

[AIEEE 2006]

Detailed Solution: Question 4

Let ABC is a given integular part whose two sides AB + AC equal to x. If √ABC = θ and AD BC, then

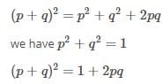
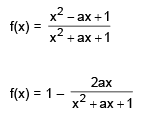
MCQ (Previous Year Questions) - Maxima And Minima (Competition Level 1) - Question 5

If p and q are positive real numbers such that  p2 + q2 = 1, then the maximum value of (p + q) is

[AIEEE 2007]

Detailed Solution: Question 5

Using AM ≥ GM

we know that 

MCQ (Previous Year Questions) - Maxima And Minima (Competition Level 1) - Question 6

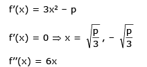
Suppose the cubic x3 – px + q has three distinct real roots where p > 0 and q > 0. Then which one of the following holds ?    

[AIEEE 2008]

Detailed Solution: Question 6

MCQ (Previous Year Questions) - Maxima And Minima (Competition Level 1) - Question 7

Given P(x) = x4 +ax3 + bx2 +cx + d such that x = 0 is the only real root of P’ (x) =0. If P(–1) < P(1), then in the interval [–1,1] -

[AIEEE 2009]

Detailed Solution: Question 7

MCQ (Previous Year Questions) - Maxima And Minima (Competition Level 1) - Question 8

The shortest distance between the line y – x = 1 and the curve x = y2 is -

[AIEEE 2009]

Detailed Solution: Question 8

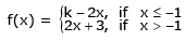
MCQ (Previous Year Questions) - Maxima And Minima (Competition Level 1) - Question 9

Let f : R → R be defined by 

 if  f has a loca l minimum at x =–1, then a possible value of k is

[AIEEE 2010]

Detailed Solution: Question 9

MCQ (Previous Year Questions) - Maxima And Minima (Competition Level 1) - Question 10

Detailed Solution: Question 10

MCQ (Previous Year Questions) - Maxima And Minima (Competition Level 1) - Question 11

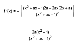
Let a, b ∈ R be such that the function f given by   as extreme values at x = –1 and x = 2.

Statement 1 : f has local maximum at x = – 1 and at x = 2
Statement 2: a = 1/2 and = -1/4

[AIEEE 2012]

Detailed Solution: Question 11

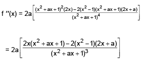
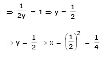
 A function f, such that

Now, given function if is given by

Hence, obviously statement 1 is correct.
Also, while solving for statement 1, we found the values of a and b, which justify that statement 2 is also corret.
However, statement 2 does not explains statement 1 in any way.

 

MCQ (Previous Year Questions) - Maxima And Minima (Competition Level 1) - Question 12

 [JEE 2000 (Scr.), 1]

Detailed Solution: Question 12

MCQ (Previous Year Questions) - Maxima And Minima (Competition Level 1) - Question 13

Find the area of the right angled triangle of least area that can be drawn so as to circumscribe a rectangle of sides ‘a’ and ‘b’, the right angle of the triangle coinciding with one of the angles of the rectangle.

[REE 2001 Mains, 5]

Detailed Solution: Question 13

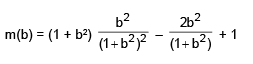
MCQ (Previous Year Questions) - Maxima And Minima (Competition Level 1) - Question 14

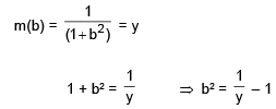
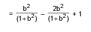
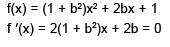
(a) Let f(x) = (1 + b2) x2 + 2bx + 1 and let m(b) is minimum value of f(x).  As b varies, the range of m(b) is

[JEE 2001 (Scr.), 1 + 1]

Detailed Solution: Question 14

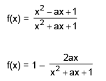
MCQ (Previous Year Questions) - Maxima And Minima (Competition Level 1) - Question 15

The maximum value of   under the restrictions   and 

Detailed Solution: Question 15

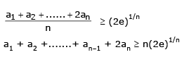
MCQ (Previous Year Questions) - Maxima And Minima (Competition Level 1) - Question 16

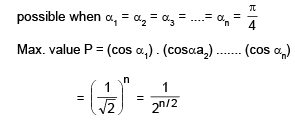
If a1, a2 ,......, an are positive real numbers whose product is a fixed number e, the minimum value of   

Detailed Solution: Question 16

AM ≥ GM

MCQ (Previous Year Questions) - Maxima And Minima (Competition Level 1) - Question 17

Find a point on the curve x2 + 2y2 = 6 whose distance from the line x + y = 7, is minimum.

[JEE 2003 Mains, 2 + 2]

Detailed Solution: Question 17

MCQ (Previous Year Questions) - Maxima And Minima (Competition Level 1) - Question 18

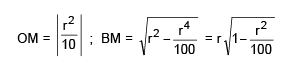
For a circle x2 + y2 = r2 find the value of ‘r’ for which the area enclosed by the tangents drawn from the point P(6, 8) to the circle and the chord of contact is maximum.

