Civil Engineering (CE) Exam  >  Civil Engineering (CE) Test  >  UPSSSC JE Civil Mock Test Series 2026  >  UPSSSC JE Civil Mock Test - 8 - Civil Engineering (CE) MCQ

Civil Engineering (CE) UPSSSC JE Mock Test - 8 Free Online Test 2026


Test Description

30 Questions MCQ Test UPSSSC JE Civil Mock Test Series 2026 - UPSSSC JE Civil Mock Test - 8

UPSSSC JE Civil Mock Test - 8 for Civil Engineering (CE) 2026 is part of UPSSSC JE Civil Mock Test Series 2026 preparation. The UPSSSC JE Civil Mock Test - 8 questions and answers have been prepared according to the Civil Engineering (CE) exam syllabus.The UPSSSC JE Civil Mock Test - 8 MCQs are made for Civil Engineering (CE) 2026 Exam. Find important definitions, questions, notes, meanings, examples, exercises, MCQs and online tests for UPSSSC JE Civil Mock Test - 8 below.
Solutions of UPSSSC JE Civil Mock Test - 8 questions in English are available as part of our UPSSSC JE Civil Mock Test Series 2026 for Civil Engineering (CE) & UPSSSC JE Civil Mock Test - 8 solutions in Hindi for UPSSSC JE Civil Mock Test Series 2026 course. Download more important topics, notes, lectures and mock test series for Civil Engineering (CE) Exam by signing up for free. Attempt UPSSSC JE Civil Mock Test - 8 | 100 questions in 120 minutes | Mock test for Civil Engineering (CE) preparation | Free important questions MCQ to study UPSSSC JE Civil Mock Test Series 2026 for Civil Engineering (CE) Exam | Download free PDF with solutions
UPSSSC JE Civil Mock Test - 8 - Question 1

While designing for shear, the capacity shear component, namely (Ma + Mb)/L is designed with an additional load factor of

Detailed Solution for UPSSSC JE Civil Mock Test - 8 - Question 1

Solution:
Designing of shear is based on the limit state method. Design of limit state method based on failure condition of structure.
Two Factor of safety (FOS) are considered
1. Partial FOS applied to stress.
2. Partial FOS applied to loads.
A) Stress FOS
Design stress = Characteristic strength / Partial FOS for stress
Partial FOS for stress -
for concrete (Yme) = 1.50
for steel (Yms) = 1.15
B) Load FOS -
for concrete = 1.50
for steel = 1.50
Additional Information:-
As per is code : 456 - 2000 (page - 69)
Compressive strength of concrete shall be considered 0.67 fck then a partial FOS Ymc = 1.50 shall be applied in addition to this.

UPSSSC JE Civil Mock Test - 8 - Question 2

The type of wastewater that originates from the bathroom, kitchen, washing places and wash basins is called:

Detailed Solution for UPSSSC JE Civil Mock Test - 8 - Question 2

Explanation:

Sullage:

The water from the bathroom, kitchens washbasin and washing paces are known as sullage.

Sewage:

The used water mixed with organic and inorganic solids, fluid wastes from houses, factories, and dry weather flow is called sewage.

Dry waste:

The waste which does not contain any moisture is known as dry waste. Garbage, rubbish, and ashes are three forms of dry waste.

UPSSSC JE Civil Mock Test - 8 - Question 3

The net downward force of prestressed concrete beam with bent tension is given as:

Detailed Solution for UPSSSC JE Civil Mock Test - 8 - Question 3

Concept:
Load-Balancing Method:

  • It is based on utilizing the vertical force of the harped prestressing tendon to balance the imposed gravity load i.e. transverse component of the tendon force balances external force.
  • This method is used for non-straight prestressing tendons.

Calculation:
For a concrete beam with bent tendons as shown below –u}

Here,
W – concentrated external load acting on the beam.
P – Tendon force.
θ – Angle which the bent tendon is making with the horizontal.
ec and ee – Eccentricity at centre and ends respectively.
From the figure above,
Transverse component of the tendon force at the centre of the span = 2Psinθ
Net downward force = W – 2PsinθOther Related PointsThe following figure shows the balancing load for different types of cable profiles-

UPSSSC JE Civil Mock Test - 8 - Question 4

Among the following excavators, the most suitable excavator for dredging purposes will be

Detailed Solution for UPSSSC JE Civil Mock Test - 8 - Question 4

Explanation:
Dragline:

(i) Its size is also denoted by the size of bucket.
(ii) Bucket is lifted upward and is drawdown vertical with the cutting edge pointing downward.
(iii) Soil is loosened by the impact of bucket. Bucket is then dragged horizontally during which bucket is then empty by overturning it.
(iv) It is most suitable for under water excavation.
(v) Excavated material can be directly unloaded into a dumper.
(vi) Digging range is more as compared to a power shovel or backhoe.
(v) its output is about 75-80% of the output of power shovel with the same bucket capacity.

