What is the maximum permissible slenderness ratio of a major compression member which undergoes a reversal of stress due to wind load so the deformation of such members does not adversely affect the stress in any part of the structure?
On curved tracks, minimum ballast cushion is maintained at __________.
The ratio of contact pressure to tyre pressure is called the:
A leveling is carried out to establish the Reduced Levels (RL) of point R with respect to the Bench Mark (BM) at P. The staff readings taken are given below.

If RL of P is +100.000 m, then RL (in m) of R is
According to the basic principles of errors, if n observations are made, then the accidental errors are proportional to:
The phenomenon of internal cracking (separation of fibres) in timber due to drying stresses is called as:
When constructing a tunnel in the mountains, sometimes small portions of the proposed tunnel are made first and then larger parts. What is this method of construction called?
Two statements S1 and S2 pertaining to clay soils are given.
S1: The in situ moisture content for a sensitive clay may be greater than the liquid limit, and the liquidity index is greater than one.
S2 : In many naturally deposited clay soils, the unconfined compressive strength for undisturbed clay is less than the remolded clay, at the same moisture content
Choose the correct answer.
An isolated T-beam is used as a walkway. The beam is simply supported with an effective span of 6 m. The effective width of the flange for the cross-section shown in the figure is:

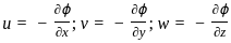
The stream function of the flow field is given by the equation ψ = 5 + 5y + 6xy + 2x. The value of the x-component of the velocity 'u' will be
A glass tube of small diameter is vertically held in tub of water, the capillary rise increases when
Which of these statements are correct?
The modular ratio of M25 grade of concrete if σcbc = 8.5 MPa
The following statements (S1, and S2) pertain to Overtaking sight distance (OSD) on highways
S1: OSD depends on the speeds of overtaking vehicle, overtaken vehicle, and vehicle coming from the opposite direction.
S2: OSD requirement decreases on road stretches with descending gradient (gradient value greater than ruling gradient in plain terrain)
Assess the statements as True or False and choose the best option.
The PVCN (Pigment Volume concentration number) range of paint for prime coat on metals is?
Math List-I (Organism) with List-II (Process) and select the correct answer using the codes given below the lists:

Which of the following buckling classes is applicable about an axis passing through centroid of a hot rolled hallow steel cross section used as a axially loaded compression member as shown in the figure?

Consider the below statements with respect to facing points of turnouts in railway crossings and identify the correct answer.
Statement A: Trains pass over the Crossing first and then they pass over Switches.
Statement B: Trains pass over the switches first and then they pass over the crossing.
The ratio of slope at free end in cantilever beam having uniform load intensity to varying load intensity maximum at fixed end, would be
Shri Krishna Janmasthan Temple is located in which of the following districts of Uttar Pradesh?
Which of the Following Statements is/are incorrect About the Allahabad Treaty?
1. Allahabad Treaty concluded (1765) Under the Rule of Ahmad Shah.
2. Under This Treaty Diwani Rights of Bengal, Bihar, and Orissa Granted to the British.
Find the right code given below.