You can boost your MPTET 2026 exam preparation with this MPTET Varg 1 Mathematics Mock Test - 1 (available with detailed solutions).. This mock test has been designed with the analysis of important topics, recent trends of the exam, and previous year questions of the last 3-years. All the questions have been designed to mirror the official pattern of MPTET 2026 exam, helping you build speed, accuracy as per the actual exam.
Mock Test Highlights:
Sign up on EduRev for free and get access to these mock tests, get your All India Rank, and identify your weak areas to improve your marks & rank in the actual exam.
वाक्य के रेखांकित शब्द का विलोम शब्द क्या होगा?
कर्मचारी अधिकारी के सम्मुख खड़ा था।
Detailed Solution: Question 1
Learning and knowledge are the greatest assets of a man. इस वाक्य का हिंदी रूपांतरण है?
Detailed Solution: Question 2
निम्नलिखित में से सही विलोम शब्द-युग्म कौन सा है?
Detailed Solution: Question 3
Civil Disobedience movement took place in the year
Detailed Solution: Question 4
Detailed Solution: Question 5
Detailed Solution: Question 6
PQRS is a trapezium in which PQ || RS. M and N are the midpoints of PS and QR respectively. If RS = 6 cm and MN = 9 cm, then PQ =
Detailed Solution: Question 7
Detailed Solution: Question 8
Greatest integer Function [x] has which kind of discontinuity it has ?
Detailed Solution: Question 9

The mode for the above grouped frequency distribution is
Detailed Solution: Question 10
Detailed Solution: Question 11
If |x| ≤ 1, then 2 tan−1x + sin−1
is equal to
Detailed Solution: Question 12
Detailed Solution: Question 13
Detailed Solution: Question 14
The solution of the partial differential equation
is when 
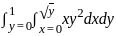
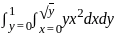
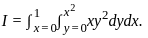
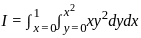
Detailed Solution: Question 15
Detailed Solution: Question 16
Detailed Solution: Question 17
Detailed Solution: Question 18
Detailed Solution: Question 19
Find the standard deviation of 8, 12, 13, 15, 22.
Detailed Solution: Question 20
Find the value of 2cosec238°cot252° - sin238° - sin252° - cot252°.
Detailed Solution: Question 21
Detailed Solution: Question 22
Detailed Solution: Question 23
Detailed Solution: Question 24
and
are two vectors. The angle between them is:Detailed Solution: Question 25
Detailed Solution: Question 26
The value of a for which the system of equations a3x + (a + 1)3y + (a + 2)3z = 0, ax + (a + 1)y + (a + 2)z = 0, x + y + z = 0, has a nonzero solution is
Detailed Solution: Question 27
Detailed Solution: Question 28
Detailed Solution: Question 29
Detailed Solution: Question 30