Back hoe or hoe:
(i) its size is denoted by the size of the bucket.
(ii) Movement of the bucket is downward and inward direction.
(iii) It is suitable for excavation below the track level for making of trenches and basement.
(iv) It is suitable for the excavation of hard and tough material and it has the maximum thrust.
(v) Excavated material can be directly unloaded into a dumper


Power shovel:
(i) Size of the power shovel is denoted by the size of the bucket.
(ii) Movement of the bucket is in forward and backward direction.
(iii) It is suitable for excavation of vertical face above the track level.
(iv) Excavated material can be directly unloaded into the dumper.
(v) It is not suitable for the excavation of hard rocks (without prior loosening).
(vi) Its loading and operational efficiency is quite high.

UPSSSC JE Civil Mock Test - 8 - Question 5
Which of the following methods is NOT used in the determination of total hardness alone?
Detailed Solution for UPSSSC JE Civil Mock Test - 8 - Question 5

Concept:

Electrometric method:

  • It is the most accurate and simple, method of determining soil and water pH.
  • In this method, a sensing glass electrode is immersed into the sample
  • A sensing glass electrode is only used for testing the pH of the water or soil pH.
  • The difference between the H plus ion exchangeable activities in the sample and in the glass electrodes gives rise to an electric potential difference that is related to sample pH.

Clark's method, versenate method, and Hehner’s method all three methods are used alone to determine the total hardness.

UPSSSC JE Civil Mock Test - 8 - Question 6

The vertical sides of a door and window openings provided in a wall are known as

Detailed Solution for UPSSSC JE Civil Mock Test - 8 - Question 6

Door frame:
The door frame consists of an assembly of horizontal and vertical members that are placed at the top, bottom, and sides of an opening to form an enclosure providing support for a door. Generally, the door frame is made of wood.

Following are the members of door frame
1) Head of Door Frame

The head is the top horizontal member of the frame.
2) The sill of Door Frame
The sill is the bottom horizontal member of the frame which may or may not be provided. The main reason for providing the sill frame is that the floor acts as a sill itself
3) Horn of Door Frame
It is a horizontal projection of the top and bottom members of the frame to enable the fixing of the frame in the wall opening.
4) Jamb of Door Frame
The door jamb is the vertical wall face of a door opening that supports the door frame. In the door frame, the jamb is the vertical portion of the door frame in which a door is secured. If you want to open and lock your door properly, door jamb is important.
5) Holdfasts of a door frame
These are the mild steel flat bars that are used to hold the frame in the position. These bars are generally bent into Z-shape and fixed on one end to the frame and the other end is inserted in the wall.
6) Rebate of a door frame
It is a depression made all around the door frame, on one side of which, the door shutter is fixed by the means of hinges.
7) A threshold of a door frame
It is the cross wooden piece fixed to door under a door frame which forms the sill and may be provided if required.
8) The transom of a door frame
It is a horizontal member of a frame, which is provided to sub-divide a door opening horizontally.
9) Mullion of a door frame
It is a vertical member of the frame, which is provided to sub-divide a door vertically.

UPSSSC JE Civil Mock Test - 8 - Question 7

The maximum strain energy which can be stored by a body without undergoing permanent deformation is called as:

Detailed Solution for UPSSSC JE Civil Mock Test - 8 - Question 7

Concept:
Strain energy:

  • Strain Energy of the member is defined as the internal work done in deforming the body by the action of externally applied forces.

Resilience:

  • Resilience is defined as the capacity of a strained body for doing work on the removal of the straining force.

Proof resilience:

  • Proof resilience is defined as the maximum strain energy stored in a body. So, it is the quantity of strain energy stored in a body when strained up to the elastic limit (ability to store or absorb energy without permanent deformation).

Modulus of resilience:

  • Modulus of resilience is defined as proof resilience per unit volume. It is the area under the stress-strain curve up to the elastic limit.

UPSSSC JE Civil Mock Test - 8 - Question 8

Which one of the following assumptions of Boussinesq's theory of stress in the soil is/are correct?

