You can boost your Civil Engineering (CE) 2026 exam preparation with this UPSSSC JE Civil Mock Test - 7 (available with detailed solutions).. This mock test has been designed with the analysis of important topics, recent trends of the exam, and previous year questions of the last 3-years. All the questions have been designed to mirror the official pattern of Civil Engineering (CE) 2026 exam, helping you build speed, accuracy as per the actual exam.
Mock Test Highlights:
Sign up on EduRev for free and get access to these mock tests, get your All India Rank, and identify your weak areas to improve your marks & rank in the actual exam.
Select the INCORRECT statement(s) related to stone masonry.
i) The horizontal course provided at suitable levels between the plinth and the cornice is termed as a string course.
ii) A corbel is a projecting stone which is usually provided to serve as support for roof truss, beam etc.
iii) The horizontal course provided to strengthen a wall of irregular small stones is known as coping.
iv) The exposed horizontal surfaces at right angles to the door or window frames are known as jambs.
Detailed Solution: Question 1
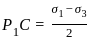
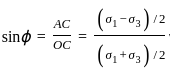
Which component represents the minor principal stress in the Mohr’s circle of a direct shear test?

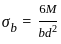
Detailed Solution: Question 2
Detailed Solution: Question 3
The quantity of honey-comb wall and partition wall is carried out in the unit of:
Detailed Solution: Question 4
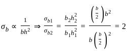
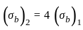
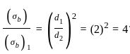
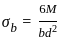
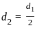
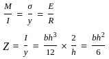
A beam of same cross section is used in two different orientations as shown in figure. Bending moment applied to the beam in both cases are same. The maximum bending stress induced in case A and B are related to

Detailed Solution: Question 5
A residential plot is in the form of a square ABCD whose sides are 20 m long. The measured area of plot ABCD from the survey map is 400 cm2. The scale used for map marking is:
Detailed Solution: Question 6
Detailed Solution: Question 7
In Standard Penetration Test, the term penetration resistance N, is the number of blows required to drive the sampler______ beyond the seating drive.
Detailed Solution: Question 8
Detailed Solution: Question 9
Inbox area displays a ______ in a folder, where unread messages are bold.
Detailed Solution: Question 10
Choose the correct statement.
a) The strength of fully compacted concrete is inversely proportional to the water cement ratio.
b) The strength of fully compacted concrete is directly proportional to the water cement ratio.
Detailed Solution: Question 11
Detailed Solution: Question 12
Detailed Solution: Question 13
Detailed Solution: Question 14
The standard penetration of VG40 as stipulated by the Indian standard is a minimum of:
Detailed Solution: Question 15
At the caps of columns in simple storey buildings. the horizontal deflection due to lateral force should NOT ordinarily exceed _______ of the actual length 'l' of the column.
Detailed Solution: Question 16
The number of zones in India for classifying allowable moisture content for building timber as per the Indian standard are:
Detailed Solution: Question 17
Detailed Solution: Question 18
Detailed Solution: Question 19
Detailed Solution: Question 20
Design of a RC column subjected to biaxial bending depends on
(i) axial ultimate load.
(ii) ultimate bending moment about x-axis (Mux)
(iii) ultimate bending moment about y-axis (Muy)
Detailed Solution: Question 21
Detailed Solution: Question 22
Detailed Solution: Question 23
Detailed Solution: Question 24
Detailed Solution: Question 25
Detailed Solution: Question 26
Detailed Solution: Question 27
Detailed Solution: Question 28
Detailed Solution: Question 29
Detailed Solution: Question 30