You can boost your Civil Engineering (CE) 2026 exam preparation with this UPSSSC JE Civil Mock Test - 9 (available with detailed solutions).. This mock test has been designed with the analysis of important topics, recent trends of the exam, and previous year questions of the last 3-years. All the questions have been designed to mirror the official pattern of Civil Engineering (CE) 2026 exam, helping you build speed, accuracy as per the actual exam.
Mock Test Highlights:
Sign up on EduRev for free and get access to these mock tests, get your All India Rank, and identify your weak areas to improve your marks & rank in the actual exam.
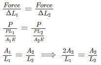
If two cap screws of the same material have an equivalent stiffness of threaded portion and first cap screw-threaded portion has a cross-sectional area twice of second cap screw-threaded portion. Then find the relationship between their threaded portion lengths (where k = stiffness, A = cross the sectional area, E = young's modulus, L = length, axial load = P. All for threaded portion of cap screw):
Detailed Solution: Question 1
Consider the following statements associated with local shear failure of soils:
1. Failure is sudden with well-defined ultimate load.
2. This failure occurs in highly compressible soils.
3. Failure is preceded by large settlement.
Which of these statements are correct ?
Detailed Solution: Question 2
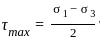
The major and minor principal stresses at a point are 3MPa and -3MPa respectively. The maximum shear stress at the point is
Detailed Solution: Question 3
A ground water basin consists of 1 km2 area of plains. The maximum groundwater fluctuation has been observed to be 1.0 m. What is the available ground water storage if the specific yield of the basin is 10%?
Detailed Solution: Question 4
Which of the following conditions is NOT correct when the plane table can be oriented by compass?
Detailed Solution: Question 5
Detailed Solution: Question 6
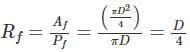
Consider the below statements with reference to plate load test
a. The test results reflect only the character of the soil located within a depth less than twice the width of bearing plate.
b. Test gives the ultimate settlement also.
Detailed Solution: Question 7
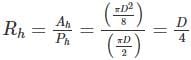
A welded steel plate girder consisting of two flange plates of 350 mm × 16 mm and a web plate of 1000 mm × 6 mm, requires
Detailed Solution: Question 8
The design strength of a tension member is governed by:
1. Rupture at a critical section
2. Yielding of gross area
3. Block shear of end region
Detailed Solution: Question 9
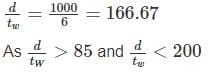
A collapsible soil sub-grade sample was tested using standard California bearing ratio apparatus; and the observation are given below -

Taking the standard assumptions regarding the load penetration curve, CBR value of the sample will be taken as -
Detailed Solution: Question 10
Which one of the following is the CORRECT sequence for a train in order to pass over the turnout from the facing direction?
Detailed Solution: Question 11
In a soil specimen, 70% of particles are passing through 4.75 mm IS sieve and 40% of particles are passing through 75μ IS sieve. Its uniformity coefficient is 8 and coefficient of curvature is 2. As per IS classification, this soil is classified as:
Detailed Solution: Question 12
The limit of crushing value of aggregate as specified (in percentage) by IS:383-1970 for aggregate used for runways and such other wearing surface is
Detailed Solution: Question 13
The slope of a 1.0 m diameter concrete sewer laid at a slope of 1 in 1000, develops a velocity of 1 m/s when flowing full. When it is flowing half-full, the velocity of flow through the sewer will be:
Detailed Solution: Question 14
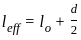
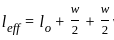
The main reinforcement rods of the beam bend from the ends from L/4 to L/5 at 45°. If 'd' is the distance of the centers between those rods, then the extra length for both those bends is taken from
Detailed Solution: Question 15
The 'Sag' in the dissolved oxygen curve results because:
Detailed Solution: Question 16
Detailed Solution: Question 17
Identify the method of road construction which has the following properties:
i. Has large number of transverse joints
ii. During rains, the water gets collected between the finished bays
iii. Needs complete diversion of traffic
Detailed Solution: Question 18
Detailed Solution: Question 19
What is the term used in railway engineering for the layout of two crossovers that are superimposed enabling movements from either direction?
Detailed Solution: Question 20
What is the lift of soil material for the canal shown in the figure?

Detailed Solution: Question 21
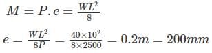
A simply supported concrete beam pre-stressed with a force of 2500 kN is designed by load balancing concept for an effective span of 10 m and to carry a total load of 40 kN/m, the central dip of the cable profile should be
Detailed Solution: Question 22
The type of the camber which is best suited for the cement concrete pavement is
Detailed Solution: Question 23
Detailed Solution: Question 24
The largest Sugar mill of Asia is located at which of the following places in Uttar Pradesh?
Detailed Solution: Question 25
Detailed Solution: Question 26
Detailed Solution: Question 27
Detailed Solution: Question 28
Detailed Solution: Question 29
Detailed Solution: Question 30