1. The soil medium is elastics, non-homogenous, isotropic, and semi-infinite medium.

2. The soil is initially stressed.

3. The soil is assumed to be non-dilatant.

4. The top surface of the soil medium is free from shear stresses and is subjected to only point loads.

Detailed Solution for UPSSSC JE Civil Mock Test - 8 - Question 8

Concept:

The assumptions of Boussinesq's theory of stress in soil are given below-

  • The soil medium is elastics, a homogenous, isotropic, and semi-infinite medium.
  • The top surface of the soil medium is free from shear stresses and is subjected to only point loads.
  • The soil is initially unstressed.
  • The soil is assumed to be non-dilatant, which means the change in volume of the soil upon application of the loads onto it is neglected.
  • The medium obeys Hooke's law.
  • The self-weight of the soil is ignored.
  • The stresses are distributed symmetrically with respect to the vertical axis.
UPSSSC JE Civil Mock Test - 8 - Question 9
Which of the following method is most suitable for concreting heavily reinforced raft foundation at 4 meters below ground level?
Detailed Solution for UPSSSC JE Civil Mock Test - 8 - Question 9

The correct answer is D. Boom Pump concreting

For heavily reinforced raft foundations situated 4 meters below ground level, Boom Pump concreting is the most effective method. This technique is designed for mass concreting in areas that are difficult to access, making it ideal for lower-level constructions. It allows for efficient placement of concrete in congested sections, ensuring proper compaction and coverage.

Details on Other Options:

  • A: Slipform concreting is not suitable here because it is primarily used for continuous structures like pavements and walls, rather than for mass concrete placement in deep foundations.
  • B: Concreting by tremie pipe is specifically tailored for underwater applications, making it less appropriate for a raft foundation that is not submerged.
  • C: Bottom dump bucket concreting is designed for underwater scenarios as well, where concrete is dumped from a watertight container. This method does not meet the requirements for a dry foundation at a depth of 4 meters.

Conclusion:

The D, as the most accurate and relevant option, stands out for its suitability in handling mass concrete at lower levels, clearly differentiating it from the other methods. Thus, Boom Pump concreting is the correct choice.

UPSSSC JE Civil Mock Test - 8 - Question 10

A 20-mm-thick soil sample takes 20 min to reach 20% consolidation. The time taken for a 6-m-thick clay layer to reach 40% consolidation is _________ . (Assume double drainage in both cases.)

Detailed Solution for UPSSSC JE Civil Mock Test - 8 - Question 10

Concept:
Degree of consolidation(U):
The degree of consolidation is defined as the ratio of settlement at a particular time to the ultimate settlement, expressed in percentage.
U = S/Sf x 100
Where
S = settlement occurred up to certain time, Sf = final settlement after consolidation
If U ≤ 60 %, then Tv = (π/4) × [U/100]²
If U > 60 %, then Tv = 1.781 – 0.933 × log10 [100 – U %]
Time factor (T):
Tv = (Cv × t) / d² 
Where,
C
V = coefficient of consolidation, T = time of consolidation
d = drainage path
d = H
o/2 for double drainage
d = H
o for single drainage
Calculation:

Given data
Condition - I
H1 = 20 mm
d1 = H1 / 2 = 10 mm
t1 = 20 min
U1 = 20%
Condition - II
H2 = 6 m
d2 = H2 / 2 = 3mt2 = ?
U2 = 40%
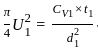
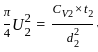
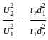
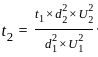
Now using the relationship between U & Tv is

π/4U2 = Cv x t /d2

For condition - I

............(i)

For condition - II

............(ii)

Now divide the equation (ii) by equation (I)

where CV1 = CV2 (Same soil)

t2 = 20 x (3000)2 x (40)2/102 x (20)2 = 7200000 min = 120000 hrs = 5000 days = 166.66 months = 13.88 years

UPSSSC JE Civil Mock Test - 8 - Question 11

Which of the following is/are not the characteristic(s) of an ideal reinforcing material?

A. It should be easily available in bulk at low prices.

B. It should not possess high tensile stress and elasticity

C. It should be free from loose mill scales, loose rust, and a coat of paint.

Detailed Solution for UPSSSC JE Civil Mock Test - 8 - Question 11

Explanation:

Characteristics of ideal reinforcing material:-

  • It should be easily and cheaply available in bulk.
  • It should possess high tensile stress and elasticity.
  • Its thermal coefficient of expansion should be nearly equal to that of concrete to minimize thermal stress.
  • It should be free from loose mill scales, loose rust, and a coat of paint, which reduces the bond.
  • It should be capable of forming a perfect bond or grip with concrete so that stresses are transferred from one material to the other.
  • It should have a long and durable life so that it can render service for a longer time.