Detailed Solution: Question 18

MCQ (Previous Year Questions) - Maxima And Minima (Competition Level 1) - Question 19

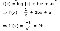
Let f(x) = x3 + bx2 + cx + d, 0 < b2 < c. Then f

[JEE 2004, (Scr.)]

Detailed Solution: Question 19

MCQ (Previous Year Questions) - Maxima And Minima (Competition Level 1) - Question 20

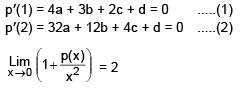
If p(x) be a polynomial of degree 3 satisfying p(–1) = 10, p(1) = –6 and p(x) has maximum at x = –1 and p’(x) has minima at x = 1. Find the distance between the local maximum and local minimum of the curve.

[JEE 2005 Mains, 4]

Detailed Solution: Question 20

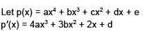
Let the polynomial P(x) = ax3 + bx2 + cx + d

Given that

P(–1) = –a + b – c + d = 10

P(1) = a + b + c + d = –6

P’(1) = 3a – 2b + c = 0

P’’(1) = 6a + 2b = 0  Þ  3a + b = 0

solving for a, b, c, d we get

*Multiple options can be correct
MCQ (Previous Year Questions) - Maxima And Minima (Competition Level 1) - Question 21

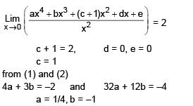
 If f(x) is cubic polynomial which f(x) has local maximum at x = –1. If f(2) = 18 and f(1) = –1 and f ’(x) has local minima at x = 0, then

[JEE 2006, 5 + 5 + 6]

Detailed Solution: Question 21

Let f(x) = ax3 + bx2 + cx + d

f(2) = 8a + 4b + 2c + d = 18

f(1) = a + b + c + d = –1

f ’(–1) = 3a – 2b + c = 0

f ’’(0) = 0  → b = 0

By solving we get the polynomial

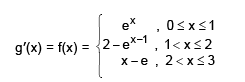
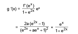
MCQ (Previous Year Questions) - Maxima And Minima (Competition Level 1) - Question 22

Let f(x) =  and 

Detailed Solution: Question 22

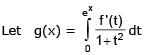
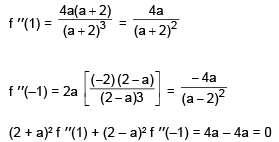
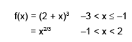
MCQ (Previous Year Questions) - Maxima And Minima (Competition Level 1) - Question 23

The total number of local maxima and local minima of the function f(x) = 

[JEE 2008, 3 + 4 + 4 + 4]

Detailed Solution: Question 23

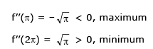
clearly

x = 0 is point of minima

and x = –1 is point of maxima

MCQ (Previous Year Questions) - Maxima And Minima (Competition Level 1) - Question 24

Comprehension :

Consider the function f :  defined by 

Which of the following is true ?

[JEE 2008]

Detailed Solution: Question 24

MCQ (Previous Year Questions) - Maxima And Minima (Competition Level 1) - Question 25

Comprehension :

Consider the function f :  defined by 

Which of the following is true ?

 

Detailed Solution: Question 25

MCQ (Previous Year Questions) - Maxima And Minima (Competition Level 1) - Question 26

Which of the following is true ?

 

Detailed Solution: Question 26

MCQ (Previous Year Questions) - Maxima And Minima (Competition Level 1) - Question 27

Let p(x) be a polynomial of degree 4 having extremum at x = 1, 2 and    Then the value of p(2) is

[JEE 2009]

Detailed Solution: Question 27

MCQ (Previous Year Questions) - Maxima And Minima (Competition Level 1) - Question 28

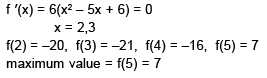
 The maximum value of the function f(x) = 2x3 – 15x2 + 36x – 48 on the set 

Detailed Solution: Question 28

MCQ (Previous Year Questions) - Maxima And Minima (Competition Level 1) - Question 29

 Let f, g and h be real-value d func tions defined on the interval      If a, b and c denote respectively, the absolute maximum of f, g and h on [0, 1], then

Detailed Solution: Question 29

MCQ (Previous Year Questions) - Maxima And Minima (Competition Level 1) - Question 30

The number of distinct real roots of x4 – 4x3 + 12x2 + x – 1 = 0 is

[JEE 2011, 4]

Detailed Solution: Question 30

View more questions
Information about MCQ (Previous Year Questions) - Maxima And Minima (Competition Level 1) Page
In this test you can find the Exam questions for MCQ (Previous Year Questions) - Maxima And Minima (Competition Level 1) solved & explained in the simplest way possible. Besides giving Questions and answers for MCQ (Previous Year Questions) - Maxima And Minima (Competition Level 1), EduRev gives you an ample number of Online tests for practice
Download as PDF