You can boost your Civil Engineering (CE) 2026 exam preparation with this UPSSSC JE Civil Mock Test - 2 (available with detailed solutions).. This mock test has been designed with the analysis of important topics, recent trends of the exam, and previous year questions of the last 3-years. All the questions have been designed to mirror the official pattern of Civil Engineering (CE) 2026 exam, helping you build speed, accuracy as per the actual exam.
Mock Test Highlights:
Sign up on EduRev for free and get access to these mock tests, get your All India Rank, and identify your weak areas to improve your marks & rank in the actual exam.
The daily per capita consumption of water apparently increases with:
A. Higher standard of living of people
B. Availability of sewage in the city
C. Metered water supply
D. Wholesome and potable quality of water
Choose the correct answer below.
Detailed Solution: Question 1
Detailed Solution: Question 2
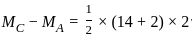
The shear-force diagram of a loaded beam is shown in the following figure. The maximum bending moment in the beam is

Detailed Solution: Question 3
Detailed Solution: Question 4
Consider the following statements:
1. The minimum steel requirements of slabs are based on considerations of shrinkage and temperature effects alone, and not on strength.
2. Providing excessive reinforcement in beams can result in congestion, thereby adversely affecting the proper placement and compaction of concrete.
Which of the above statements is/are correct?
Detailed Solution: Question 5
The project given below follows PERT analysis whose expected duration of completion is 8 days. The pessimistic time for activity AB of the project is

Detailed Solution: Question 6
___________ is a field method for the determination of water content & is rapid, but not very accurate.
Detailed Solution: Question 7
Prepare an approximate estimate of a factory building proposed to made up of RCC with the following data points:
The total plinth area of the entire building is 120 m2 (built-up area).
Plinth area rate for the RCC building is Rs. 6000/-.
Detailed Solution: Question 8
Which one of the following is not a part of ‘speed and delay’ studies?
Detailed Solution: Question 9
A window projecting outward from the walls of a room is termed as _______
Detailed Solution: Question 10
Detailed Solution: Question 11
Which of the following metamorphic rocks has the most weather resisting characteristics?
Detailed Solution: Question 12
Detailed Solution: Question 13
Detailed Solution: Question 14
A bar of brass is enclosed in a steel tube and is rigidly fixed at both ends. When the temperature is increased, the nature of stresses developed in both the bars are if αbr > αst -

Detailed Solution: Question 15
Choose the main objectives of estimating analysis of rates at construction.
1. To determine the actual cost of items on location
2. To finalize the labor contract rates
3. To find out the quantity of materials and labor required for specific work
4. To know the alternatives to optimize the resources
Detailed Solution: Question 16
Flow of liquid flowing through a long pipe of constant diameter at either increasing or decreasing rate is
Detailed Solution: Question 17
Tensile reinforcements provided at the mid span in the middle strip shall extend into the lower part of the slab to within ___________ of a continuous edge or _____________ of a discontinuous edge while designing slabs.
Detailed Solution: Question 18
A steel member ‘M’ has reversal of stress due to live loads, whereas another member ‘N’ has reversal of stress due to wind load. As per IS 800: 2007, the maximum slenderness ratio permitted is:
Detailed Solution: Question 19
Which of the following is a desirable quality of an actual working substance for transmitting load in a hydraulic piston ?
1. Wear Resistance
2. Infinite bulk modulus
3. High Compressibility
Detailed Solution: Question 20
As per IS 712 -1984, the lime used for structural purposes (for making mortar and concrete for construction and foundation works) having an initial setting time of 2 hours (minimum) and final setting time of 48 hours (maximum) is :
Detailed Solution: Question 21
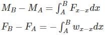
In case of compression members composed of two channels as shown in figure. For channel configuration in figure 1, Pick up the correct answer:

Detailed Solution: Question 22
Which of the following is ‘defined as the load in kilograms per unit rail length required to produce one unit depression in the rail bottom’?
Detailed Solution: Question 23
What will be the curve lead for a 1 in 8.5 turnout taking off from a straight BG track?
Detailed Solution: Question 24
Detailed Solution: Question 25
Detailed Solution: Question 26
Who of the following persons have been the speaker of Legislative Assembly of Uttar Pradesh three times each–
1. Aatma Ram Govind Kher
2. Sri Banarasi Das
3. Sri Keshari Nath Tripathi
4. Sripati Mishra
Detailed Solution: Question 27
Detailed Solution: Question 28
Which of the following statements is/are correct about the State Finance Commission of Uttar Pradesh?
1. Fourth Finance Commission is implemented in the state.
2. Chairman of the Fourth Finance Commission is K. C. Tripathi.
3. The first State Finance Commission was constituted in 1994.
4. The State Finance Commission is constituted under Article 243 (U) of the Indian Constitution.
Detailed Solution: Question 29
Detailed Solution: Question 30