Note:

Steel is used as an ideal reinforcing material because it has high tensile strength and elasticity. Also used as a deformed bar and twisted bar.

Deformed bar:

  • This type of bar has some- type of projections that act as keys for concrete and check the flipping of bars.
  • The deformations are spaced along the bar at equal distances and thus the bar develops a greater bond by mechanical resistance to sliding.

Twisted bars:

  • Bond may also be improved by using twisted bars which are cold worked.
  • Cold twisted bars in­crease the yield stress by about 50% and thus save the reinforcing material by 33%.
  • The increase in stresses is due to the path of twist. The most suitable pitch is 9 cm. to 12 cm.
  • If the pitch exceeds 12 cm, the stress reduces.
  • In twisted bars, hooks are generally not provided and thus saving in steel and labor.
  • On account of increased bond strength, the struc­tures do not experience cracks. This is why twisted reinforce­ment is very useful for water retaining structures.
UPSSSC JE Civil Mock Test - 8 - Question 12
Which among the following statement is not satisfying the specification of a second-class building?
Detailed Solution for UPSSSC JE Civil Mock Test - 8 - Question 12

Specification of the second-class building are as follows:

Foundation and Plinth:- Foundation and plinth shall be of first-class brickwork lime mortar over lime concrete.

Dam Proof Course:- D.P.C. shall be 2 cm thick cement concrete of 1 : 2, mixed with one kg of impermo per bag of cement or other standard waterproofing materials.

Superstructure:- It shall be of 2nd class brickwork in lime mortar. lintels over doors and windows shall be of R.B.

Finishing:- Inside and outside shall be of 12 mm cement mortar plastered 1 : 6 ceiling shall be cement plastered 1 : 3. Inside shall be whitewashed 3 coats; Outside shall be colored washed two coats over one coat of whitewash.
UPSSSC JE Civil Mock Test - 8 - Question 13
In a braking test, a vehicle travelling at a speed of 40 km/h was stopped by applying brakes fully; the skid marks were 6.3 m in length. The average skid resistance of the pavement surface is (take g = 10 ms-2);
Detailed Solution for UPSSSC JE Civil Mock Test - 8 - Question 13

Concepts:

The braking efficiency is given as:

Where,

V is speed of vehicle

f is average skid resistance

L is the length of skid mark

Calculation:

Given: L = 6.3m, g = 10 m/s2; V = 40 Km/h or 11.11 m/s

It is given that vehicles stops by applying brakes fully è η = 100 % or 1.

Now using above relation,

f = 0.98

UPSSSC JE Civil Mock Test - 8 - Question 14

What is the internal pressure intensity p in excess of the outside pressure intensity for a jet of liquid of radius R and length l?

Detailed Solution for UPSSSC JE Civil Mock Test - 8 - Question 14
  • Pressure intensity inside a liquid jet. Consider a jet of liquid of radius r, length l and having internal pressure intensity p in excess of the outside pressure intensity.
  • If the jet is cut into two halves then the forces acting on one half will be those due to pressure intensity p on the projected area (2rl) and the tensile due to surface tension σ acting along the two sides (2l).
  • These two forces will be equal and opposite for equilibrium and hence we have

p(2rl) = σ(2l)
or p = σ/r

UPSSSC JE Civil Mock Test - 8 - Question 15

The greatest unit stress a material can withstand without failure/rupture is called ______ stress.

Detailed Solution for UPSSSC JE Civil Mock Test - 8 - Question 15

As per the stress-strain curve,

The occurrence of the following points are given below:

  • Proportional limit: It is the highest stress at which stress and strain are directly proportional so that the stress-strain graph is a straight line and follows the Hooke's law.
  • Elastic limit: It is the greatest stress that can be applied to it without causing plastic (permanent) deformation. When a material is stressed to a point below its elastic limit, it will return to its original length once the stress is removed.
  • Yield point: It is the stress at which the material will retain a 0.2% permanent elongation after the stress or force is removed.
  • Ultimate strength: It is the maximum amount of stress the material can withstand. Due to strain hardening material can withstand additional stress beyond the elastic limit. At this point continued static stress will lead to further deformation and fracture.
  • Point of rupture/fracture: It is the point at which a material will fail catastrophically through fracturing.
UPSSSC JE Civil Mock Test - 8 - Question 16
For low alkali cements, the alkali content is usually restricted to X% by weight, where X is
Detailed Solution for UPSSSC JE Civil Mock Test - 8 - Question 16

Concept:

Low-alkali cement is portland cement with a total content of alkalies not above 0.6 percent. These are used in concrete made with certain types of aggregates that contain a form of silica that reacts with alkalies to cause an expansion that can disrupt concrete.( Refer IS 456:2000 Clause 8.2.5.4 Pg no 21)

Advantages of Low alkali cement:

  • Low Alkali cement is required for most construction sites, where siliceous aggregates create the potential for alkali-aggregate reactions. Low Alkali cement helps mitigate the potential for these deleterious reactions which may occur in concrete especially exposed to continuous moisture.
  • Low alkali cement is used by the oil well industry when applications require quick hydrating products
  • They are used in pre-tensioning and post-tensioning and cold weather concreting
UPSSSC JE Civil Mock Test - 8 - Question 17

What will be the hexadecimal equivalent of decimal number 54977

Detailed Solution for UPSSSC JE Civil Mock Test - 8 - Question 17

The correct answer is D6C1ExplanationConversion of decimal to hexadecimal involves dividing the decimal number by 16 and taking the remainder. This process is repeated until the quotient is 0. The resultant hexadecimal number is the concatenation of the remainders, starting with the remainder from the last division.
Let's see how to convert 54977 into hexadecimal:

  • Step 1: 54977 / 16 = 3436 remainder 1, which is '1' in hexadecimal.
  • Step 2: 3436 / 16 = 214 remainder 12, which 'C' in hexadecimal (since 10 - 15 in decimal corresponds to A - F in hexadecimal).
  • Step 3: 214 / 16 = 13 remainder 6, which is '6' in hexadecimal.
  • Step 4: 13 / 16 = 0 remainder 13, which is 'D' in hexadecimal.

Reading the remainders from bottom to top gives us the hexadecimal representation: D6C1.

Hence, Decimal 54977 = Hexadecimal D6C1.

UPSSSC JE Civil Mock Test - 8 - Question 18
The cell reference C$4 is an example of
Detailed Solution for UPSSSC JE Civil Mock Test - 8 - Question 18

The correct answer is Mixed reference to cell.

Explanation

  • In cell referencing within spreadsheet programs like Microsoft Excel, C$4 represents a mixed reference to a cell. Here's why:
    • C: This refers to the column label, indicating column C, which is relative.
    • $4: The dollar sign ($) before the row number (4) makes the row reference absolute.
    • This means that when the formula containing this cell reference is copied to another location in the spreadsheet, the column may change but the row number 4 will remain unchanged.

Other Related Points

  • Absolute reference to cell: A fully absolute reference (e.g., $C$4) keeps both the column and row numbers constant, regardless of where the formula is copied.
  • Relative reference to cell: A relative reference (e.g., C4) changes based on the position of the cell containing the formula. For example, if the formula with C4 is copied one cell down, the reference would change to C5 (relative to its new position).
  • Simple reference to cell: There's no specific term as "simple reference" in cell referencing. It’s generally understood as a relative reference (e.g., C4).
UPSSSC JE Civil Mock Test - 8 - Question 19
What is the maximum zoom percentage in MS Excel?
Detailed Solution for UPSSSC JE Civil Mock Test - 8 - Question 19

The correct answer is B. 400

In MS Excel, users can adjust the zoom level of their worksheets. The default zoom is set at 100%, but it can be increased up to a maximum of 400%. This allows for a better view of the worksheet details, while the minimum zoom level is 10%. It's important to note that changing the zoom does not impact the font size within the cells or the printed output; it solely affects the on-screen display.

Details on Other Options:

  • A: This option is incorrect because the maximum zoom level is 400%, not 500%.
  • C: This option is incorrect as it underestimates the maximum zoom capability of Excel, which is 400%.
  • D: This option is also incorrect since the maximum zoom level is 400%, not 300%.

Conclusion:

Option: B, as the most accurate and relevant option, stands out for its representation of the maximum zoom level in MS Excel, clearly differentiating it from the other options. Thus, 400 is the correct choice.

UPSSSC JE Civil Mock Test - 8 - Question 20
Page fault occurs when:
Detailed Solution for UPSSSC JE Civil Mock Test - 8 - Question 20

The correct answer is the page is not in main memory.

Explanation

  • A page fault occurs when a program tries to access a block of memory (a page) that is not currently stored in the computer's main memory (RAM).
  • When this happens, the operating system must retrieve the page from a secondary storage device, such as a hard drive, which can cause a delay in program execution.
  • This is a normal part of memory management in systems that use virtual memory, and it allows the system to use more memory than is physically available by swapping pages in and out of the main memory.
UPSSSC JE Civil Mock Test - 8 - Question 21
Which unit has the following examples: 1001, 1010, and 0010?
Detailed Solution for UPSSSC JE Civil Mock Test - 8 - Question 21

The correct answer is Nibble.

In digital systems, information is stored and processed using binary digits, or bits. A bit can have a value of either 0 or 1. When multiple bits are grouped together, they form larger units of information.

Explanation of the examples given: 1001, 1010, and 0010.

Each digit in these examples represents a bit. Starting from the leftmost digit:

1001:

  • The first digit is 1, representing a bit with a value of 1.
  • The second digit is 0, representing a bit with a value of 0.
  • The third digit is 0, representing a bit with a value of 0.
  • The fourth digit is 1, representing a bit with a value of 1.
  • Therefore, the sequence "1001" consists of four bits: 1, 0, 0, and 1.

1010:

  • The first digit is 1, representing a bit with a value of 1.
  • The second digit is 0, representing a bit with a value of 0.
  • The third digit is 1, representing a bit with a value of 1.
  • The fourth digit is 0, representing a bit with a value of 0.
  • Thus, the sequence "1010" also consists of four bits: 1, 0, 1, and 0.

0010:

  • The first digit is 0, representing a bit with a value of 0.
  • The second digit is 0, representing a bit with a value of 0.
  • The third digit is 1, representing a bit with a value of 1.
  • The fourth digit is 0, representing a bit with a value of 0.
  • The sequence "0010" consists of four bits: 0, 0, 1, and 0.

Now, when we consider the grouping of these bits, we can see that each example consists of four bits. This grouping of four bits is known as a nibble.

Therefore, the unit that these examples represent is 1) Nibble. Each example is a nibble, which is a grouping of four bits.

Explanation

  • A bit is the smallest unit of storage.
  • A bit stores just a 0 or 1.
  • Computers are designed to store data and execute instructions in bit multiples called bytes.
  • One nibble is equal to 4 bits.

Other Related Points

  • One byte is equal to 8 bits.
  • One kilobit is equal to 1000 bits.
  • One kilobyte is equal to 8000 bits.
  • One kibibit is equal to 1024 bits.
  • One kibibyte is equal to 8192 bits.
  • One Megabit is equal to 1000000 bits.
  • One Megabyte is equal to 8000000 bits.
UPSSSC JE Civil Mock Test - 8 - Question 22
“All India Kisan Sabha” was founded in which city of Uttar Pradesh?
Detailed Solution for UPSSSC JE Civil Mock Test - 8 - Question 22

The correct answer is Lucknow.

The All India Kisan Sabha was established by Sahajanand Saraswati during the Lucknow session of the Indian National Congress (INC) in 1936. N.G. Ranga served as its general secretary. The Sabha later issued a manifesto advocating for the abolition of zamindari and occupancy rights, highlighting its role in the agrarian movement in India.

Details on Other Options:

  • A: This option is incorrect because the All India Kisan Sabha was not founded in Prayagraj; it originated in Lucknow, which is significant for its historical context in the Indian independence movement.
  • C: This option is incorrect as Meerut was not the founding city; while it has its own historical importance, the Kisan Sabha was specifically established in Lucknow.
  • D: This option is incorrect since Kanpur was not the location of the formation of the All India Kisan Sabha, which occurred in Lucknow, making it the correct answer.

Conclusion:

The Lucknow, as the most accurate and relevant option, is distinguished by its historical significance as the site of the Kisan Sabha's founding, clearly setting it apart from the other options. Thus, Lucknow is the correct choice.

UPSSSC JE Civil Mock Test - 8 - Question 23
Which of the following ruler led to the foundation of Sharqi dynasty in 1394?
Detailed Solution for UPSSSC JE Civil Mock Test - 8 - Question 23
The correct answer is Malik Sarwar. Explanation
  • The Sharqi Dynasty was founded by a slave of Indian origin (Malik Sarwar).
  • In 1389, Malik Sarwar received the title of Khwajah-i-Jahan and Malik-Us-Sharqi.
  • In 1394, he was appointed as the governor of Jaunpur and received his title of Malik-us-Sharq from Sultan Nasiruddin Mahmud Shah Tughluq.
Important Points
  • Sultan Sikandar Lodi finally put an end to the Sharqi dynasty after he conquered it in 1479.
  • A unique style of art and architecture developed in Jaunpur (Uttar Pradesh).
  • Hussain Shah was the last ruler of the Sharqi dynasty.
  • Jaunpur Sultanate was established in the year 1394 and continued till 1479.

Other Related Points
  • Jaunpur was ruled by the Sharqi dynasty.
  • Jaunpur was known as a major centre of art, education, and business.
  • Jaunpur was also known as Siraj-e-Hind.
UPSSSC JE Civil Mock Test - 8 - Question 24
Which of the following rivers constructs ravines in Uttar Pradesh?
Detailed Solution for UPSSSC JE Civil Mock Test - 8 - Question 24

The correct answer is B. Yamuna

The Yamuna River is known for forming ravines in Uttar Pradesh. Ravines are characterized as systems of gullies that run parallel and drain into larger rivers or their tributaries. In Uttar Pradesh, these ravines are predominantly associated with the Yamuna and its tributaries, including the Chambal.

Details on Other Options:

  • A: The Ganga River, while significant, does not primarily create ravines in Uttar Pradesh. It originates from the Himalayas and flows into the Bay of Bengal, but the ravine systems are not associated with it.
  • C: The Gomti River also does not form ravines. It originates from Fulhar Jheel in Uttar Pradesh and flows through various districts before joining the Ganga, but it is not known for ravine formation.
  • D: The Hindon River, a tributary of the Yamuna, does not construct ravines either. It flows through several districts in Uttar Pradesh but is less associated with ravine systems compared to the Yamuna.

Conclusion:

Option: B, as the most accurate and relevant option, stands out for its association with ravine formation in Uttar Pradesh, clearly differentiating it from the other options. Thus, Yamuna is the correct choice.

UPSSSC JE Civil Mock Test - 8 - Question 25
Which of the following cities lies on the bank of the river Gomti?
Detailed Solution for UPSSSC JE Civil Mock Test - 8 - Question 25

The correct answer is D. Lucknow

Lucknow, the capital city of Uttar Pradesh, is situated along the banks of the Gomti River. This river not only serves as a vital source of drinking water for Lucknow but also flows through several other towns, including Lakhimpur Kheri, Sultanpur, and Jaunpur. The Gomti River, which originates at Gomat Taal (formerly known as Fulhaar jheel) near Madho Tanda in Pilibhit, Uttar Pradesh, is a left tributary of the Ganga and is recognized as one of India's significant rivers. It traverses an incised valley and passes through various districts such as Sitapur, Lucknow, Barabanki, Sultanpur, and Jaunpur before merging with the Ganga after a journey of approximately 950 km.

Details on Other Options:

  • A: Kanpur is incorrect because it is located on the right bank of the Ganga River, not the Gomti.
  • B: Bhopal is not situated on any riverbank; it is known as the City of Lakes, surrounded by Upper and Lower lakes.
  • C: Aligarh is also incorrect as it lies at the southern edge of the Ganges-Yamuna Doab and is not located by the Gomti River.

Conclusion:

Option: D, as the most accurate and relevant choice, is distinguished by its geographical location along the Gomti River, setting it apart from the other options. Thus, Lucknow is the correct answer.

UPSSSC JE Civil Mock Test - 8 - Question 26
Where is the High Court of Uttar Pradesh located?
Detailed Solution for UPSSSC JE Civil Mock Test - 8 - Question 26
The High Court of Uttar Pradesh is located at Allahabad, but a bench is located at Lucknow.
UPSSSC JE Civil Mock Test - 8 - Question 27
Which type of range calibration flight was conducted by Noida International Airport in April 2024?
Detailed Solution for UPSSSC JE Civil Mock Test - 8 - Question 27

The correct answer is B. Doppler Very High-Frequency Omni Range (DVOR) calibration

Noida International Airport performed its first flight test for calibration, specifically focusing on the Doppler Very High-Frequency Omni Range (DVOR). This flight was essential for evaluating the airport's navigation systems, ensuring they meet operational standards. Additionally, the airport has established partnerships, including a concession agreement with Bird Group for ground handling and a memorandum of understanding with IndiGo Airlines to serve as its first carrier. The airport, expected to commence operations by December 2024, aims to accommodate between 9.4 to 11.7 million passengers in the 2025-26 period, as projected by CAPA India.

Details on Other Options:

  • A: This option is incorrect because radar range calibration involves the use of radar systems for navigation, which was not the focus of the flight conducted at Noida International Airport.
  • C: This option is incorrect as satellite range calibration pertains to satellite-based navigation systems, which were not the primary systems assessed during this flight.
  • D: This option is incorrect since Instrument Landing System (ILS) calibration is specific to landing systems, whereas the flight specifically targeted the DVOR calibration.

Conclusion:

Option: B, as the most accurate and relevant option, stands out for its specific reference to the DVOR calibration, clearly differentiating it from the other options. Thus, Doppler Very High-Frequency Omni Range (DVOR) calibration is the correct choice.

UPSSSC JE Civil Mock Test - 8 - Question 28
Where is Synopsys' Chip Design Centre located?
Detailed Solution for UPSSSC JE Civil Mock Test - 8 - Question 28

The correct answer is D. Noida

Synopsys' Chip Design Centre is located in Noida, where it is set to be inaugurated by Union Minister Rajeev Chandrasekhar at DLF Tech Park. This centre is significant as it is Synopsys' second-largest design facility in India, reflecting the company's commitment to enhancing its presence in the semiconductor sector.

Details on Other Options:

  • A: This option is incorrect because there is no Synopsys Chip Design Centre located in Hyderabad, which does not host this facility.
  • B: Bengaluru is not the correct answer as the Chip Design Centre is specifically situated in Noida, not in Bengaluru.
  • C: Pune is also incorrect since Synopsys has established its Chip Design Centre in Noida, making Pune an inaccurate option.

Conclusion:

Option: D, as the most accurate and relevant option, stands out for its representation of Synopsys' strategic location in Noida, clearly differentiating it from the other options. Thus, Noida is the correct choice.

UPSSSC JE Civil Mock Test - 8 - Question 29
How much money did Uttar Pradesh receive as an extra payment for tax devolution from the Union finance ministry?
Detailed Solution for UPSSSC JE Civil Mock Test - 8 - Question 29

The Correct Answer is ​Rs 25,495 crore.

In News

  • Uttar Pradesh received the largest portion of Rs 25,495 crore, which was the highest amount in the country, as an extra payment for tax devolution from the Union finance ministry under the new government.

Explanation

  • According to the finance ministry, the funds will allow room for the states to expedite development projects.
  • This amount has come as an additional installment of devolution of taxes to states besides the devolution amount for the month of June 2024.
  • Uttar Pradesh topped the list with maximum allocation, followed by Bihar (Rs 14,056.12 crore), Madhya Pradesh (Rs 10,970.44 crore), and West Bengal (Rs 10,513.46 crore) in tax devolution.
  • Tax devolution refers to the distribution of tax revenues between the central government and the state governments.
  • It is a constitutional mechanism established to allocate the proceeds of certain taxes among the Union and the states in a fair and equitable manner.
  • Article 280(3)(a) of the Constitution of India mandates that the Finance Commission (FC) has the responsibility to make recommendations regarding the division of the net proceeds of taxes between the Union and the states.
UPSSSC JE Civil Mock Test - 8 - Question 30
What is the name of the initiative unveiled by Sonia Agarwal Bajaj?
Detailed Solution for UPSSSC JE Civil Mock Test - 8 - Question 30

The correct answer is B. Little Future Founders

Sonia Agarwal Bajaj has introduced the Little Future Founders, which is India's pioneering program focused on financial literacy and entrepreneurship for children aged 7 to 12. This initiative aims to make financial education accessible and to nurture an entrepreneurial mindset among young learners.

Details on Other Options:

  • A: This option is incorrect as the Young Innovators Program does not specifically target financial literacy or entrepreneurship for children.
  • C: This option is not suitable since Future Entrepreneurs does not represent a specific initiative launched by Sonia Agarwal Bajaj.
  • D: This option is incorrect because Young Financial Leaders is not the name of the initiative unveiled by her.

Conclusion:

Option: B, stands out as the most relevant choice due to its unique focus on financial education for children, clearly distinguishing it from the other options. Thus, Little Future Founders is the correct choice.

View more questions
10 tests
Information about UPSSSC JE Civil Mock Test - 8 Page
In this test you can find the Exam questions for UPSSSC JE Civil Mock Test - 8 solved & explained in the simplest way possible. Besides giving Questions and answers for UPSSSC JE Civil Mock Test - 8, EduRev gives you an ample number of Online tests for practice
Download as PDF